A Highly Birefringent Photonic Crystal Fiber for Terahertz Spectroscopic Chemical Sensing
Abstract
1. Introduction
2. PCF Configuration
3. PCF Characteristics
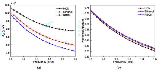
4. Numerical Simulations and Analysis
5. Discussion of Fabrication and Robustness
6. Conclusions
Author Contributions
Funding
Institutional Review Board Statement
Informed Consent Statement
Data Availability Statement
Conflicts of Interest
References
- Russell, P.S.J. Photonic-crystal fibers. J. Light. Technol. 2006, 24, 4729–4749. [Google Scholar] [CrossRef]
- Yang, T.; Wang, E.; Jiang, H.; Hu, Z.; Xie, K. High birefringence photonic crystal fiber with high nonlinearity and low confinement loss. Opt. Express 2015, 23, 8329–8337. [Google Scholar] [CrossRef] [PubMed]
- Yang, T.; Ding, C.; Ziolkowski, R.W.; Guo, Y.J. A scalable THz photonic crystal fiber with partially-slotted core that exhibits improved birefringence and reduced loss. J. Light. Technol. 2018, 36, 3408–3417. [Google Scholar] [CrossRef]
- Knight, J.; Birks, T.; Russell, P.S.J.; Atkin, D. All-silica single-mode optical fiber with photonic crystal cladding. Opt. Lett. 1996, 21, 1547–1549. [Google Scholar] [CrossRef] [PubMed]
- Islam, M.S.; Cordeiro, C.M.D.B.; Franco, M.A.R.; Sultana, J.; Abbott, D. Terahertz Optical Fibers. Opt. Express 2020, 28, 16089–16117. [Google Scholar] [CrossRef] [PubMed]
- Xin, H.; Liang, M. 3-D-printed microwave and THz devices using polymer jetting techniques. Proc. IEEE 2017, 105, 737–755. [Google Scholar] [CrossRef]
- Yang, T.; Ding, C.; Ziolkowski, R.W.; Guo, Y.J. Circular hole ENZ photonic crystal fibers exhibit high birefringence. Opt. Express 2018, 26, 17264–17278. [Google Scholar] [CrossRef] [PubMed]
- Yu, R.; Chen, Y.; Shui, L.; Xiao, L. Hollow-Core Photonic Crystal Fiber Gas Sensing. Sensors 2020, 20, 2996. [Google Scholar] [CrossRef] [PubMed]
- Ayyanar, N.; Vigneswaran, D.; Sharma, M.; Sumathi, M.; Rajan, M.M.; Konar, S. Hydrostatic pressure sensor using high birefringence photonic crystal fibers. IEEE Sens. J. 2016, 17, 650–656. [Google Scholar] [CrossRef]
- Rifat, A.; Mahdiraji, G.A.; Sua, Y.; Shee, Y.; Ahmed, R.; Chow, D.M.; Adikan, F.M. Surface plasmon resonance photonic crystal fiber biosensor: A practical sensing approach. IEEE Photonics Technol. Lett. 2015, 27, 1628–1631. [Google Scholar] [CrossRef]
- Ayyanar, N.; Raja, R.V.J.; Vigneswaran, D.; Lakshmi, B.; Sumathi, M.; Porsezian, K. Highly efficient compact temperature sensor using liquid infiltrated asymmetric dual elliptical core photonic crystal fiber. Opt. Mater. 2017, 64, 574–582. [Google Scholar] [CrossRef]
- Vigneswaran, D.; Ayyanar, N.; Sharma, M.; Sumathi, M.; Rajan, M.; Porsezian, K. Salinity sensor using photonic crystal fiber. Sens. Actuators A Phys. 2018, 269, 22–28. [Google Scholar] [CrossRef]
- Arif, M.F.H.; Asaduzzaman, S.; Biddut, M.J.H.; Ahmed, K. Design and optimization of highly sensitive photonic crystal fiber with low confinement loss for ethanol detection. Int. J. Technol. 2016, 6, 1068–1076. [Google Scholar] [CrossRef][Green Version]
- Islam, M.S.; Sultana, J.; Ahmed, K.; Islam, M.R.; Dinovitser, A.; Ng, B.W.H.; Abbott, D. A novel approach for spectroscopic chemical identification using photonic crystal fiber in the terahertz regime. IEEE Sens. J. 2017, 18, 575–582. [Google Scholar] [CrossRef]
- Sultana, J.; Islam, M.S.; Ahmed, K.; Dinovitser, A.; Ng, B.W.H.; Abbott, D. Terahertz detection of alcohol using a photonic crystal fiber sensor. Appl. Opt. 2018, 57, 2426–2433. [Google Scholar] [CrossRef] [PubMed]
- Hao, R.; Li, Z.; Sun, G.; Niu, L.; Sun, Y. Analysis on photonic crystal fibers with circular air holes in elliptical configuration. Opt. Fiber Technol. 2013, 19, 363–368. [Google Scholar] [CrossRef]
- Wu, J.; Li, S.; Wang, X.; Shi, M.; Feng, X.; Liu, Y. Ultrahigh sensitivity refractive index sensor of a D-shaped PCF based on surface plasmon resonance. Appl. Opt. 2018, 57, 4002–4007. [Google Scholar] [CrossRef]
- Ahmed, K.; Morshed, M.; Asaduzzaman, S.; Arif, M.F.H. Optimization and enhancement of liquid analyte sensing performance based on square-cored octagonal photonic crystal fiber. Optik 2017, 131, 687–696. [Google Scholar] [CrossRef]
- Kiwa, T.; Kondo, J.; Oka, S.; Kawayama, I.; Tsukada, K. Chemical sensing plate with a laser-terahertz monitoring system. Appl. Opt. 2008, 47, 3324–3327. [Google Scholar] [CrossRef] [PubMed]
- El Sachat, A.; Meristoudi, A.; Markos, C.; Sakellariou, A.; Papadopoulos, A.; Katsikas, S.; Riziotis, C. Characterization of Industrial Coolant Fluids and Continuous Ageing Monitoring by Wireless Node—Enabled Fiber Optic Sensors. Sensors 2017, 17, 568. [Google Scholar] [CrossRef]
- Islam, M.S.; Sultana, J.; Dinovitser, A.; Ahmed, K.; Ng, B.W.H.; Abbott, D. Sensing of toxic chemicals using polarized photonic crystal fiber in the terahertz regime. Opt. Commun. 2018, 426, 341–347. [Google Scholar] [CrossRef]
- Paul, B.K.; Ahmed, K.; Vigneswaran, D.; Ahmed, F.; Roy, S.; Abbott, D. Quasi-photonic crystal fiber-based spectroscopic chemical sensor in the terahertz spectrum: Design and analysis. IEEE Sens. J. 2018, 18, 9948–9954. [Google Scholar] [CrossRef]
- Podder, E.; Hossain, M.B.; Jibon, R.H.; Bulbul, A.M.; Mondal, H.S. Chemical sensing through photonic crystal fiber: Sulfuric acid detection. Front. Optoelectron. 2019, 12, 372–381. [Google Scholar] [CrossRef]
- Ahmed, K.; Ahmed, F.; Roy, S.; Paul, B.K.; Aktar, M.N.; Vigneswaran, D.; Islam, M.S. Refractive index-based blood components sensing in terahertz spectrum. IEEE Sens. J. 2019, 19, 3368–3375. [Google Scholar] [CrossRef]
- Kaijage, S.F.; Ouyang, Z.; Jin, X. Porous-core photonic crystal fiber for low loss terahertz wave guiding. IEEE Photonics Technol. Lett. 2013, 25, 1454–1457. [Google Scholar] [CrossRef]
- Hasan, M.I.; Razzak, S.A.; Hasanuzzaman, G.; Habib, M.S. Ultra-low material loss and dispersion flattened fiber for THz transmission. IEEE Photonics Technol. Lett. 2014, 26, 2372–2375. [Google Scholar] [CrossRef]
- Hasanuzzaman, G.; Habib, M.S.; Razzak, S.A.; Hossain, M.A.; Namihira, Y. Low loss single-mode porous-core kagome photonic crystal fiber for THz wave guidance. J. Light. Technol. 2015, 33, 4027–4031. [Google Scholar] [CrossRef]
- Cunningham, P.D.; Valdes, N.N.; Vallejo, F.A.; Hayden, L.M.; Polishak, B.; Zhou, X.H.; Luo, J.; Jen, A.K.Y.; Williams, J.C.; Twieg, R.J. Broadband terahertz characterization of the refractive index and absorption of some important polymeric and organic electro-optic materials. J. Appl. Phys. 2011, 109, 043505. [Google Scholar] [CrossRef]
- Islam, R.; Selim Habib, M.; Hasanuzzaman, G.K.M.; Rana, S.; Anwar Sadath, M. Novel porous fiber based on dual-asymmetry for low-loss polarization maintaining THz wave guidance. Opt. Lett. 2016, 41, 440–443. [Google Scholar] [CrossRef]
- COMSOL-Multiphysics. COMSOL, Stockholm, Sweden. Available online: http://cn.comsol.com/rf-module (accessed on 5 March 2021).
- Cordeiro, C.M.; Franco, M.A.; Chesini, G.; Barretto, E.C.; Lwin, R.; Cruz, C.B.; Large, M.C. Microstructured-core optical fibre for evanescent sensing applications. Opt. Express 2006, 14, 13056–13066. [Google Scholar] [CrossRef] [PubMed]
- Abdelaziz, I.; Ademgil, H.; AbdelMalek, F.; Haxha, S.; Gorman, T.; Bouchriha, H. Design of a large effective mode area photonic crystal fiber with modified rings. Opt. Commun. 2010, 283, 5218–5223. [Google Scholar] [CrossRef]
- Tahhan, S.R.; Aljobouri, H.K. Sensing of Illegal Drugs by Using Photonic Crystal Fiber in Terahertz Regime. J. Opt. Commun. 2020, 1. [Google Scholar] [CrossRef]
- Nielsen, K.; Rasmussen, H.K.; Adam, A.J.; Planken, P.C.; Bang, O.; Jepsen, P.U. Bendable, low-loss Topas fibers for the terahertz frequency range. Opt. Express 2009, 17, 8592–8601. [Google Scholar] [CrossRef] [PubMed]
- Atakaramians, S.; Afshar, S.; Ebendorff-Heidepriem, H.; Nagel, M.; Fischer, B.M.; Abbott, D.; Monro, T.M. THz porous fibers: Design, fabrication and experimental characterization. Opt. Express 2009, 17, 14053–14062. [Google Scholar] [CrossRef] [PubMed]
- Cook, K.; Canning, J.; Leon-Saval, S.; Reid, Z.; Hossain, M.A.; Comatti, J.E.; Luo, Y.; Peng, G.D. Air-structured optical fiber drawn from a 3D-printed preform. Opt. Lett. 2015, 40, 3966–3969. [Google Scholar] [CrossRef] [PubMed]
- Alexander Schmidt, M.; Argyros, A.; Sorin, F. Hybrid Optical Fibers—An Innovative Platform for In-Fiber Photonic Devices. Adv. Opt. Mater. 2016, 4, 13–36. [Google Scholar] [CrossRef]
- Cerqueira, S.A.; Luan, F.; Cordeiro, C.; George, A.; Knight, J. Hybrid photonic crystal fiber. Opt. Express 2006, 14, 926–931. [Google Scholar] [CrossRef] [PubMed]
- Pacheco-Peña, V.; Engheta, N.; Kuznetsov, S.; Gentselev, A.; Beruete, M. Experimental realization of an epsilon-near-zero graded-index metalens at terahertz frequencies. Phys. Rev. Appl. 2017, 8, 034036. [Google Scholar] [CrossRef]











| Ref. | Operate Region | Relative Sensitivity (%) | B | EML (cm) | (cm) | (ps/THz/cm) | (m) | NA |
|---|---|---|---|---|---|---|---|---|
| [11] | 1.6 THz | 85.7 | 0.005 | - | 1.7 | 0.47 ± 0.265 | 7 | 0.37 |
| [15] | 1.0 THz | 68.9 | 0.016 | 0.055 | 6.2 | 1.07 ± 0.37 | - | 0.35 |
| [21] | 2.0 THz | 85.8 | 0.009 | 0.023 | 1.6 | - | - | - |
| [22] | 1.3 THz | 78.8 | - | - | 2.2 | - | 8 | 0.39 |
| [23] | 1.5 m | 63.4 | 0.00075 | - | 3.3 × | - | - | - |
| [24] | 1.5 THz | 80.9 | - | - | 1.1 | 3.32 ± 1.82 | 17 | - |
| [33] | 1.0 THz | 79.8 | - | 0.098 | 3.1 | - | - | - |
| This work | 1.0 THz | 95.1 | 0.009 | 0.012 | 1.0 | −0.15 ± 0.15 | 9 | 0.50 |
Publisher’s Note: MDPI stays neutral with regard to jurisdictional claims in published maps and institutional affiliations. |
© 2021 by the authors. Licensee MDPI, Basel, Switzerland. This article is an open access article distributed under the terms and conditions of the Creative Commons Attribution (CC BY) license (http://creativecommons.org/licenses/by/4.0/).
Share and Cite
Yang, T.; Zhang, L.; Shi, Y.; Liu, S.; Dong, Y. A Highly Birefringent Photonic Crystal Fiber for Terahertz Spectroscopic Chemical Sensing. Sensors 2021, 21, 1799. https://doi.org/10.3390/s21051799
Yang T, Zhang L, Shi Y, Liu S, Dong Y. A Highly Birefringent Photonic Crystal Fiber for Terahertz Spectroscopic Chemical Sensing. Sensors. 2021; 21(5):1799. https://doi.org/10.3390/s21051799
Chicago/Turabian StyleYang, Tianyu, Liang Zhang, Yunjie Shi, Shidi Liu, and Yuming Dong. 2021. "A Highly Birefringent Photonic Crystal Fiber for Terahertz Spectroscopic Chemical Sensing" Sensors 21, no. 5: 1799. https://doi.org/10.3390/s21051799
APA StyleYang, T., Zhang, L., Shi, Y., Liu, S., & Dong, Y. (2021). A Highly Birefringent Photonic Crystal Fiber for Terahertz Spectroscopic Chemical Sensing. Sensors, 21(5), 1799. https://doi.org/10.3390/s21051799

