Signal Enhancement of Pressure-Sensitive Film Based on Localized Surface Plasmon Resonance
Abstract
:1. Introduction
2. Materials and Methods
3. Results and Discussion
3.1. Microscopy of Pressure-Sensitive Film Samples
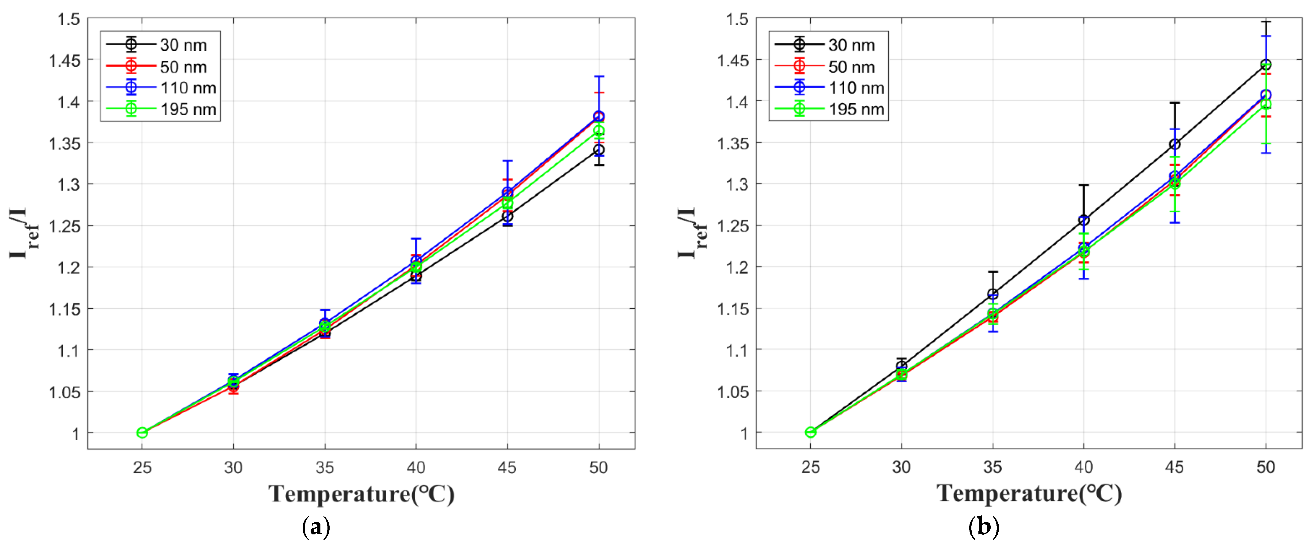
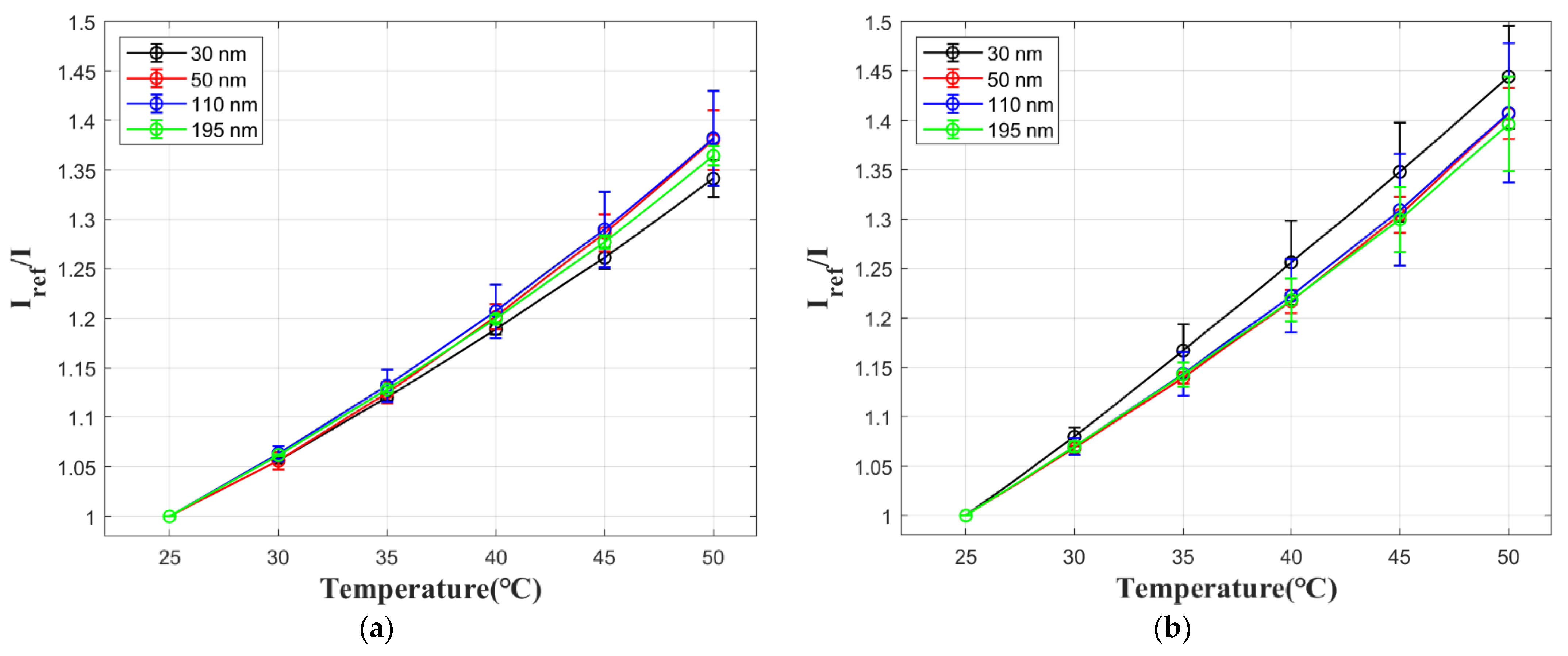
3.2. Lifetime and Intensity of Pressure-Sensitive Film Samples
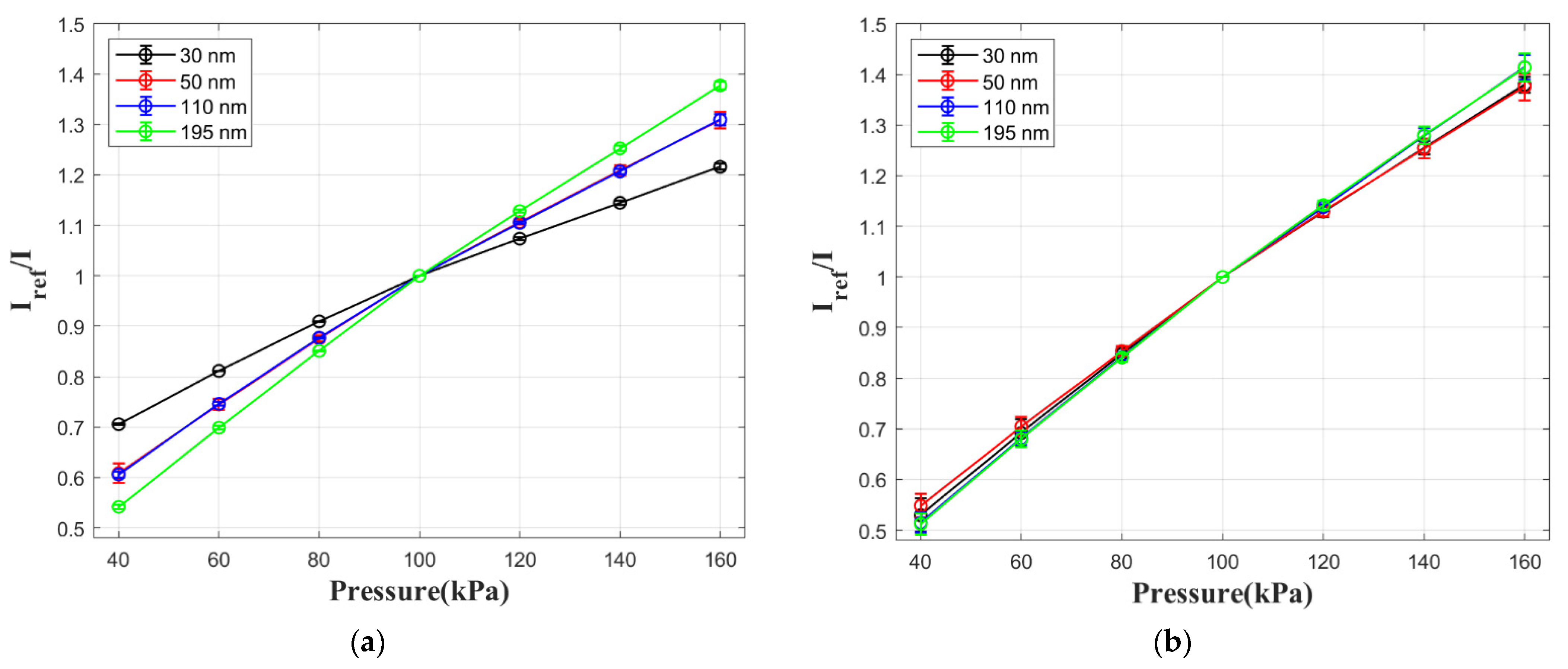
3.3. Static Calibration of Pressure-Sensitive Film Samples
4. Conclusions
Author Contributions
Funding
Institutional Review Board Statement
Informed Consent Statement
Data Availability Statement
Acknowledgments
Conflicts of Interest
References
- Bell, J.H.; Schairer, E.T.; Hand, L.A.; Mehta, R.D. Surface pressure measurements using luminescent coatings. Annu. Rev. Fluid Mech. 2001, 33, 155–206. [Google Scholar] [CrossRef]
- Gregory, J.W.; Asai, K.; Kameda, M.; Liu, T.; Sulliavan, J.P. A review of pressure-sensitive paint for high speed and unsteady aerodynamics. Proc. IMechE Part G J. Aerosp. Eng. 2008, 222, 249–290. [Google Scholar] [CrossRef]
- Gregory, J.W.; Sakaue, H.; Liu, T.; Sulliavan, J.P. Fast pressure-sensitive paint for flow and acoustic diagnostics. Annu. Rev. Fluid Mech. 2014, 46, 303–330. [Google Scholar] [CrossRef]
- Peng, D.; Liu, Y. Fast pressure-sensitive paint for understanding complex flows: From regular to harsh environments. Exp. Fluids 2020, 61, 8. [Google Scholar] [CrossRef]
- Huang, C.Y.; Sakaue, H.; Gregory, J.W.; Sulliavan, J.P. Molecular sensors for mems. In Proceedings of the 40th AIAA Aerospace Sciences Meeting and Exhibit, Reno, NV, USA, 14–17 January 2002. [Google Scholar] [CrossRef]
- Nagai, H.; Naraoka, R.; Sawada, K.; Asai, K. Flow diagnostic using PSP and TSP technique in a supersonic micronozzle. In Proceedings of the 12th International Symposium on Flow Visualization, Göttingen, Germany, 10–14 September 2006. [Google Scholar]
- Matsuda, Y.; Mori, H.; Sakazaki, Y.; Uchida, T.; Suzuki, S.; Yamaguchi, H.; Niimi, T. Extension and characterization of pressure-sensitive molecular film. Exp. Fluids 2009, 47, 1025–1032. [Google Scholar] [CrossRef]
- Matsuda, Y.; Uchida, T.; Suzuki, S.; Misaki, R.; Yamaguchi, H.; Niimi, T. Pressure-sensitive molecular film for investigation of micro gas flows. Microfluid. Nanofluid. 2010, 10, 165–171. [Google Scholar] [CrossRef]
- Huang, C.; Wan, S.; Hu, Y. Oxygen and nitrogen gases mixing in T-type micromixers visualized and quantitatively characterized using pressure-sensitive paint. Int. J. Heat Mass Transf. 2017, 111, 520–531. [Google Scholar] [CrossRef]
- Sakamura, Y.; Suzuki, T.; Kawabata, S. Development and characterization of a pressure-sensitive luminescent coating based on Pt(II)-porphyrin self-assembled monolayers. Meas. Sci. Technol. 2015, 26, 064002. [Google Scholar] [CrossRef]
- Willets, K.A.; Van Duyne, R.P. Localized surface plasmon resonance spectroscopy and sensing. Annu. Rev. Phys. Chem. 2007, 58, 267–297. [Google Scholar] [CrossRef] [PubMed] [Green Version]
- Kelly, K.L.; Coronado, E.; Zhao, L.; Schatz, G.C. The optical properties of metal nanoparticles: The influence of size, shape, and dielectric environment. J. Phys. Chem. B 2003, 107, 668–677. [Google Scholar] [CrossRef]
- Chance, R.R.; Prock, A.; Silbey, R. Molecular fluorescence and energy transfer near interfaces. Adv. Chem. Phys. 1978, 37, 1–65. [Google Scholar] [CrossRef]
- Gersten, J.I.; Nitzan, A. Accelerated energy transfer between molecules near a solid particle. Chem. Phys. Lett. 1984, 104, 31–37. [Google Scholar] [CrossRef]
- Anger, P.; Bharadwaj, P.; Novotny, L. Enhancement and quenching of single-molecule fluorescence. Phys. Rev. Lett. 2006, 96, 113002. [Google Scholar] [CrossRef] [PubMed] [Green Version]
- Pan, S.; Rothberg, L. Enhancement of platinum octaethyl porphyrin phosphorescence near nanotextured silver surfaces. J. Am. Chem. Soc. 2005, 127, 6087–6094. [Google Scholar] [CrossRef] [PubMed]
- Miura, Y.; Nagai, H.; Asai, K.; Nakakita, K. Enhancement of pressure-sensitive paint emission using localized surface plasmon resonance for shock tunnel applications. In Proceedings of the 46th AIAA Aerospace Sciences Meeting and Exhibit, Reno, NV, USA, 7–10 January 2008. [Google Scholar] [CrossRef]
- Peak, S.M.; Watkins, N.A. Addition of silica-coated Ag nanoparticles to enhance luminescence intensity of pressure-sensitive paints. ACS Appl. Nano Mater. 2020, 3, 9813–9821. [Google Scholar] [CrossRef]
- Xu, L.; Wang, Y.; Huang, J.; Chen, C.; Wang, Z.; Xie, H. Silver nanoparticles: Synthesis, medical applications and biosafety. Theranostics 2020, 10, 8996–9031. [Google Scholar] [CrossRef] [PubMed]
- Matsuda, Y.; Uchida, K.; Egami, Y.; Yamaguchi, H.; Niimi, T. Polymer-particle pressure-sensitive paint with high photostability. Sensors 2016, 16, 550. [Google Scholar] [CrossRef] [PubMed] [Green Version]
- Mayr, T.; Borisov, S.M.; Abel, T.; Enko, B.; Waich, K.; Mistberger, G.; Klimant, I. Light harvesting as a simple and versatile way to enhance brightness of luminescent sensors. Anal. Chem. 2009, 81, 6541–6545. [Google Scholar] [CrossRef] [Green Version]
- Gartia, M.R.; Eichorst, J.P.; Clegg, R.M.; Liu, G.L. Lifetime imaging of radiative and non-radiative fluorescence decays on nanoplasmonic surface. Appl. Phys. Lett. 2012, 101, 023118. [Google Scholar] [CrossRef]









| Polymer Concentration (g/mL) | Thickness of Spin-Coated Films (nm) |
|---|---|
| 0.005 | 10 ± 7 |
| 0.010 | 30 ± 9 |
| 0.015 | 50 ± 10 |
| 0.025 | 110 ± 12 |
| 0.035 | 195 ± 4 |
| Pressure Sensitivity (%/kPa) | 30 nm Spacer | 50 nm Spacer | 110 nm Spacer | 195 nm Spacer |
|---|---|---|---|---|
| Film with AgNPs | 0.43 | 0.58 | 0.59 | 0.70 |
| Film without AgNPs | 0.71 | 0.69 | 0.75 | 0.75 |
| Temperature Sensitivity (%/°C) | 30 nm Spacer | 50 nm Spacer | 110 nm Spacer | 195 nm Spacer |
|---|---|---|---|---|
| Film with AgNPs | −1.02 | −1.02 | −1.11 | −1.07 |
| Film without AgNPs | −1.23 | −1.16 | −1.16 | −1.14 |
Publisher’s Note: MDPI stays neutral with regard to jurisdictional claims in published maps and institutional affiliations. |
© 2021 by the authors. Licensee MDPI, Basel, Switzerland. This article is an open access article distributed under the terms and conditions of the Creative Commons Attribution (CC BY) license (https://creativecommons.org/licenses/by/4.0/).
Share and Cite
Zhou, B.; Gu, F.; Liu, Y.; Peng, D. Signal Enhancement of Pressure-Sensitive Film Based on Localized Surface Plasmon Resonance. Sensors 2021, 21, 7627. https://doi.org/10.3390/s21227627
Zhou B, Gu F, Liu Y, Peng D. Signal Enhancement of Pressure-Sensitive Film Based on Localized Surface Plasmon Resonance. Sensors. 2021; 21(22):7627. https://doi.org/10.3390/s21227627
Chicago/Turabian StyleZhou, Bei, Feng Gu, Yingzheng Liu, and Di Peng. 2021. "Signal Enhancement of Pressure-Sensitive Film Based on Localized Surface Plasmon Resonance" Sensors 21, no. 22: 7627. https://doi.org/10.3390/s21227627
APA StyleZhou, B., Gu, F., Liu, Y., & Peng, D. (2021). Signal Enhancement of Pressure-Sensitive Film Based on Localized Surface Plasmon Resonance. Sensors, 21(22), 7627. https://doi.org/10.3390/s21227627

