Oxygen Sensing of Pt/PEO-TiO2 in Humid Atmospheres at Moderate Temperatures
Abstract
1. Introduction
2. Materials and Methods
3. Results and Discussion
3.1. Water Adsorption on PEO-TiO
3.2. Characteristics at Different Levels of Humidity
3.2.1. Interaction of Adsorbed Oxygen and Water
3.3. Current Transients at Different Levels of Humidity
3.3.1. Response to Oxygen Exposure
3.3.2. Oxygen-Induced Changes in Kinetics
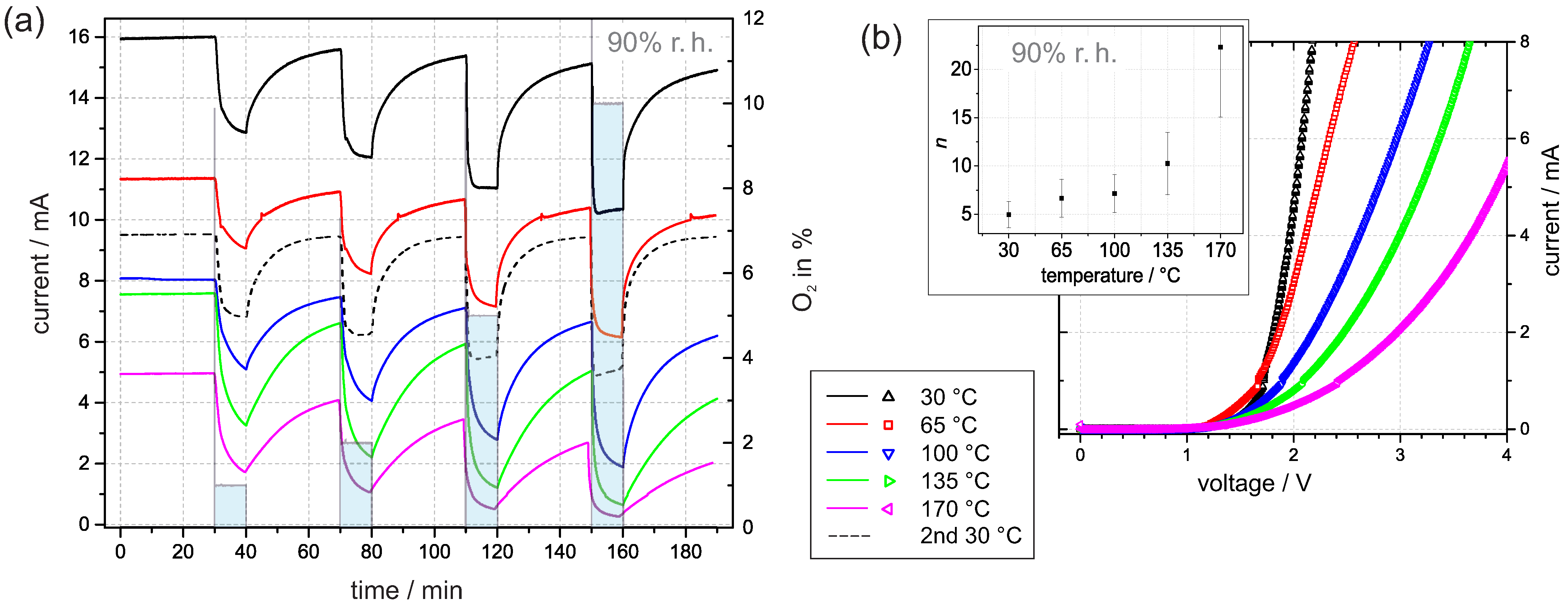
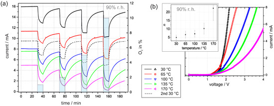
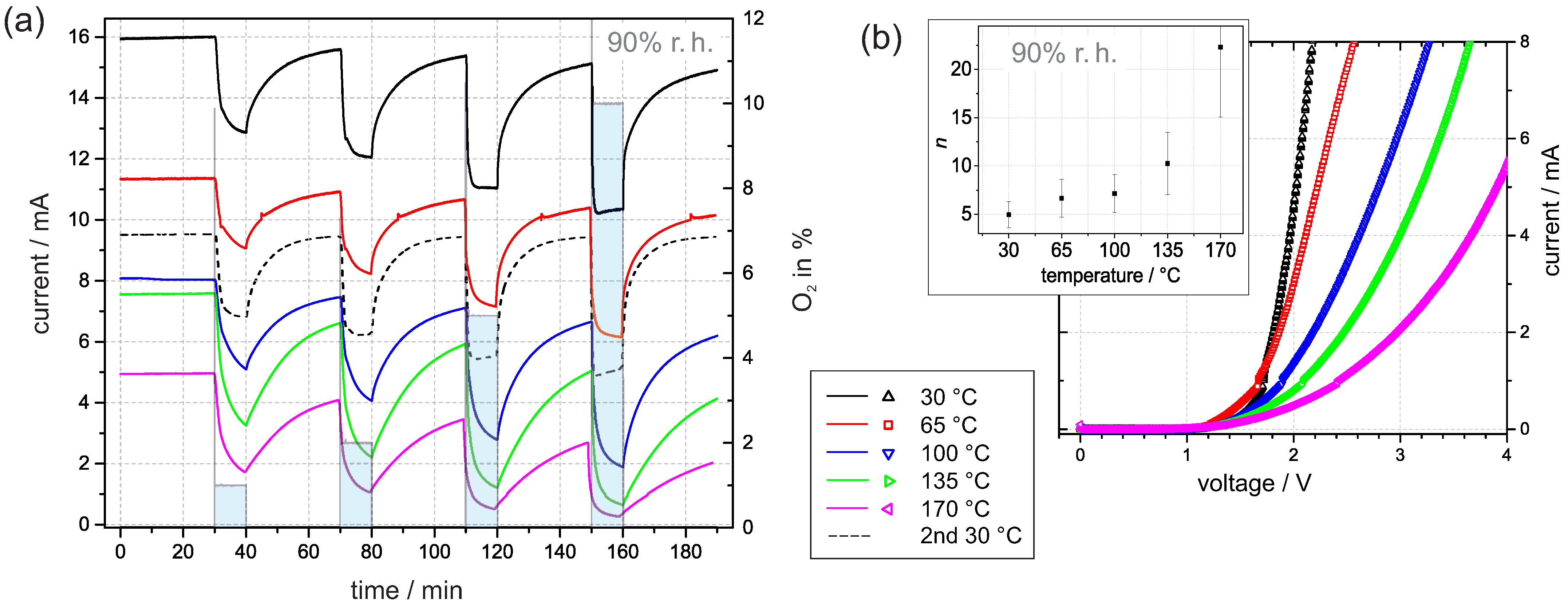
3.4. Current Transients at Elevated Temperature
3.5. Donor Effect of Adsorbed Water
3.6. Ionic Transport along the Surface
4. Conclusions
Author Contributions
Funding
Institutional Review Board Statement
Informed Consent Statement
Data Availability Statement
Acknowledgments
Conflicts of Interest
References
- Bai, J.; Zhou, B. Titanium Dioxide Nanomaterials for Sensor Applications. Chem. Rev. 2014, 114, 10131–10176. [Google Scholar] [CrossRef]
- Neri, G. First Fifty Years of Chemoresistive Gas Sensors. Chemosensors 2015, 3, 1–20. [Google Scholar] [CrossRef]
- Elser, M.J.; Diwald, O. Facilitated Lattice Oxygen Depletion in Consolidated TiO2 Nanocrystal Ensembles: A Quantitative Spectroscopic O2 Adsorption Study. J. Phys. Chem. C 2012, 116, 2896–2903. [Google Scholar] [CrossRef]
- Cerchez, M.; Langer, H.; Achhab, M.E.; Heinzel, T.; Ostermann, D.; Lüder, H.; Degenhardt, J. Dynamics of hydrogen sensing with Pt/TiO2 Schottky diodes. Appl. Phys. Lett. 2013, 103, 033522. [Google Scholar] [CrossRef]
- El Achhab, M.; Schierbaum, K. Gas sensors based on plasma-electrochemically oxidized titanium foils. J. Sens. Sens. Syst. 2016, 5, 273–281. [Google Scholar] [CrossRef]
- Schierbaum, K.D.; Kirner, U.K.; Geiger, J.F.; Göpel, W. Schottky-barrier and conductivity gas sensors based upon Pd/SnO2 and Pt/TiO2. Sens. Actuators B Chem. 1991, 4, 87–94. [Google Scholar] [CrossRef]
- Gurlo, A. Insights into the Mechanism of Gas Sensor Operation. In Metal Oxide Nanomaterials for Chemical Sensors; Carpenter, M.A., Mathur, S., Kolmakov, A., Eds.; Springer: New York, NY, USA, 2013; pp. 3–34. ISBN 978-1-4614-5394-9. [Google Scholar]
- Rothschild, A.; Edelman, F.; Komem, Y.; Cosandey, F. Sensing behavior of TiO2 thin films exposed to air at low temperatures. Sens. Actuators B Chem. 2000, 67, 282–289. [Google Scholar] [CrossRef]
- Kirner, U.; Schierbaum, K.D.; Göpel, W.; Leibold, B.; Nicoloso, N.; Weppner, W.; Fischer, D.; Chu, W.F. Low and high temperature TiO2 oxygen sensors. Sens. Actuators B Chem. 1990, 1, 103–107. [Google Scholar] [CrossRef]
- Morrison, S.R. Semiconductor gas sensors. Sens. Actuators 1981, 2, 329–341. [Google Scholar] [CrossRef]
- Wang, Z.; Shi, L.; Wu, F.; Yuan, S.; Zhao, Y.; Zhang, M. The sol-gel template synthesis of porous TiO2 for a high performance humidity sensor. Nanotechnology 2011, 22, 275502. [Google Scholar] [CrossRef] [PubMed]
- Gong, M.; Li, Y.; Guo, Y.; Lv, X.; Dou, X. 2D TiO2 nanosheets for ultrasensitive humidity sensing application benefited by abundant surface oxygen vacancy defects. Sens. Actuators B Chem. 2018, 262, 350–358. [Google Scholar] [CrossRef]
- Zhang, Z.; Du, Y.; Petrik, N.G.; Kimmel, G.A.; Lyubinetsky, I.; Dohnálek, Z. Water as a Catalyst: Imaging Reactions of O2 with Partially and Fully Hydroxylated TiO2(110) Surfaces. J. Phys. Chem. C 2009, 113, 1908–1916. [Google Scholar] [CrossRef]
- Engelkamp, B.; El Achhab, M.; Fischer, B.; Kökçam-Demir, l.; Schierbaum, K. Combined Galvanostatic and Potentiostatic Plasma Electrolytic Oxidation of Titanium in Different Concentrations of H2SO4. Metals 2018, 8, 386. [Google Scholar] [CrossRef]
- Engelkamp, B.; Fischer, B.; Schierbaum, K. Plasma Electrolytic Oxidation of Titanium in H2SO4-H3PO4 Mixtures. Coatings 2020, 10, 116. [Google Scholar] [CrossRef]
- Ramamoorthy, M.; Vanderbilt, D.; King-Smith, R.D. First-principles calculations of the energetics of stoichiometric TiO2 surfaces. Phys. Rev. B 1994, 49, 16721–16727. [Google Scholar] [CrossRef]
- Futera, Z.; English, N.J. Electric-Field Effects on Adsorbed-Water Structural and Dynamical Properties at Rutile- and Anatase-TiO2 Surfaces. J. Phys. Chem. C 2016, 120, 19603–19612. [Google Scholar] [CrossRef]
- Traversa, E. Ceramic sensors for humidity detection: The state-of-the-art and future developments. Sens. Actuators B Chem. 1995, 23, 135–156. [Google Scholar] [CrossRef]
- Nosaka, A.Y.; Fujiwara, T.; Yagi, H.; Akutsu, H.; Nosaka, Y. Characteristics of Water Adsorbed on TiO2 Photocatalytic Systems with Increasing Temperature as Studied by Solid-State 1H NMR Spectroscopy. J. Phys. Chem. B 2004, 108, 9121–9125. [Google Scholar] [CrossRef]
- Wang, R.; Hashimoto, K.; Fujishima, A.; Chikuni, M.; Kojima, E.; Kitamura, A.; Shimohigoshi, M.; Watanabe, T. Photogeneration of Highly Amphiphilic TiO2 Surfaces. Adv. Mater. 1998, 10, 135–138. [Google Scholar] [CrossRef]
- Diebold, U. Perspective: A controversial benchmark system for water-oxide interfaces: H2O/TiO2(110). J. Chem. Phys. 2017, 147, 040901. [Google Scholar] [CrossRef]
- Wang, L.; Yu, H.; Wang, K.; Xu, H.; Wang, S.; Sun, D. Local Fine Structural Insight into Mechanism of Electrochemical Passivation of Titanium. ACS Appl. Mater. Interfaces 2016, 8, 18608–18619. [Google Scholar] [CrossRef] [PubMed]
- Takahashi, K.; Yui, H. Analysis of Surface OH Groups on TiO2 Single Crystal with Polarization Modulation Infrared External Reflection Spectroscopy. J. Phys. Chem. C 2009, 113, 20322–20327. [Google Scholar] [CrossRef]
- Nahar, R.K.; Khanna, V.K.; Khokle, W.S. On the origin of the humidity-sensitive electrical properties of porous aluminium oxide (sensor application). J. Phys. D Appl. Phys. 1984, 17, 2087–2095. [Google Scholar] [CrossRef]
- Reschetilowski, W. Einführung in Die Heterogene Katalyse; Springer Spektrum: Berlin/Heidelberg, Germany, 2015; ISBN 978-3-662-46983-5. [Google Scholar]
- Schierbaum, K.; El Achhab, M. Generation of an electromotive force by hydrogen-to-water oxidation with Pt-coated oxidized titanium foils. Phys. Status Solidi A 2011, 208, 2796–2802. [Google Scholar] [CrossRef]
- Yin, W.J.; Wen, B.; Zhou, C.; Selloni, A.; Liu, L.M. Excess electrons in reduced rutile and anatase TiO2. Surf. Sci. Rep. 2018, 73, 58–82. [Google Scholar] [CrossRef]
- Zhao, J.; Li, B.; Onda, K.; Feng, M.; Petek, H. Solvated Electrons on Metal Oxide Surfaces. Chem. Rev. 2006, 106, 4402–4427. [Google Scholar] [CrossRef]
- Schierbaum, K.D.; Weimar, U.; Göpel, W.; Kowalkowski, R. Conductance, work function and catalytic activity of SnO2-based gas sensors. Sens. Actuators B Chem. 1991, 3, 205–214. [Google Scholar] [CrossRef]
- Koziej, D.; Bârsan, N.; Weimar, U.; Szuber, J.; Shimanoe, K.; Yamazoe, N. Water-oxygen interplay on tin dioxide surface: Implication on gas sensing. Chem. Phys. Lett. 2005, 410, 321–323. [Google Scholar] [CrossRef]
- Großmann, K.; Wicker, S.; Weimar, U.; Barsan, N. Impact of Pt additives on the surface reactions between SnO2, water vapour, CO and H2; an operando investigation. Phys. Chem. Chem. Phys. 2013, 15, 19151–19158. [Google Scholar] [CrossRef]
- Mokrushin, A.S.; Simonenko, E.P.; Simonenko, N.P.; Akkuleva, K.T.; Antipov, V.V.; Zaharova, N.V.; Malygin, A.A.; Bukunov, K.A.; Sevastyanov, V.G.; Kuznetsov, N.T. Oxygen detection using nanostructured TiO2 thin films obtained by the molecular layering method. Appl. Surf. Sci. 2019, 463, 197–202. [Google Scholar] [CrossRef]
- Egashira, M.; Kawasumi, S.; Kagawa, S.; Seiyama, T. Temperature Programmed Desorption Study of Water Adsorbed on Metal Oxides. I. Anatase and Rutile. Bull. Chem. Soc. Jpn. 1978, 51, 3144–3149. [Google Scholar] [CrossRef]
- Barsan, N.; Weimar, U. Understanding the fundamental principles of metal oxide based gas sensors; the example of CO sensing with SnO2 sensors in the presence of humidity. J. Phys. Condens. Matter 2003, 15, R813–R839. [Google Scholar] [CrossRef]
- Heiland, G.; Kohl, D. Physical and Chemical Aspects of Oxidic Semiconductor Gas Sensors. In Chemical Sensor Technology; Seiyama, T., Ed.; Elsevier Science Pub. Co.: New York, NY, USA, 1988; Volume 1, pp. 15–38. ISBN 0-444-98901-3. [Google Scholar]
- Mao, X.; Lang, X.; Wang, Z.; Hao, Q.; Wen, B.; Ren, Z.; Dai, D.; Zhou, C.; Liu, L.M.; Yang, X. Band-Gap States of TiO2(110): Major Contribution from Surface Defects. J. Phys. Chem. Lett. 2013, 4, 3839–3844. [Google Scholar] [CrossRef]






Publisher’s Note: MDPI stays neutral with regard to jurisdictional claims in published maps and institutional affiliations. |
© 2021 by the authors. Licensee MDPI, Basel, Switzerland. This article is an open access article distributed under the terms and conditions of the Creative Commons Attribution (CC BY) license (https://creativecommons.org/licenses/by/4.0/).
Share and Cite
Engelkamp, B.; Schierbaum, K. Oxygen Sensing of Pt/PEO-TiO2 in Humid Atmospheres at Moderate Temperatures. Sensors 2021, 21, 2558. https://doi.org/10.3390/s21072558
Engelkamp B, Schierbaum K. Oxygen Sensing of Pt/PEO-TiO2 in Humid Atmospheres at Moderate Temperatures. Sensors. 2021; 21(7):2558. https://doi.org/10.3390/s21072558
Chicago/Turabian StyleEngelkamp, Bernd, and Klaus Schierbaum. 2021. "Oxygen Sensing of Pt/PEO-TiO2 in Humid Atmospheres at Moderate Temperatures" Sensors 21, no. 7: 2558. https://doi.org/10.3390/s21072558
APA StyleEngelkamp, B., & Schierbaum, K. (2021). Oxygen Sensing of Pt/PEO-TiO2 in Humid Atmospheres at Moderate Temperatures. Sensors, 21(7), 2558. https://doi.org/10.3390/s21072558

