Methodology for the Implementation of Internal Standard to Laser-Induced Breakdown Spectroscopy Analysis of Soft Tissues
Abstract
1. Introduction
2. Materials and Methods
2.1. Sample Preparation
2.1.1. Tissue Processing
2.1.2. Internal Standard
2.2. Methodological Approach
2.3. Experimental Set-Up
2.4. LIBS Mapping
2.5. Spectra Assessment and Filtering
3. Results and Discussion
3.1. The Typical LIBS Spectrum of a Mouse Kidney
3.2. Stability of Measurement
3.3. Optimization of Experimental Settings
3.3.1. Dependence on Ablation Lens Focus
3.3.2. Dependence on Gate Delay
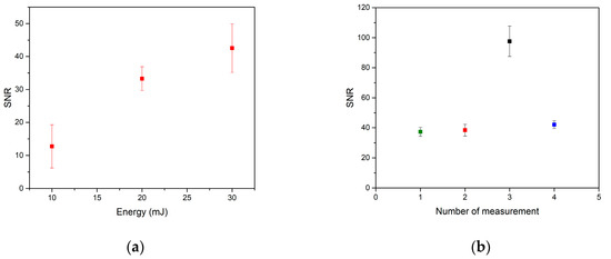
3.3.3. Dependence on Laser Pulse Energy
3.3.4. Dependence on Atmosphere
3.4. Substrate Effect
4. Conclusions
Author Contributions
Funding
Institutional Review Board Statement
Informed Consent Statement
Data Availability Statement
Acknowledgments
Conflicts of Interest
References
- Fraga, C.G. Relevance, essentiality and toxicity of trace elements in human health. Mol. Asp. Med. 2005, 26, 235–244. [Google Scholar] [CrossRef] [PubMed]
- Rattanachaiwong, S.; Singer, P. Diets and Diet. Therapy: Trace Elements; Elsevier: Amsterdam, The Netherlands, 2019. [Google Scholar]
- Gomez, N.N.; Biaggio, V.S.; Ciminari, M.E.; Chaca, M.V.P.; Álvarez, S.M. Zinc: What Is Its Role in Lung Cancer? In Nutritional Deficiency; InTech: London, UK, 2016; pp. 789–800. ISBN 9780124095489. [Google Scholar]
- Mertz, W. The essential trace elements. Science 1981, 213, 1332–1338. [Google Scholar] [CrossRef]
- Plum, L.M.; Rink, L.; Haase, H. The Essential Toxin: Impact of Zinc on Human Health. Int. J. Environ. Res. Public Health 2010, 7, 1342–1365. [Google Scholar] [CrossRef] [PubMed]
- Shilstein, S.S.; Cortesi, M.; Breskin, A.; Chechik, R.; Vartsky, D.; Raviv, G.; Kleinman, N.; Ramon, J.; Kogan, G.; Gladysh, V. Prostatic Zn determination for prostate cancer diagnosis☆. Talanta 2006, 70, 914–921. [Google Scholar] [CrossRef] [PubMed]
- Margalioth, E.J.; Schenker, J.G.; Chevion, M. Copper and Zinc levels in normal and malignant tissues. Cancer 1983, 52, 868–872. [Google Scholar] [CrossRef]
- Silva, M.P.; Soave, D.F.; Ribeiro-Silva, A.; Poletti, M.E. Trace elements as tumor biomarkers and prognostic factors in breast cancer: A study through energy dispersive x-ray fluorescence. BMC Res. Notes 2012, 5, 1–11. [Google Scholar] [CrossRef]
- Lo, S.-T.; Martins, A.F.; Jordan, V.C.; Sherry, A.D. Zinc as an Imaging Biomarker of Prostate Cancer. Isr. J. Chem. 2017, 57, 854–861. [Google Scholar] [CrossRef]
- Zoriy, M.V.; Dehnhardt, M.; Matusch, A.; Becker, J.S. Comparative imaging of P, S, Fe, Cu, Zn and C in thin sections of rat brain tumor as well as control tissues by laser ablation inductively coupled plasma mass spectrometry. Spectrochim. Acta Part B At. Spectrosc. 2008, 63, 375–382. [Google Scholar] [CrossRef]
- Sugawara, N. Influence of cadmium on zinc distribution in the mouse liver and kidney: Role of metallothionein. Toxicol. Appl. Pharmacol. 1977, 42, 377–386. [Google Scholar] [CrossRef]
- Sabine Becker, J. Imaging of metals in biological tissue by laser ablation inductively coupled plasma mass spectrometry (LA-ICP-MS): State of the art and future developments. J. Mass Spectrom. 2013, 48, 255–268. [Google Scholar] [CrossRef]
- Wu, B.; Becker, J.S. Imaging techniques for elements and element species in plant science. Metallomics 2012, 4, 403. [Google Scholar] [CrossRef] [PubMed]
- Becker, J.S.; Zoriy, M.; Wu, B.; Matusch, A.; Becker, J.S. Imaging of essential and toxic elements in biological tissues by LA-ICP-MS. J. Anal. At. Spectrom. 2008, 23, 1275. [Google Scholar] [CrossRef]
- Becker, J.S.; Matusch, A.; Wu, B. Bioimaging mass spectrometry of trace elements—Recent advance and applications of LA-ICP-MS: A review. Anal. Chim. Acta 2014, 835, 1–18. [Google Scholar] [CrossRef] [PubMed]
- Konz, I.; Fernández, B.; Fernández, M.L.; Pereiro, R.; Sanz-Medel, A. Laser ablation ICP-MS for quantitative biomedical applications. Anal. Bioanal. Chem. 2012, 403, 2113–2125. [Google Scholar] [CrossRef]
- González de Vega, R.; Fernández-Sánchez, M.L.; Pisonero, J.; Eiró, N.; Vizoso, F.J.; Sanz-Medel, A. Quantitative bioimaging of Ca, Fe, Cu and Zn in breast cancer tissues by LA-ICP-MS. J. Anal. At. Spectrom. 2017, 32, 671–677. [Google Scholar] [CrossRef]
- Niedzwiecki, M.M.; Austin, C.; Remark, R.; Merad, M.; Gnjatic, S.; Estrada-Gutierrez, G.; Espejel-Nuñez, A.; Borboa-Olivares, H.; Guzman-Huerta, M.; Wright, R.J.; et al. A multimodal imaging workflow to visualize metal mixtures in the human placenta and explore colocalization with biological response markers. Metallomics 2016, 8, 444–452. [Google Scholar] [CrossRef]
- Neumann, B.; Hösl, S.; Schwab, K.; Theuring, F.; Jakubowski, N. Multiplex LA-ICP-MS bio-imaging of brain tissue of a parkinsonian mouse model stained with metal-coded affinity-tagged antibodies and coated with indium-spiked commercial inks as internal standards. J. Neurosci. Methods 2020, 334, 108591. [Google Scholar] [CrossRef]
- Collingwood, J.F.; Adams, F. Chemical imaging analysis of the brain with X-ray methods. Spectrochim. Acta Part B At. Spectrosc. 2017, 130, 101–118. [Google Scholar] [CrossRef]
- Uo, M.; Wada, T.; Sugiyama, T. Applications of X-ray fluorescence analysis (XRF) to dental and medical specimens. Jpn. Dent. Sci. Rev. 2015, 51, 2–9. [Google Scholar] [CrossRef]
- Radziemski, L.; Cremers, D. A brief history of laser-induced breakdown spectroscopy: From the concept of atoms to LIBS 2012. Spectrochim. Acta Part B At. Spectrosc. 2013, 87, 3–10. [Google Scholar] [CrossRef]
- Cremers, D.A.; Knight, A.K. Laser-Induced Breakdown Spectroscopy. In Encyclopedia of Analytical Chemistry; John Wiley & Sons, Ltd.: Chichester, UK, 2000; ISBN 9780444517340. [Google Scholar]
- Cremers, D.A.; Chinni, R.C. Laser-Induced Breakdown Spectroscopy—Capabilities and Limitations. Appl. Spectrosc. Rev. 2009, 44, 457–506. [Google Scholar] [CrossRef]
- Hahn, D.W.; Omenetto, N. Laser-induced breakdown spectroscopy (LIBS), part II: Review of instrumental and methodological approaches to material analysis and applications to different fields. Appl. Spectrosc. 2012, 66, 347–419. [Google Scholar] [CrossRef] [PubMed]
- Moon, Y.; Han, J.H.; Choi, J.; Shin, S.; Kim, Y.-C.; Jeong, S. Mapping of cutaneous melanoma by femtosecond laser-induced breakdown spectroscopy. J. Biomed. Opt. 2018, 24, 1. [Google Scholar] [CrossRef] [PubMed]
- Moncayo, S.; Duponchel, L.; Mousavipak, N.; Panczer, G.; Trichard, F.; Bousquet, B.; Pelascini, F.; Motto-Ros, V. Exploration of megapixel hyperspectral LIBS images using principal component analysis. J. Anal. At. Spectrom. 2018, 33, 210–220. [Google Scholar] [CrossRef]
- Han, J.H.; Moon, Y.; Lee, J.J.; Choi, S.; Kim, Y.-C.; Jeong, S. Differentiation of cutaneous melanoma from surrounding skin using laser-induced breakdown spectroscopy. Biomed. Opt. Express 2016, 7, 57. [Google Scholar] [CrossRef]
- Kumar, A.; Yueh, F.-Y.; Singh, J.P.; Burgess, S. Characterization of malignant tissue cells by laser-induced breakdown spectroscopy. Appl. Opt. 2004, 43, 5399. [Google Scholar] [CrossRef] [PubMed]
- Peng, J.; Song, K.; Zhu, H.; Kong, W.; Liu, F.; Shen, T.; He, Y. Fast detection of tobacco mosaic virus infected tobacco using laser-induced breakdown spectroscopy. Sci. Rep. 2017, 7, 44551. [Google Scholar] [CrossRef]
- Mehari, F.; Rohde, M.; Knipfer, C.; Kanawade, R.; Klämpfl, F.; Adler, W.; Stelzle, F.; Schmidt, M. Laser induced breakdown spectroscopy for bone and cartilage differentiation—Ex vivo study as a prospect for a laser surgery feedback mechanism. Biomed. Opt. Express 2014, 5, 4013. [Google Scholar] [CrossRef]
- Kanawade, R.; Mahari, F.; Klämpfl, F.; Rohde, M.; Knipfer, C.; Tangermann-Gerk, K.; Adler, W.; Schmidt, M.; Stelzle, F. Qualitative tissue differentiation by analysing the intensity ratios of atomic emission lines using laser induced breakdown spectroscopy (LIBS): Prospects for a feedback mechanism for surgical laser systems. J. Biophotonics 2015, 8, 153–161. [Google Scholar] [CrossRef]
- Samek, O.; Beddows, D.C.; Telle, H.; Kaiser, J.; Liška, M.; Cáceres, J.; Gonzáles Ureña, A. Quantitative laser-induced breakdown spectroscopy analysis of calcified tissue samples. Spectrochim. Acta Part B At. Spectrosc. 2001, 56, 865–875. [Google Scholar] [CrossRef]
- Limbeck, A.; Brunnbauer, L.; Lohninger, H.; Pořízka, P.; Modlitbová, P.; Kaiser, J.; Janovszky, P.; Kéri, A.; Galbács, G. Methodology and applications of elemental mapping by laser induced breakdown spectroscopy. Anal. Chim. Acta 2021, 1147, 72–98. [Google Scholar] [CrossRef]
- Motto-Ros, V.; Moncayo, S.; Fabre, C.; Busser, B. LIBS imaging applications. In Laser-Induced Breakdown Spectroscopy; Elsevier: Amsterdam, The Netherlands, 2020; pp. 329–346. [Google Scholar]
- Sancey, L.; Kotb, S.; Truillet, C.; Appaix, F.; Marais, A.; Thomas, E.; Van Der Sanden, B.; Klein, J.P.; Laurent, B.; Cottier, M.; et al. Long-term in Vivo clearance of gadolinium-based AGuIX nanoparticles and their biocompatibility after systemic injection. ACS Nano 2015, 9, 2477–2488. [Google Scholar] [CrossRef]
- Le Guével, X.; Henry, M.; Motto-Ros, V.; Longo, E.; Montañez, M.I.; Pelascini, F.; de La Rochefoucauld, O.; Zeitoun, P.; Coll, J.-L.; Josserand, V.; et al. Elemental and optical imaging evaluation of zwitterionic gold nanoclusters in glioblastoma mouse models. Nanoscale 2018, 10, 18657–18664. [Google Scholar] [CrossRef]
- Kalot, G.; Godard, A.; Busser, B.; Pliquett, J.; Broekgaarden, M.; Motto-Ros, V.; Wegner, K.D.; Resch-Genger, U.; Köster, U.; Denat, F.; et al. Aza-BODIPY: A New Vector for Enhanced Theranostic Boron Neutron Capture Therapy Applications. Cells 2020, 9, 1953. [Google Scholar] [CrossRef]
- Kaiser, J.; Novotný, K.; Martin, M.Z.; Hrdlička, A.; Malina, R.; Hartl, M.; Adam, V.; Kizek, R. Trace elemental analysis by laser-induced breakdown spectroscopy—Biological applications. Surf. Sci. Rep. 2012, 67, 233–243. [Google Scholar] [CrossRef]
- Gimenez, Y.; Busser, B.; Trichard, F.; Kulesza, A.; Laurent, J.M.; Zaun, V.; Lux, F.; Benoit, J.M.; Panczer, G.; Dugourd, P.; et al. 3D Imaging of Nanoparticle Distribution in Biological Tissue by Laser-Induced Breakdown Spectroscopy. Sci. Rep. 2016, 6, 29936. [Google Scholar] [CrossRef]
- Motto-Ros, V.; Sancey, L.; Ma, Q.L.; Lux, F.; Bai, X.S.; Wang, X.C.; Yu, J.; Panczer, G.; Tillement, O. Mapping of native inorganic elements and injected nanoparticles in a biological organ with laser-induced plasma. Appl. Phys. Lett. 2012, 101, 223702. [Google Scholar] [CrossRef]
- Motto-Ros, V.; Sancey, L.; Wang, X.C.; Ma, Q.L.; Lux, F.; Bai, X.S.; Panczer, G.; Tillement, O.; Yu, J. Mapping nanoparticles injected into a biological tissue using laser-induced breakdown spectroscopy. Spectrochim. Acta Part B At. Spectrosc. 2013, 87, 168–174. [Google Scholar] [CrossRef]
- Sancey, L.; Motto-Ros, V.; Kotb, S.; Wang, X.; Lux, F.; Panczer, G.; Yu, J.; Tillement, O. Laser-induced Breakdown Spectroscopy: A New Approach for Nanoparticle’s Mapping and Quantification in Organ Tissue. J. Vis. Exp. 2014, 88, 1–8. [Google Scholar] [CrossRef]
- Sancey, L.; Motto-Ros, V.; Busser, B.; Kotb, S.; Benoit, J.M.; Piednoir, A.; Lux, F.; Tillement, O.; Panczer, G.; Yu, J. Laser spectrometry for multi-elemental imaging of biological tissues. Sci. Rep. 2015, 4, 6065. [Google Scholar] [CrossRef]
- Moncayo, S.; Trichard, F.; Busser, B.; Sabatier-Vincent, M.; Pelascini, F.; Pinel, N.; Templier, I.; Charles, J.; Sancey, L.; Motto-Ros, V. Multi-elemental imaging of paraffin-embedded human samples by laser-induced breakdown spectroscopy. Spectrochim. Acta Part B At. Spectrosc. 2017, 133, 40–44. [Google Scholar] [CrossRef]
- Markushin, Y.; Melikechi, N. Sensitive Detection of Epithelial Ovarian Cancer Biomarkers Using Tag-Laser Induced Breakdown Spectroscopy. In Ovarian Cancer—Basic Science Perspective; InTech: London, UK, 2012. [Google Scholar]
- Bonta, M.; Gonzalez, J.J.; Quarles, C.D.; Russo, R.E.; Hegedus, B.; Limbeck, A. Elemental mapping of biological samples by the combined use of LIBS and LA-ICP-MS. J. Anal. At. Spectrom. 2016, 31, 252–258. [Google Scholar] [CrossRef]
- Jolivet, L.; Leprince, M.; Moncayo, S.; Sorbier, L.; Lienemann, C.-P.; Motto-Ros, V. Review of the recent advances and applications of LIBS-based imaging. Spectrochim. Acta Part B At. Spectrosc. 2019, 151, 41–53. [Google Scholar] [CrossRef]
- Busser, B.; Moncayo, S.; Coll, J.-L.; Sancey, L.; Motto-Ros, V. Elemental imaging using laser-induced breakdown spectroscopy: A new and promising approach for biological and medical applications. Coord. Chem. Rev. 2018, 358, 70–79. [Google Scholar] [CrossRef]
- Modlitbová, P.; Pořízka, P.; Kaiser, J. Laser-induced breakdown spectroscopy as a promising tool in the elemental bioimaging of plant tissues. TrAC Trends Anal. Chem. 2020, 122, 115729. [Google Scholar] [CrossRef]
- Jantzi, S.C.; Motto-Ros, V.; Trichard, F.; Markushin, Y.; Melikechi, N.; De Giacomo, A. Sample treatment and preparation for laser-induced breakdown spectroscopy. Spectrochim. Acta Part B At. Spectrosc. 2016, 115, 52–63. [Google Scholar] [CrossRef]
- Multari, R.A.; Cremers, D.A.; Bostian, M.L. Use of laser-induced breakdown spectroscopy for the differentiation of pathogens and viruses on substrates. Appl. Opt. 2012, 51, B57. [Google Scholar] [CrossRef]
- Gottfried, J.L. Discrimination of biological and chemical threat simulants in residue mixtures on multiple substrates. Anal. Bioanal. Chem. 2011, 400, 3289–3301. [Google Scholar] [CrossRef]
- Gnanapragasam, V.J. Unlocking the molecular archive: The emerging use of formalin-fixed paraffin-embedded tissue for biomarker research in urological cancer. BJU Int. 2010, 105, 274–278. [Google Scholar] [CrossRef] [PubMed]
- Berg, D.; Malinowsky, K.; Reischauer, B.; Wolff, C.; Becker, K.-F. Use of Formalin-Fixed and Paraffin-Embedded Tissues for Diagnosis and Therapy in Routine Clinical Settings. In Imaging; Korf, U., Ed.; Methods in Molecular Biology; Humana Press: Totowa, NJ, USA, 2011; Volume 785, pp. 109–122. ISBN 978-1-61779-285-4. [Google Scholar]
- Kramida, A.; Ralchenko, Y.; Reader, J.; N.A.T. NIST Atomic Spectra Database; National Institute of Standards and Technology: Gaithersburg, MD, USA, 2018.
- Yaroshchyk, P.; Eberhardt, J.E. Automatic correction of continuum background in Laser-induced Breakdown Spectroscopy using a model-free algorithm. Spectrochim. Acta Part B At. Spectrosc. 2014, 99, 138–149. [Google Scholar] [CrossRef]
- Huang, L.; Yao, M.; Xu, Y.; Liu, M. Determination of Cr in water solution by laser-induced breakdown spectroscopy with different univariate calibration models. Appl. Phys. B Lasers Opt. 2013, 111, 45–51. [Google Scholar] [CrossRef]





| Element | Δc (mg/kg) | Standard Deviation | Relative Standard Deviation (RSD) |
|---|---|---|---|
| P | 3346 | 378 | 11% |
| K | 3013 | 213 | 7% |
| S | 2621 | 267 | 10% |
| Na | 1644 | 161 | 10% |
| Mg | 229 | 25 | 11% |
| Fe | 135 | 32 | 24% |
| Ca | 75 | 9 | 11% |
| Zn | 19 | 2 | 11% |
| Parameter | Range | Unit |
|---|---|---|
| defocus | −300 to 300 | µm |
| laser energy | 10 to 30 | mJ |
| gate delay | 0.25 to 3 | µs |
| Element | λ (nm) | Aki (s−1) | Ei (eV) | Ek (eV) |
|---|---|---|---|---|
| Ca II | 317.96 | 3.6·108 | 3.1510 | 7.0500 |
| Zn I | 328.23 | 9.0·107 | 4.0060 | 7.7820 |
| Zn I | 330.26 | 1.2·108 | 4.0300 | 7.7830 |
| Zn I | 334.50 | 1.5·108 | 4.0782 | 7.7839 |
| Ca I | 336.19 | 2.2·107 | 1.8989 | 5.5858 |
Publisher’s Note: MDPI stays neutral with regard to jurisdictional claims in published maps and institutional affiliations. |
© 2021 by the authors. Licensee MDPI, Basel, Switzerland. This article is an open access article distributed under the terms and conditions of the Creative Commons Attribution (CC BY) license (http://creativecommons.org/licenses/by/4.0/).
Share and Cite
Šindelářová, A.; Pořízka, P.; Modlitbová, P.; Vrlíková, L.; Kiss, K.; Kaška, M.; Prochazka, D.; Vrábel, J.; Buchtová, M.; Kaiser, J. Methodology for the Implementation of Internal Standard to Laser-Induced Breakdown Spectroscopy Analysis of Soft Tissues. Sensors 2021, 21, 900. https://doi.org/10.3390/s21030900
Šindelářová A, Pořízka P, Modlitbová P, Vrlíková L, Kiss K, Kaška M, Prochazka D, Vrábel J, Buchtová M, Kaiser J. Methodology for the Implementation of Internal Standard to Laser-Induced Breakdown Spectroscopy Analysis of Soft Tissues. Sensors. 2021; 21(3):900. https://doi.org/10.3390/s21030900
Chicago/Turabian StyleŠindelářová, Anna, Pavel Pořízka, Pavlína Modlitbová, Lucie Vrlíková, Kateřina Kiss, Milan Kaška, David Prochazka, Jakub Vrábel, Marcela Buchtová, and Jozef Kaiser. 2021. "Methodology for the Implementation of Internal Standard to Laser-Induced Breakdown Spectroscopy Analysis of Soft Tissues" Sensors 21, no. 3: 900. https://doi.org/10.3390/s21030900
APA StyleŠindelářová, A., Pořízka, P., Modlitbová, P., Vrlíková, L., Kiss, K., Kaška, M., Prochazka, D., Vrábel, J., Buchtová, M., & Kaiser, J. (2021). Methodology for the Implementation of Internal Standard to Laser-Induced Breakdown Spectroscopy Analysis of Soft Tissues. Sensors, 21(3), 900. https://doi.org/10.3390/s21030900

