Test and Study of Pipe Pile Penetration in Cohesive Soil Using FBG Sensing Technology
Abstract
1. Introduction
2. FBG Sensor Working Principle
3. Test Scheme
3.1. Test Equipment
3.2. Model Pile
3.3. Strain Testing Technology
3.4. Temperature Self-Compensating Pressure Sensor
3.5. Data Acquisition System
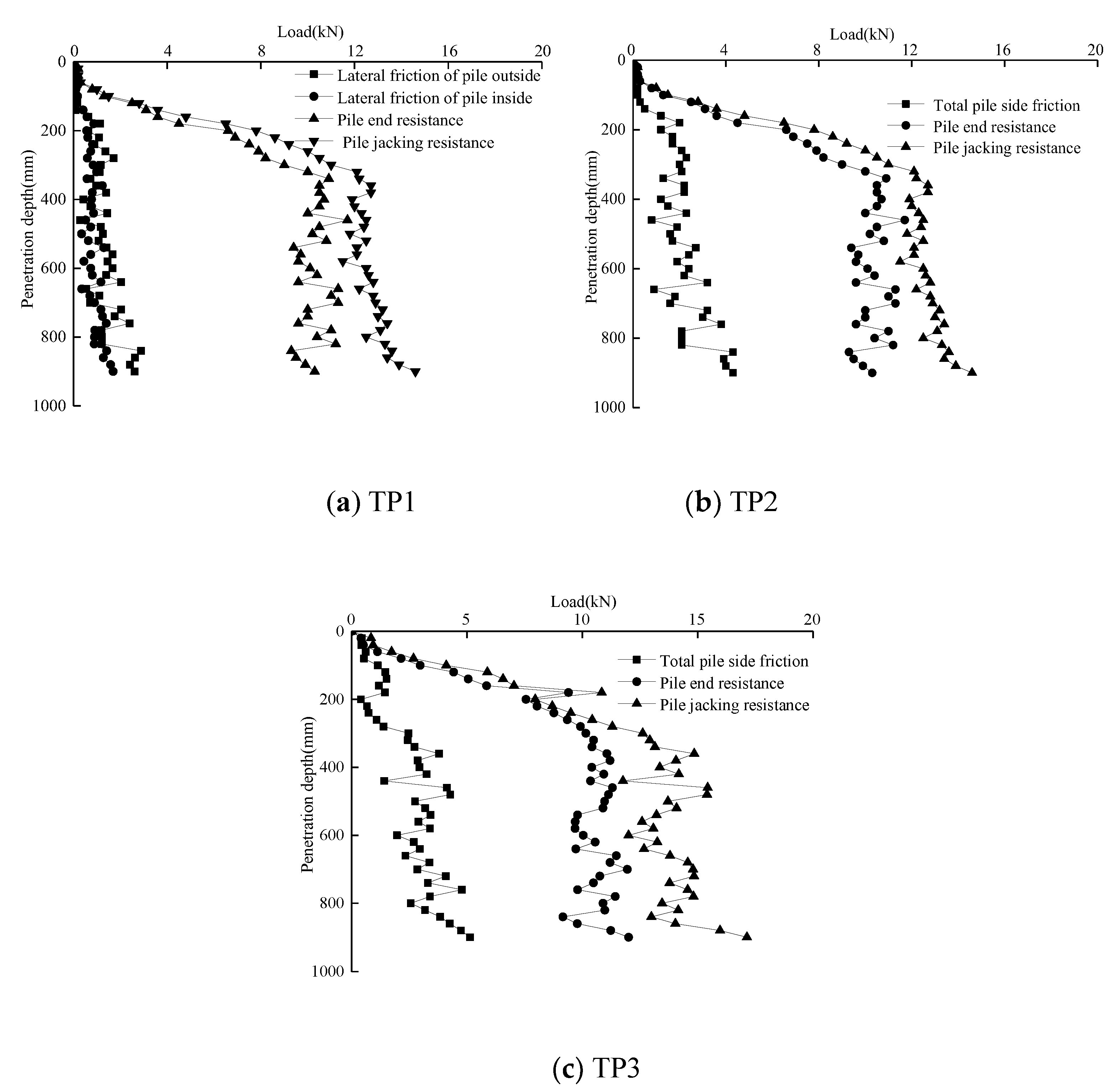
4. Analysis of Test Results
4.1. Development Rule of Soil Plug Height
4.2. Axial Force of Pile Body
4.3. Average Pile Side Friction Resistance
4.4. Pile Jacking Resistance
5. Conclusions
Author Contributions
Funding
Conflicts of Interest
References
- Zhang, L.M.; Wang, H. Field study of construction effects in jacked and driven steel H-piles. Geotechnique 2009, 59, 63–69. [Google Scholar] [CrossRef]
- Yang, J.; Tham, L.G.; Lee, P.K.K.; Chan, S.T.; Yu, F. Behaviour of jacked and driven piles in sandy soil. Geotechnique 2006, 56, 245–259. [Google Scholar] [CrossRef]
- Li, L.; Li, J.P.; Sun, D.A.; Zhang, L.X. Time-dependent bearing capacity of a jacked pile: An analytical approach based on effective stress method. Ocean Eng. 2017, 143, 177–185. [Google Scholar] [CrossRef]
- Wang, Z.; Miao, L.; Wang, F. Theoretical and numerical analysis of jacked pile in sand. In Proceedings of the GeoCongress 2012: State of the Art and Practice in Geotechnical Engineering, Oakland, CA, USA, 25–29 March 2012; pp. 245–254. [Google Scholar] [CrossRef]
- Cooke, R.W.; Price, G.; Tarr, K. Jacked piles in London Clay: A study of load transfer and settlement under working conditions. Geotechnique 1979, 29, 113–147. [Google Scholar] [CrossRef]
- Chin, J.T.; Poulos, H.G. Tests on model jacked piles in calcareous sand. Geotech. Test. J. 1996, 19, 164–180. [Google Scholar] [CrossRef]
- Li, L.; Huang, J.; Han, B. Centrifugal Investigation of Excavation Adjacent to Existing Composite Foundation. J. Perform. Constr. Facil. 2018, 32, 04018044. [Google Scholar] [CrossRef]
- Liu, J.W.; Cui, L.; Zhu, N.; Han, B.; Liu, J. Investigation of cyclic pile-sand interface weakening mechanism based on large-scale CNS cyclic direct shear tests. Ocean Eng. 2019, 194, 106650. [Google Scholar] [CrossRef]
- Nellen, P.M.; Broennimann, R.; Frank, A.; Mauron, P.; Sennhauser, U.J. Structurally embedded fiber Bragg gratings: Civil engineering applications. Fiber Opt. Sens. Technol. Appl. Int. Soc. Opt. Photonics 1999, 3860, 44–54. [Google Scholar] [CrossRef]
- Albert, J.; Shao, L.Y.; Caucheteur, C. Tilted fiber Bragg grating sensors. Laser Photonics Rev. 2013, 7, 83–108. [Google Scholar] [CrossRef]
- Buerck, J.; Roth, S.; Kraemer, K.; Mathieu, H. OTDR fiber-optical chemical sensor system for detection and location of hydrocarbon leakage. J. Hazard. Mater. 2003, 102, 13–28. [Google Scholar] [CrossRef]
- Li, H.N.; Li, D.S.; Song, G.B. Recent applications of fiber optic sensors to health Monitoring in civil engineering. Eng. Struct. 2004, 26, 1647–1657. [Google Scholar] [CrossRef]
- Chan, T.H.; Yu, L.; Tam, H.Y.; Ni, Y.Q.; Liu, S.Y.; Chung, W.H.; Cheng, L.K. Fiber Bragg grating sensors for structural health monitoring of Tsing Ma bridge: Background and experimental observation. Eng. Struct. 2006, 28, 648–659. [Google Scholar] [CrossRef]
- Majumder, M.; Gangopadhyay, T.K.; Chakraborty, A.K.; Dasgupta, K.; Bhattacharya, D.K. Fibre Bragg gratings in structural health monitoring—Present status and applications. Sens. Actuators A Phys. 2008, 147, 150–164. [Google Scholar] [CrossRef]
- Barrias, A.; Casas, J.; Villalba, S. A review of distributed optical fiber sensors for civil engineering applications. Sensors 2016, 16, 748. [Google Scholar] [CrossRef]
- Ren, L.; Jia, Z.G.; Li, H.N.; Song, G. Design and experimental study on FBG hoop-strain sensor in pipeline monitoring. Opt. Fiber Technol. 2014, 20, 15–23. [Google Scholar] [CrossRef]
- Baldwin, C.S.; Salter, T.; Niemczuk, J.B.; Chen, P.C.; Kiddy, J.S. Structural monitoring of composite marine piles using multiplexed fiber Bragg grating sensors: In-field applications. In Smart Structures and Materials 2002: Smart Systems for Bridges, Structures, and Highways; International Society for Optics and Photonics: San Diego, CA, USA, 2002; Volume 4696, pp. 82–91. [Google Scholar] [CrossRef]
- Lee, W.; Lee, W.J.; Lee, S.B.; Salgado, R. Measurement of pile load transfer using the Fiber Bragg Grating sensor system. Can. Geotech. J. 2004, 41, 1222–1232. [Google Scholar] [CrossRef]
- Kister, G.; Winter, D.; Gebremichael, Y.M.; Leighton, J.; Badcock, R.A.; Tester, P.D.; Krishnamurthy, S.; Boyle, W.J.O.; Grattan, K.T.V.; Fernando, G.F. Methodology and integrity monitoring of foundation concrete piles using Bragg grating optical fibre sensors. Eng. Struct. 2007, 29, 2048–2055. [Google Scholar] [CrossRef]
- Li, G.W.; Pei, H.F.; Yin, J.H.; Lu, X.C.; Teng, J. Monitoring and analysis of PHC pipe piles under hydraulic jacking using FBG sensing technology. Measurement 2014, 49, 358–367. [Google Scholar] [CrossRef]
- Gao, L.; Yang, K.; Chen, X.; Yu, X. Study on the deformation measurement of the cast-in-place large-diameter pile using fiber Bragg grating sensors. Sensors 2017, 17, 505. [Google Scholar] [CrossRef]
- El Naggar, M.H.; Wei, J.Q. Uplift behaviour of tapered piles established from model tests. Can. Geotech. J. 2000, 37, 56–74. [Google Scholar] [CrossRef]
- Kong, L.G.; Zhang, L.M. Centrifuge modeling of torsionally loaded pile groups. J. Geotech. Geoenvironmental Eng. 2007, 133, 1374–1384. [Google Scholar] [CrossRef]
- Moayedi, H.; Nazir, R.; Gör, M.; Kassim, K.A.; Foong, L.K. A new real-time monitoring technique in calculation of the py curve of single thin steel piles considering the influence of driven energy and using strain gauge sensors. Measurement 2020, 153, 107365. [Google Scholar] [CrossRef]
- Zhu, H.H.; Shi, B.; Zhang, C.C. FBG-based monitoring of geohazards: Current status and trends. Sensors 2017, 17, 452. [Google Scholar] [CrossRef]
- Cao, D.; Fang, H.; Wang, F.; Zhu, H.; Sun, M. A fiber bragg-grating-based miniature sensor for the fast detection of soil moisture profiles in highway slopes and subgrades. Sensors 2018, 18, 4431. [Google Scholar] [CrossRef]
- Weng, X.; Zhao, Y.; Lou, Y.; Zhan, J. Application of fiber bragg grating strain sensors to a centrifuge model of a jacked pile in collapsible loess. Geotech. Test. J. 2016, 39, 362–370. [Google Scholar] [CrossRef]
- Kou, H.L.; Diao, W.Z.; Liu, T.; Yang, D.L.; Horpibulsuk, S. Field Performance of Open-Ended Prestressed High-Strength Concrete Pipe Piles Jacked into Clay. Sensors 2018, 18, 4216. [Google Scholar] [CrossRef]
- Guo, X.; Wang, B.; Ma, Z.; Wang, Z. Testing Mechanical Properties of Rock Bolt under Different Supports Using Fiber Bragg Grating Technology. Sensors 2019, 19, 4098. [Google Scholar] [CrossRef]
- Liu, X.Z.; Xu, C.; Ni, Y.Q. Wayside detection of wheel minor defects in high-speed trains by a Bayesian blind source separation method. Sensors 2019, 19, 3981. [Google Scholar] [CrossRef]
- Borana, L.; Yin, J.H.; Singh, D.N.; Shukla, S.K.; Pei, H.F. Influences of initial water content and roughness on skin friction of piles using FBG technique. Int. J. Geomech. 2016, 17, 04016097. [Google Scholar] [CrossRef]
- Rafiei, A. Understanding the thermo-mechanical behaviour of thermal piles in sand. Ph.D. Thesis, University College London, London, UK, 2017. Available online: https://discovery.ucl.ac.uk/id/eprint/1544011/ (accessed on 29 January 2020).
- Li, Z.S.; Blanc, M.; Thorel, L. Using fibre Bragg grating sensors to estimate the horizontal response of a monopile in geotechnical centrifuge. Int. J. Phys. Model. Geotech. 2019, 19, 1–25. [Google Scholar] [CrossRef]
- Hill, K.O.; Meltz, G. Fiber Bragg grating technology fundamentals and overview. J. Lightwave Technol. 1997, 15, 1263–1276. [Google Scholar] [CrossRef]
- Othonos, A. Fiber bragg gratings. Rev. Sci. Instrum. 1997, 68, 4309–4341. [Google Scholar] [CrossRef]
- Meltz, G.; Morey, W.; Glenn, W.H. Formation of Bragg gratings in optical fibers by a transverse holographic method. Opt. Lett. 1989, 14, 823–825. [Google Scholar] [CrossRef] [PubMed]
- Kersey, A.D.; Berkoff, T.A.; Morey, W.W. Multiplexed fiber Bragg grating strain-sensor system with a fiber Fabry-Perot wavelength filter. Opt. Lett. 1993, 18, 1370–1372. [Google Scholar] [CrossRef] [PubMed]
- De Nicola, A.; Randolph, M.F. The plugging behaviour of driven and jacked piles in sand. Géotechnique 1997, 47, 841–856. [Google Scholar] [CrossRef]
- Almeida, M.S.; Danziger, F.A.; Lunne, T. Use of the piezocone test to predict the axial capacity of driven and jacked piles in clay. Can. Geotech. J. 1996, 33, 23–41. [Google Scholar] [CrossRef]















| Length (mm) | Section Radius (mm) | Section Thickness (mm) | Elastic Modulus (GPa) | Poisson’s Ratio | |
|---|---|---|---|---|---|
| External tube | 1000 | 67 | 3 | 72 | 0.3 |
| Internal tube | 1000 | 57 | 3 | 72 | 0.3 |
| 3 dB Bandwidth Typical Value (nm) | Wavelength Spacing (nm) | Center Wavelength (nm) | Range (με) | Measurement Gauge (mm) | Resolution (με) |
|---|---|---|---|---|---|
| 0.2 | ±3 | 1510–1590 | ±1500 | 23 | 1 |
| Sampling Rate (time/s) | Dynamic Range (nm) | Range (nm) | Accuracy (pm) | Resolution (pm) |
|---|---|---|---|---|
| 1 | ±3 | 1500~1600 | ±2 | 1 |
© 2020 by the authors. Licensee MDPI, Basel, Switzerland. This article is an open access article distributed under the terms and conditions of the Creative Commons Attribution (CC BY) license (http://creativecommons.org/licenses/by/4.0/).
Share and Cite
Wang, Y.; Liu, X.; Zhang, M.; Sang, S.; Bai, X. Test and Study of Pipe Pile Penetration in Cohesive Soil Using FBG Sensing Technology. Sensors 2020, 20, 1934. https://doi.org/10.3390/s20071934
Wang Y, Liu X, Zhang M, Sang S, Bai X. Test and Study of Pipe Pile Penetration in Cohesive Soil Using FBG Sensing Technology. Sensors. 2020; 20(7):1934. https://doi.org/10.3390/s20071934
Chicago/Turabian StyleWang, Yonghong, Xueying Liu, Mingyi Zhang, Songkui Sang, and Xiaoyu Bai. 2020. "Test and Study of Pipe Pile Penetration in Cohesive Soil Using FBG Sensing Technology" Sensors 20, no. 7: 1934. https://doi.org/10.3390/s20071934
APA StyleWang, Y., Liu, X., Zhang, M., Sang, S., & Bai, X. (2020). Test and Study of Pipe Pile Penetration in Cohesive Soil Using FBG Sensing Technology. Sensors, 20(7), 1934. https://doi.org/10.3390/s20071934
