A Multi-task Learning Model for Daily Activity Forecast in Smart Home
Abstract
1. Introduction
- (1)
- A daily activity forecast model based on multi-task learning is proposed. The proposed model decomposes the features of recent sensor events, and then constructs the forecast model from these generated features using multi-task learning technology.
- (2)
- The proposed model is evaluated in detail on five distinct datasets.
2. Related Work
3. Problem Formulation
4. Dataset Description
5. Method
5.1. Initial Features Generation
| Algorithm 1. Generate initial features group |
| Input:S, deployed sensor identifications in smart house E, A sequence of sensor events activated in the window Output: X
|
5.2. Model Architecture
5.3. Training
5.3.1. Category Forecast of Daily Activity
5.3.2. Occurrence Time Forecast of Daily Activity
| Algorithm 2. Training algorithm for multi-task forecast model |
| Input:F, Sequence of training datasets for two forecast tasks. y*, the ground-truth output values Output:ŷ*, predicted values
|
6. Evaluation
6.1. Classification Evaluation Metrics
6.2. Regression Evaluation Metrics
7. Experiments and Discussion
7.1. Experimental Setup
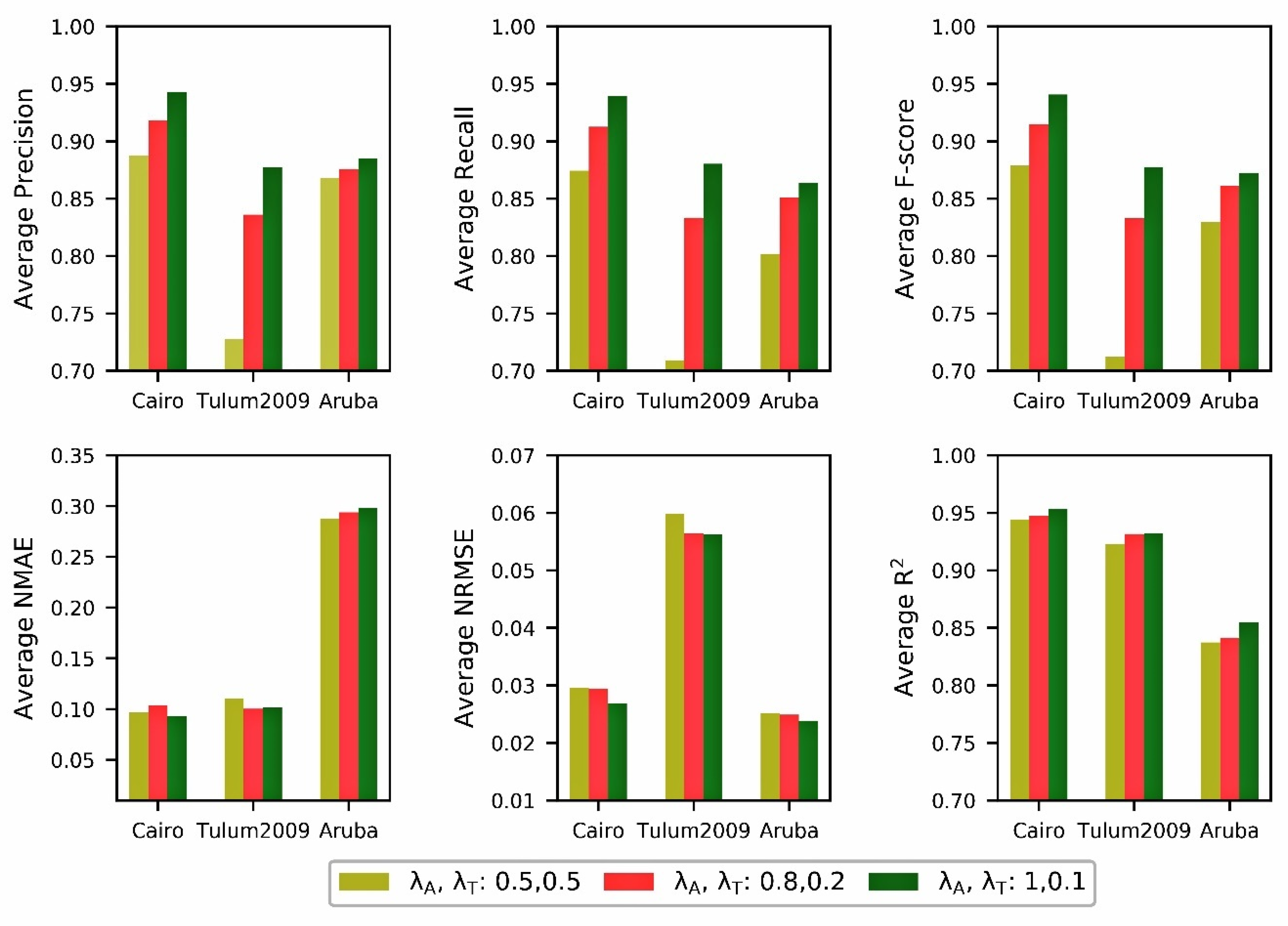
7.2. Comparison of Different Loss Weight
7.3. Training Window Size
7.4. Daily Activity Forecast for Multi-Task and Single-Task
7.5. Discussion
8. Conclusions
Author Contributions
Funding
Conflicts of Interest
References
- Cook, D.J.; Das, S.K. Smart Environments: Technology, Protocols, and Applications; John Wiley & Sons: Hoboken, NJ, USA, 2005. [Google Scholar]
- Holder, L.B.; Cook, D.J. Automated activity-aware prompting for activity initiation. Gerontechnology 2013, 11, 534–544. [Google Scholar] [CrossRef]
- Mihailidis, A.; Boger, J.; Canido, M.; Hoey, J. The use of an intelligent prompting system for people with dementia. Interactions 2007, 14, 34–37. [Google Scholar] [CrossRef]
- Hoey, J.; Bertoldi, A.V.; Poupart, P.; Mihailidis, A. Assisting persons with dementia during handwashing using a partially observable Markov decision process. In Proceedings of the International Conference on Computer Vision Systems, Bielefeld, Germany, 21–24 March 2007; pp. 1–10. [Google Scholar]
- McCullagh, P.J.; Carswell, W.; Mulvenna, M.D.; Augusto, J.C.; Zheng, H.; Jeffers, W.P. Nocturnal sensing and intervention for assisted living of people with dementia. In Healthcare Sensor Networks: Challenges toward Practical Implementation; CRC press: Boca Raton, FL, USA, 2012; pp. 283–303. [Google Scholar]
- Feki, M.A.; Biswas, J.; Tolstikov, A. Model and algorithmic framework for detection and correction of cognitive errors. Technol. Health Care 2009, 17, 203–219. [Google Scholar] [CrossRef] [PubMed]
- Liu, Y.; Mu, Y.; Chen, K.; Li, Y.; Guo, J. Daily Activity Feature Selection in Smart Homes Based on Pearson Correlation Coefficient. Neural Process. Lett. 2020. [Google Scholar] [CrossRef]
- Chen, R.; Guo, S.K.; Wang, X.Z.; Zhang, T.L. Fusion of multi-RSMOTE with fuzzy integral to classify bug reports with an imbalanced severity distribution. IEEE Trans. Fuzzy Syst. 2019. [Google Scholar] [CrossRef]
- Zhao, H.; Liu, H.; Xu, J.; Deng, W. Performance prediction using high-order differential mathematical morphology gradient spectrum entropy and extreme learning machine. IEEE Trans. Instrum. Meas. 2019. [Google Scholar] [CrossRef]
- Liu, Y.; Wang, X.X.; Zhai, Z.G.; Chen, R.; Zhang, B.; Jiang, Y. Timely daily activity recognition from headmost sensor events. ISA Trans. 2019, 94, 379–390. [Google Scholar] [CrossRef] [PubMed]
- Wu, S.; Rendall, J.B.; Smith, M.J.; Zhu, S.; Xu, J.; Wang, H.; Yang, Q.; Qin, P. Survey on prediction algorithms in smart homes. IEEE Internet Things J. 2017, 4, 636–644. [Google Scholar] [CrossRef]
- Farayez, A.; Reaz, M.B.I.; Arsad, N. SPADE: Activity Prediction in Smart Homes Using Prefix Tree Based Context Generation. IEEE Access 2018, 7, 5492–5501. [Google Scholar] [CrossRef]
- Du, Y.; Lim, Y.; Tan, Y. A Novel Human Activity Recognition and Prediction in Smart Home Based on Interaction. Sensors 2019, 19, 4474. [Google Scholar] [CrossRef]
- Minor, B.; Cook, D.J. Forecast occurrences of activities. Pervasive Mob. Comput. 2017, 38, 77–91. [Google Scholar] [CrossRef] [PubMed]
- Nazerfard, E.; Cook, D.J. CRAFFT: An activity prediction model based on Bayesian networks. J. Ambient. Intell. Humaniz. Comput. 2015, 6, 193–205. [Google Scholar] [CrossRef] [PubMed]
- Gopalratnam, K.; Cook, D.J. Online sequential prediction via incremental parsing: The active LeZi algorithm. IEEE Intelligent Syst. 2007, 22, 52–58. [Google Scholar] [CrossRef]
- Alam, M.R.; Reaz, M.B.I.; Ali, M.A.M. SPEED: An inhabitant activity prediction algorithm for smart homes. IEEE Trans. Syst. Man Cybern. Part A Syst. Hum. 2012, 42, 985–990. [Google Scholar] [CrossRef]
- Channe, P. Enhancing Smart Home User Behavior with Improved Data Mining Techniques. Int. J. Recent Innov. Trends Comput. Commun. 2012, 4, 64–66. [Google Scholar]
- Choi, S.; Kim, E. Human behavior prediction for smart homes using deep learning. In Proceedings of the IEEE RO-MAN, Gyeongju, Korea, 26–29 August 2013; pp. 173–179. [Google Scholar]
- Casagrande, F.D.; Tørresen, J.; Zouganeli, E. Sensor event prediction using recurrent neural network in smart homes for older adults. In Proceedings of the 2018 International Conference on Intelligent Systems, Funchal, Portugal, 25–27 September 2018; pp. 662–668. [Google Scholar]
- Zhao, H.; Zheng, J.; Deng, W.; Song, Y. Semi-supervised broad learning system based on manifold regularization and broad network. IEEE Trans. Circuits Syst. I Regul. Pap. 2020, 67, 983–994. [Google Scholar] [CrossRef]
- Deng, W.; Xu, J.; Zhao, H. An improved ant colony optimization algorithm based on hybrid strategies for scheduling problem. IEEE Access 2019, 7, 20281–20292. [Google Scholar] [CrossRef]
- Vintan, L.; Gellert, A.; Petzold, J.; Ungerer, T. Person movement prediction using neural networks. Int. Workshop Model. Retriev. Contexts 2004, 114, 1–12. [Google Scholar]
- Petzold, J.; Bagci, F.; Trumler, W.; Ungerer, T. Next location prediction within a smart office building. Cogn. Sci. Res. Pap. Univ. Sussex CSRP 2005, 577, 69. [Google Scholar]
- Box, G.E.P.; Jenkins, G.M. Time Series Analysis: Forecast and Control; John Wiley & Sons: Hoboken, NJ, USA, 2015. [Google Scholar]
- Scellato, S.; Musolesi, M.; Mascolo, C.; Latora, V.; Campbell, A.T. NextPlace: A spatio-temporal prediction framework for pervasive systems. In Proceedings of the 9th International Conference, Pervasive 2011, San Francisco, CA, USA, 12–15 June 2011; pp. 152–169. [Google Scholar]
- Aztiria, A.; Augusto, J.C.; Izaguirre, A.; Cook, D. Learning accurate temporal relations from user actions in intelligent environments. In 3rd Symposium of Ubiquitous Computing and Ambient Intelligence 2008; Springer: Berlin, Germany, 2009; Volume 51, pp. 274–283. [Google Scholar]
- Mahmoud, S.; Lotfifi, A.; Langensiepen, C. Behavioural pattern identifification and prediction in intelligent environments. Appl. Soft Comput. 2013, 13, 1813–1822. [Google Scholar] [CrossRef]
- Mahmud, T.; Hasan, M.; Chakraborty, A.; Roy-Chowdhury, A.K. A poisson process model for activity forecast. In Proceedings of the IEEE 2016 IEEE International Conference on Image Processing (ICIP), Phoenix, AZ, USA, 25–28 September 2016; pp. 3339–3343. [Google Scholar]
- Minor, B.D.; Doppa, J.R.; Cook, D.J. Learning activity predictors from sensor data: Algorithms, evaluation, and applications. IEEE Trans. Knowl. Data Eng. 2017, 29, 2744–2757. [Google Scholar] [CrossRef] [PubMed]
- Casagrande, F.D.; Tørresen, J.; Zouganeli, E. Predicting Sensor Events, Activities, and Time of Occurrence Using Binary Sensor Data from Homes with Older Adults. IEEE Access 2019, 7, 111012–111029. [Google Scholar] [CrossRef]
- Caruana, R. Multitask learning. Mach. Learn. 1997, 28, 41–75. [Google Scholar] [CrossRef]
- Zhang, Y.; Yang, Q. A survey on multi-task learning. arXiv 2017, arXiv:1707.08114. [Google Scholar]
- Zhang, Y.; Yang, Q. An overview of multi-task learning. Natl. Sci. Rev. 2018, 5, 30–43. [Google Scholar] [CrossRef]
- Deng, W.; Liu, H.; Xu, J.; Zhao, H.; Song, Y. An improved quantum-inspired differential evolution algorithm for deep belief network. IEEE Trans. Instrum. Meas. 2020. [Google Scholar] [CrossRef]
- Ruder, S. An overview of multi-task learning in deep neural networks. arXiv 2017, arXiv:1706.05098. [Google Scholar]
- Lu, Y.; Kumar, A.; Zhai, S.; Cheng, Y.; Javidi, T.; Feris, R. Fully-adaptive Feature Sharing in Multi-Task Networks with Applications in Person Attribute Classification. In Proceedings of the Conference on Computer Vision and Pattern Recognition, Honolulu, HI, USA, 21–26 July 2017; pp. 5334–5343. [Google Scholar]
- Hashimoto, K.; Xiong, C.; Tsuruoka, Y.; Socher, R. A joint many-task model: Growing a neural network for multiple NLP tasks. arXiv 2016, arXiv:1611.01587. [Google Scholar]
- Liu, P.; Qiu, X.; Huang, X. Recurrent neural network for text classification with multi-task learning. arXiv 2016, arXiv:1605.05101. [Google Scholar]
- Long, M.; Cao, Z.; Wang, J.; Yu, P.S. Learning multiple tasks with multilinear relationship networks. In Proceedings of the Advances in Neural Information Processing Systems, Long Beach, CA, USA, 4–9 December 2017; pp. 1594–1603. [Google Scholar]
- Misra, I.; Shrivastava, A.; Gupta, A.; Hebert, M. Cross-Stitch Networks for Multi-task Learning. In Proceedings of the Computer Vision and Pattern Recognition, Las Vegas, NV, USA, 27–30 June 2016; pp. 3994–4003. [Google Scholar]
- Strezoski, G.; Noord, N.; Worring, M. Many task learning with task routing. In Proceedings of the Conference on Computer Vision, Seoul, Korea, 27 October–3 November 2019; pp. 1375–1384. [Google Scholar]
- Kuang, L.; Yan, X.; Tan, X.; Li, S.; Yang, X. Predicting Taxi Demand Based on 3D Convolutional Neural Network and Multi-task Learning. Remote Sens. 2019, 11, 1265. [Google Scholar] [CrossRef]
- Bragman, F.J.S.; Tanno, R.; Ourselin, S.; Alexander, D.C.; Cardoso, J. Stochastic filter groups for multi-task cnns: Learning specialist and generalist convolution kernels. In Proceedings of the Conference on Computer Vision, Seoul, Korea, 27 October–3 November 2019; pp. 1385–1394. [Google Scholar]
- Vandenhende, S.; de Brabandere, B.; van Gool, L. Branched multi-task networks: Deciding what layers to share. arXiv 2019, arXiv:1904.02920. [Google Scholar]
- Ruder, S.; Bingel, J.; Augenstein, I.; Søgaard, A. Sluice networks: Learning what to share between loosely related tasks. Stat 2017, 1050, 23. [Google Scholar]
- Sun, T.; Shao, Y.; Li, X.; Liu, P.; Yan, H.; Qiu, X.; Huang, X. Learning Sparse Sharing Architectures for Multiple Tasks. arXiv 2019, arXiv:1911.05034. [Google Scholar]
- Søgaard, A.; Goldberg, Y. Deep multi-task learning with low level tasks supervised at lower layers. Annu. Meet. Assoc. Comput. Linguist. 2016, 2, 231–235. [Google Scholar]
- Wang, S.; Che, W.; Liu, Q.; Qin, P.; Liu, T.; Wang, W.Y. Multi-Task Self-Supervised Learning for Disfluency Detection. arXiv 2019, arXiv:1908.05378. [Google Scholar]
- Yang, Y.; Hospedales, T. Deep multi-task representation learning: A tensor factorisation approach. arXiv 2016, arXiv:1605.06391. [Google Scholar]
- Liu, S.; Johns, E.; Davison, A.J. End-to-end multi-task learning with attention. In Proceedings of the Conference on Computer Vision and Pattern Recognition, Cardiff, UK, 9–12 September 2019; pp. 1871–1880. [Google Scholar]
- Youngblood, G.M.; Cook, D.J. Data mining for hierarchical model creation. Appl. Rev. 2007, 37, 1–12. [Google Scholar] [CrossRef]
- Cook, D.; Crandall, A.; Thomas, B.; Krishnan, N. CASAS: A smart home in a box. IEEE Comput. 2013, 46, 62–69. [Google Scholar] [CrossRef]
- Caruana, R. Multitask Learning: A Knowledge based Source of Inductive Bias. In Proceedings of the Tenth International Conference on Machine Learning, Amherst, MA, USA, 27–29 June 1993. [Google Scholar]





| Locations of Sensors | Kinds of Sensors | Daily Activity Categories |
|---|---|---|
| “Bedroom” | “Motion sensors” | “Sleep” |
| “Breakfast” | ||
| “Office” | “Leave_home” | |
| “Temperature sensors” | “Work_in_office” | |
| “Kitchen” | “Lunch” | |
| “Dinner” | ||
| “Dining room” | “Door sensors” | “Wash_Dishes” |
| “Bed_to_toilet” | ||
| “Bathroom” | “Light sensors” | “Enter_Home” |
| “Watch_TV” | ||
| _ | _ | _ |
| Dataset | Residents and Pets/Participants | Number of Sensors | Daily Activity Categories | Measurement Time | Sensor Events |
|---|---|---|---|---|---|
| MavLab | 6 participants | 51 | 10 | 19 days | 3015 |
| Adlnormal | 20 participants | 25 | 5 | 13 days | 6425 |
| Cairo | 2 residents and 1 pet | 32 | 13 | 57 days | 726534 |
| Tulum2009 | 2 residents | 20 | 10 | 84 days | 486912 |
| Aruba | 1 resident | 39 | 11 | 90 days | 725530 |
| Configuration Name | Parameter Interpretation |
|---|---|
| Hyperparameter of Huber loss | δ←1 |
| Gradient descent algorithm | AdamOptimizar |
| Learning rate | 1e-3 |
| Batch size | 200 |
| Epoch number | T←500 |
| Loss Weight λA, λT | Training Window Size | Metrics | |||||
|---|---|---|---|---|---|---|---|
| Precision | Recall | F-score | NMAE | NRMSE | R2 | ||
| 0.5, 0.5 | 1000 | 0.8666 | 0.8565 | 0.8598 | 0.1059 | 0.0292 | 0.9406 |
| 2000 | 0.8941 | 0.8834 | 0.8873 | 0.0956 | 0.0279 | 0.9457 | |
| 3000 | 0.9046 | 0.8776 | 0.8862 | 0.0837 | 0.0303 | 0.9436 | |
| 4000 | 0.8897 | 0.8798 | 0.8832 | 0.0969 | 0.0299 | 0.9517 | |
| 5000 | 0.8823 | 0.8749 | 0.8768 | 0.1012 | 0.0306 | 0.9377 | |
| 0.8, 0.2 | 1000 | 0.9266 | 0.9097 | 0.9174 | 0.1049 | 0.0279 | 0.9599 |
| 2000 | 0.9177 | 0.9186 | 0.9177 | 0.1079 | 0.0292 | 0.9406 | |
| 3000 | 0.9116 | 0.899 | 0.9044 | 0.1013 | 0.031 | 0.9408 | |
| 4000 | 0.9171 | 0.9086 | 0.9122 | 0.1034 | 0.0289 | 0.9547 | |
| 5000 | 0.9181 | 0.9275 | 0.9222 | 0.1014 | 0.0301 | 0.9399 | |
| 1, 0.1 | 1000 | 0.9478 | 0.9441 | 0.9459 | 0.0971 | 0.0224 | 0.965 |
| 2000 | 0.9469 | 0.9453 | 0.9458 | 0.0974 | 0.0291 | 0.941 | |
| 3000 | 0.9448 | 0.946 | 0.9451 | 0.0849 | 0.0288 | 0.9494 | |
| 4000 | 0.9312 | 0.9223 | 0.9255 | 0.0999 | 0.027 | 0.9606 | |
| 5000 | 0.9414 | 0.9405 | 0.9405 | 0.0845 | 0.0271 | 0.9514 | |
| Loss Weight λA, λT | Training Window Size | Metrics | |||||
|---|---|---|---|---|---|---|---|
| Precision | Recall | F-Score | NMAE | NRMSE | R2 | ||
| 0.5, 0.5 | 1000 | 0.6639 | 0.6782 | 0.6627 | 0.1286 | 0.0625 | 0.9097 |
| 2000 | 0.7005 | 0.6772 | 0.6807 | 0.1126 | 0.0648 | 0.9146 | |
| 3000 | 0.7618 | 0.7518 | 0.7543 | 0.1063 | 0.0536 | 0.942 | |
| 4000 | 0.7789 | 0.7316 | 0.7495 | 0.1047 | 0.0571 | 0.9314 | |
| 5000 | 0.7324 | 0.7071 | 0.7138 | 0.099 | 0.0611 | 0.9169 | |
| 0.8, 0.2 | 1000 | 0.79 | 0.7839 | 0.7837 | 0.101 | 0.0554 | 0.9292 |
| 2000 | 0.8359 | 0.8453 | 0.8402 | 0.0963 | 0.0517 | 0.9457 | |
| 3000 | 0.8598 | 0.8619 | 0.8603 | 0.0934 | 0.0565 | 0.9358 | |
| 4000 | 0.8517 | 0.8453 | 0.8448 | 0.1056 | 0.0553 | 0.9357 | |
| 5000 | 0.8426 | 0.8305 | 0.8353 | 0.1054 | 0.0629 | 0.9116 | |
| 1, 0.1 | 1000 | 0.8499 | 0.8529 | 0.8505 | 0.11 | 0.0533 | 0.9344 |
| 2000 | 0.8994 | 0.878 | 0.8868 | 0.1126 | 0.0613 | 0.9236 | |
| 3000 | 0.9108 | 0.9066 | 0.9081 | 0.0901 | 0.0537 | 0.9421 | |
| 4000 | 0.8877 | 0.9019 | 0.8943 | 0.0912 | 0.0543 | 0.9378 | |
| 5000 | 0.838 | 0.8623 | 0.8478 | 0.1028 | 0.0584 | 0.924 | |
| Loss Weight λA, λT | Training Window Size | Metrics | |||||
|---|---|---|---|---|---|---|---|
| Precision | Recall | F-score | NMAE | NRMSE | R2 | ||
| 0.5, 0.5 | 1000 | 0.8761 | 0.8024 | 0.8345 | 0.2802 | 0.024 | 0.8468 |
| 2000 | 0.8765 | 0.7993 | 0.8321 | 0.2868 | 0.023 | 0.8603 | |
| 3000 | 0.8477 | 0.8067 | 0.8226 | 0.299 | 0.0318 | 0.7735 | |
| 4000 | 0.8597 | 0.8004 | 0.8253 | 0.2989 | 0.0255 | 0.8357 | |
| 5000 | 0.8793 | 0.7989 | 0.8337 | 0.2741 | 0.0215 | 0.8706 | |
| 0.8, 0.2 | 1000 | 0.8815 | 0.8345 | 0.8556 | 0.2939 | 0.0245 | 0.841 |
| 2000 | 0.8956 | 0.8686 | 0.8791 | 0.2743 | 0.0239 | 0.8532 | |
| 3000 | 0.8673 | 0.8672 | 0.8664 | 0.2919 | 0.0258 | 0.8506 | |
| 4000 | 0.8588 | 0.8412 | 0.848 | 0.3123 | 0.0243 | 0.8506 | |
| 5000 | 0.8736 | 0.8432 | 0.8566 | 0.2966 | 0.026 | 0.8097 | |
| 1, 0.1 | 1000 | 0.9098 | 0.8657 | 0.8838 | 0.2998 | 0.0243 | 0.8425 |
| 2000 | 0.9045 | 0.8751 | 0.8895 | 0.2808 | 0.0213 | 0.8832 | |
| 3000 | 0.8508 | 0.8745 | 0.8614 | 0.3089 | 0.0274 | 0.832 | |
| 4000 | 0.8702 | 0.8697 | 0.868 | 0.2949 | 0.0234 | 0.8605 | |
| 5000 | 0.8899 | 0.8335 | 0.8575 | 0.3053 | 0.0227 | 0.8552 | |
| Training Window Size | Average Metrics | |||||
|---|---|---|---|---|---|---|
| Precision | Recall | F-score | NMAE | NRMSE | R2 | |
| 1000 | 0.9137 | 0.9034 | 0.9077 | 0.1026 | 0.0265 | 0.9552 |
| 2000 | 0.9196 | 0.9158 | 0.9169 | 0.1003 | 0.0287 | 0.9424 |
| 3000 | 0.9203 | 0.9075 | 0.9119 | 0.0900 | 0.03 | 0.9446 |
| 4000 | 0.9127 | 0.9036 | 0.907 | 0.1001 | 0.0286 | 0.9557 |
| 5000 | 0.9139 | 0.9143 | 0.9132 | 0.0957 | 0.0293 | 0.943 |
| Training Window Size | Average Metrics | |||||
|---|---|---|---|---|---|---|
| Precision | Recall | F-score | NMAE | NRMSE | R2 | |
| 1000 | 0.7679 | 0.7717 | 0.7656 | 0.1132 | 0.0571 | 0.9244 |
| 2000 | 0.8119 | 0.8002 | 0.8026 | 0.1072 | 0.0593 | 0.9280 |
| 3000 | 0.8441 | 0.8401 | 0.8409 | 0.0966 | 0.0546 | 0.94 |
| 4000 | 0.8394 | 0.8263 | 0.8295 | 0.1005 | 0.0556 | 0.935 |
| 5000 | 0.8043 | 0.8 | 0.7990 | 0.1024 | 0.0608 | 0.9175 |
| Training Window Size | Average Metrics | |||||
|---|---|---|---|---|---|---|
| Precision | Recall | F-score | NMAE | NRMSE | R2 | |
| 1000 | 0.8891 | 0.8342 | 0.858 | 0.2913 | 0.0243 | 0.8434 |
| 2000 | 0.8922 | 0.8477 | 0.8669 | 0.2806 | 0.0227 | 0.8656 |
| 3000 | 0.8553 | 0.8495 | 0.8501 | 0.2999 | 0.0283 | 0.8187 |
| 4000 | 0.8629 | 0.8371 | 0.8471 | 0.3020 | 0.0244 | 0.8489 |
| 5000 | 0.8809 | 0.8252 | 0.8493 | 0.2920 | 0.0234 | 0.8452 |
| Method | Dataset | |
|---|---|---|
| Adlnormal | MavLab | |
| SPADE | 0.8047 | 0.8411 |
| LSTM | 0.9030 | 0.8451 |
| CNN+Bi-LSTM | 0.8964 | 0.8401 |
| Multi-task CNN+Bi-LSTM | 0.9323 | 0.8673 |
| Method | Metrics | Dataset | ||
|---|---|---|---|---|
| Cairo | Tulum2009 | Aruba | ||
| Bi-LSTM | NMAE | 0.1883 | 0.1323 | 0.3158 |
| NRMSE | 0.0331 | 0.0652 | 0.0236 | |
| R2 | 0.9233 | 0.9142 | 0.8569 | |
| CNN+Bi-LSTM | NMAE | 0.1504 | 0.1109 | 0.2852 |
| NRMSE | 0.0296 | 0.0608 | 0.0231 | |
| R2 | 0.9379 | 0.9252 | 0.8632 | |
| Multi-task CNN+Bi-LSTM | NMAE | 0.0971 | 0.0901 | 0.2808 |
| NRMSE | 0.0224 | 0.0537 | 0.0213 | |
| R2 | 0.9650 | 0.9421 | 0.8832 | |
© 2020 by the authors. Licensee MDPI, Basel, Switzerland. This article is an open access article distributed under the terms and conditions of the Creative Commons Attribution (CC BY) license (http://creativecommons.org/licenses/by/4.0/).
Share and Cite
Yang, H.; Gong, S.; Liu, Y.; Lin, Z.; Qu, Y. A Multi-task Learning Model for Daily Activity Forecast in Smart Home. Sensors 2020, 20, 1933. https://doi.org/10.3390/s20071933
Yang H, Gong S, Liu Y, Lin Z, Qu Y. A Multi-task Learning Model for Daily Activity Forecast in Smart Home. Sensors. 2020; 20(7):1933. https://doi.org/10.3390/s20071933
Chicago/Turabian StyleYang, Hong, Shanshan Gong, Yaqing Liu, Zhengkui Lin, and Yi Qu. 2020. "A Multi-task Learning Model for Daily Activity Forecast in Smart Home" Sensors 20, no. 7: 1933. https://doi.org/10.3390/s20071933
APA StyleYang, H., Gong, S., Liu, Y., Lin, Z., & Qu, Y. (2020). A Multi-task Learning Model for Daily Activity Forecast in Smart Home. Sensors, 20(7), 1933. https://doi.org/10.3390/s20071933
