Piezoelectric Transducers for Structural Health Monitoring of Joint Structures in Cylinders: A Wave-Based Design Approach
Abstract
1. Introduction
2. Problem Formulation
3. Numerical Tools to Analyze Wave-Scattering in 1D Waveguides
3.1. Wave and Finite Element Method
3.2. Diffusion Matrix Method
3.3. Verification
4. Wave-Scattering Characteristic in Cylinder and Joint
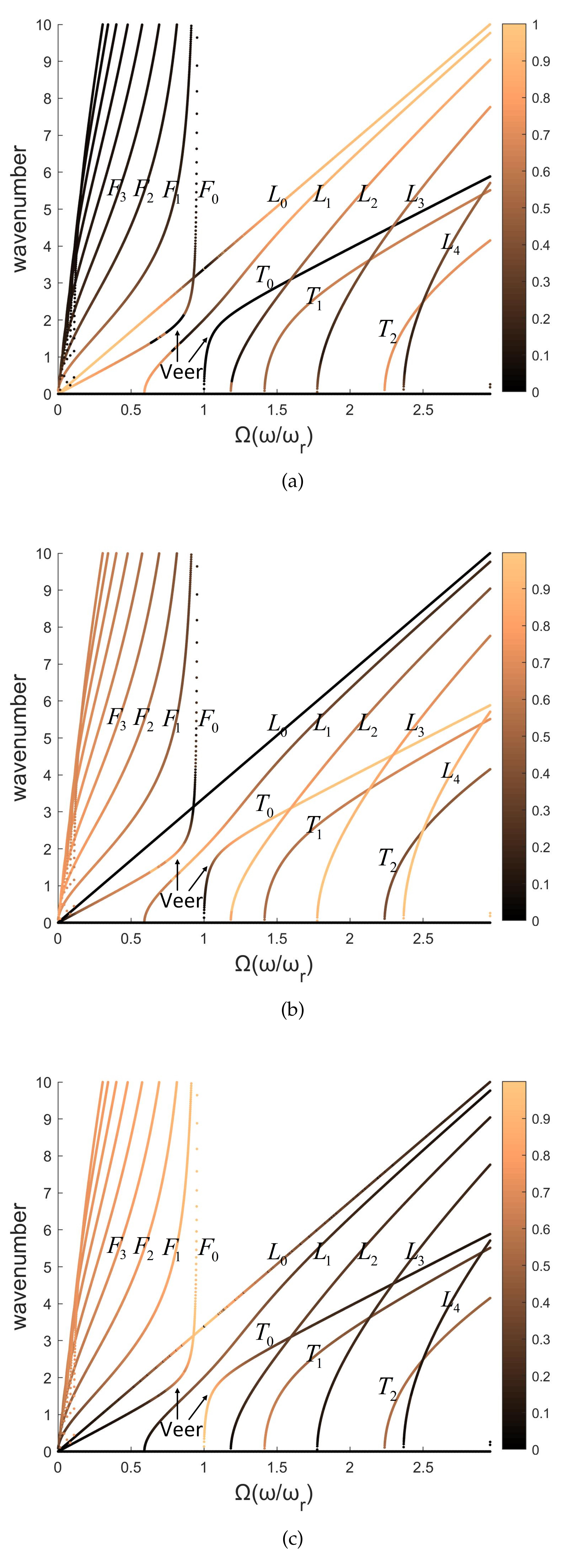
4.1. Dispersive Curves of Cylinder
4.2. Wave-Mode Conversion Induced by Local Damage of the Joint
5. Piezoelectric Transducers for Waves in Cylinders
5.1. Determining the Distribution of Electrodes
5.2. Determining the Axial Length and Working Frequency
5.3. Verification
6. Structural Health Monitoring of the Joint
7. Conclusions
- Wave-scattering of the coupling element is first calculated by WFEM. Results of forced response analysis of DMM are consistent with FEM in that the numerical error is less than one percent. A matrix was formed from the results of 39 incident and 39 transmitted waves, and it was found that the damaged joint (10/50% loss of elastic modulus in ) can induce slight/complicated wave-mode conversions. Longitudinal waves have a strong transmission ability and can convert almost all wave modes; flexural waves are reflected by the joint.
- Piezoelectric wave-mode transducers are then designed to detect wave modes in cylindrical waveguides. The distributed function, polarization direction, and circuit connection of transducers are designed to cancel the charge contributed from the non-targeting waves in the cylinder. This is based on orthogonality between wave-shapes. Simulation results show ten orders of magnitude difference in voltages between the targeting wave and other waves. It is demonstrated that the transducer only couples with the targeting wave.
- By implementing the actuator-joint-sensor structure, the , , , and sensors are employed to monitor the transmitted waves of the flange induced by the / actuator. is verified to have a strong transmission ability, and is almost reflected by the joint. After these two types of damage are introduced, wave-mode conversion between is detected, and the voltage comparison between the and sensors matches the result in Figure 25.
- All these numerical simulations demonstrate the promise of the designed wave-mode transducers for the SHM of joint structures. Future work includes experiments to verify the performance of transducers.
Author Contributions
Funding
Conflicts of Interest
Appendix A. Material properties of PZT-5H
References
- Peairs, D.M.; Park, G.; Inman, D.J. Practical issues of activating self-repairing bolted joints. Smart Mater. Struct. 2004, 13, 1414–1423. [Google Scholar] [CrossRef]
- Montalvao, D.; Maia, N.M.M.; Ribeiro, A.M.R. A Review on Vibration-Based Structural Health Monitoring With Special Emphasis on Composite Materials. Shock Vib. Digest. 2006, 38, 295–324. [Google Scholar] [CrossRef]
- Deraemaeker, A.; Worden, K.; Farrar, C.R.; Reynders, E.; de Roeck, G.; Kullaa, J.; Ostachowicz, W.; Kudela, P. New Trends in Vibration Based Structural Health Monitoring. Int. Centre Mech. Sci. 2010, 1–643. [Google Scholar] [CrossRef]
- Hamzeloo, S.R.; Shamshirsaz, M.; Rezaei, S.M. Damage detection on hollow cylinders by Electro-Mechanical Impedance method: Experiments and Finite Element Modeling. C. R. Mec. 2012, 340, 668–677. [Google Scholar] [CrossRef]
- Na, W.S.; Baek, J. A review of the piezoelectric electromechanical impedance based structural health monitoring technique for engineering structures. Sensors 2018, 18, 1307. [Google Scholar] [CrossRef]
- Farrar, C.R.; Mascarenas, D.L.; Park, G.; Farinholt, K.M.; Todd, M.D. A low-power wireless sensing device for remote inspection of bolted joints. Proc. Inst. Mech. Eng. Part G J. Aerosp. Eng. 2009, 223, 565–575. [Google Scholar] [CrossRef]
- Wei, F.; Pizhong, Q. Vibration-based Damage Identification Methods: A Review and Comparative Study. Struct. Health Monit. 2011, 10, 83–111. [Google Scholar] [CrossRef]
- Du, F.; Xu, C.; Wu, G.; Zhang, J. Preload monitoring of bolted L-shaped lap joints using virtual time reversal method. Sensors 2018, 18, 1928. [Google Scholar] [CrossRef]
- Nan Wu, G.; Xu, C.; Du, F.; dong Zhu, W. A modified time reversal method for guided wave detection of bolt loosening in simulated thermal protection system panels. Complexity 2018, 2018. [Google Scholar] [CrossRef]
- Rhee, I.; Choi, E.; Roh, Y.S. Guided wave propagation induced by piezoelectric actuator in bolted thin steel members. KSCE J. Civil Eng. 2012, 16, 398–406. [Google Scholar] [CrossRef]
- Lee, B.C.; Staszewski, W.J. Modelling of Lamb waves for damage detection in metallic structures: Part II. Wave interactions with damage. Smart Mater. Struct. 2003, 12, 815–824. [Google Scholar] [CrossRef]
- Fromme, P. On the Scattering and Mode Conversion of the A0 Lamb Wave Mode at Circular Defects in Plates. AIP Conf. Proc. 2004, 700, 142–149. [Google Scholar] [CrossRef]
- Willberg, C.; Duczek, S.; Vivar Perez, J.M.; Schmicker, D.; Gabbert, U. Comparison of different higher order finite element schemes for the simulation of Lamb waves. Comput. Methods Appl. Mech. Eng. 2012, 241–244, 246–261. [Google Scholar] [CrossRef]
- Li, F.; Sun, X.; Qiu, J.; Zhou, L.; Li, H.; Meng, G. Guided wave propagation in high-speed train axle and damage detection based on wave mode conversion. Struct. Control Health Monit. 2015, 22, 1133–1147. [Google Scholar] [CrossRef]
- Zhang, S.; Shen, R.; Dai, K.; Wang, L.; De Roeck, G.; Lombaert, G. A methodology for cable damage identification based on wave decomposition. J. Sound Vib. 2019, 442, 527–551. [Google Scholar] [CrossRef]
- Ichchou, M.N.; Mencik, J.M.; Zhou, W. Wave finite elements for low and mid-frequency description of coupled structures with damage. Comput. Methods Appl. Mech. Eng. 2009, 198, 1311–1326. [Google Scholar] [CrossRef]
- Huang, T.L.; Ichchou, M.N.; Bareille, O.A.; Collet, M.; Ouisse, M. Traveling wave control in thin-walled structures through shunted piezoelectric patches. Mech. Syst. Signal Process. 2013, 39, 59–79. [Google Scholar] [CrossRef]
- Gallezot, M.; Treyssède, F.; Laguerre, L. Numerical modelling of wave scattering by local inhomogeneities in elastic waveguides embedded into infinite media. J. Sound Vib. 2019, 443, 310–327. [Google Scholar] [CrossRef]
- Droz, C.; Bareille, O.; Ichchou, M.N. Generation of long-range, near-cut-on guided resonances in composite panels. J. Appl. Phys. 2019, 125. [Google Scholar] [CrossRef]
- Furusawa, A.; Kojima, F.; Morikawa, A. Mode control of guided wave in magnetic hollow cylinder using electromagnetic acoustic transducer array. Nucl. Eng. Technol. 2015, 47, 196–203. [Google Scholar] [CrossRef]
- Kharrat, M.; Ichchou, M.N.; Bareille, O.; Zhou, W. Pipeline inspection using a torsional guided-waves inspection system. Part 2: Defect sizing by the wave finite element method. Int. J. Appl. Mech. 2014, 6. [Google Scholar] [CrossRef]
- Yao, X.Y.; Wang, J.J.; Zhai, X. Modeling method of bolted joints of aero-engine based on thin-layer element. J. Beijing Univ. Aeronant. Astronant. 2015, 41, 2269–2279. [Google Scholar] [CrossRef]
- Koreck, J.; Valle, C.; Qu, J.; Jacobs, L.J. Computational characterization of adhesive layer properties using guided waves in bonded plates. J. Nondestruct. Eval. 2007, 26, 97–105. [Google Scholar] [CrossRef]
- Willberg, C.; Duczek, S.; Vivar-Perez, J.M.; Ahmad, Z.A.B. Simulation Methods for Guided Wave-Based Structural Health Monitoring: A Review. Appl. Mech. Rev. 2015, 67, 010803. [Google Scholar] [CrossRef]
- Fan, Y.; Zhou, C.W.; Laine, J.P.; Ichchou, M.; Li, L. Model reduction schemes for the wave and finite element method using the free modes of a unit cell. Comput. Struct. 2018, 197, 42–57. [Google Scholar] [CrossRef]
- Fan, Y.; Collet, M.; Ichchou, M.; Li, L.; Bareille, O.; Dimitrijevic, Z. Enhanced wave and finite element method for wave propagation and forced response prediction in periodic piezoelectric structures. Chin. J. Aeronaut. 2017, 30, 75–87. [Google Scholar] [CrossRef]
- Fan, Y.; Collet, M.; Ichchou, M.; Li, L.; Bareille, O.; Dimitrijevic, Z. Energy flow prediction in built-up structures through a hybrid finite element/wave and finite element approach. Mech. Syst. Signal Process. 2016, 66–67, 137–158. [Google Scholar] [CrossRef]
- Zhou, C.W.; Lainé, J.P.; Ichchou, M.N.; Zine, A.M. Numerical and experimental investigation on broadband wave propagation features in perforated plates. Mech. Syst. Signal Process. 2016, 75, 556–575. [Google Scholar] [CrossRef]
- Li, L.; Jiang, Z.; Fan, Y.; Li, J. Creating the Coupled Band Gaps in Piezoelectric Composite Plates by Interconnected Electric Impedance. Materials 2018, 11, 1656. [Google Scholar] [CrossRef]
- Wilcox, C.H. Theory of Bloch waves. Journal Analyse Mathématique 1978, 33, 146–167. [Google Scholar] [CrossRef]
- Mencik, J.M.; Ichchou, M. Multi-mode propagation and diffusion in structures through finite elements. Eur. J. Mech. A/Solids 2005, 24, 877–898. [Google Scholar] [CrossRef]
- Nilsson, A.; Liu, B. Vibro-Acoustics; Springer: Berlin/Heidelberg, Germany, 2015. [Google Scholar] [CrossRef]
- Qin, Z.; Pang, X.; Safaei, B.; Chu, F. Free vibration analysis of rotating functionally graded CNT reinforced composite cylindrical shells with arbitrary boundary conditions. Compos. Struct. 2019, 220, 847–860. [Google Scholar] [CrossRef]
- Waki, Y.; Mace, B.R. On the Application of Finite Element Analysis to Wave Motion in One-Dimensional Waveguides. Ph.D. Thesis, University of Southampton, Southampton, UK, 2007. [Google Scholar]
- Mitra, M.; Gopalakrishnan, S. Guided wave based structural health monitoring: A review. Smart Mater. Struct. 2016, 25. [Google Scholar] [CrossRef]
- Waki, Y.; Mace, B.R.; Brennan, M.J. Numerical issues concerning the wave and finite element method for free and forced vibrations of waveguides. J. Sound Vib. 2009, 327, 92–108. [Google Scholar] [CrossRef]
- Qin, Z.; Chu, F.; Zu, J. Free vibrations of cylindrical shells with arbitrary boundary conditions: A comparison study. Int. J. Mech. Sci. 2017, 133, 91–99. [Google Scholar] [CrossRef]



























| Wave Mode | |||
|---|---|---|---|
| working frequency | 132.000 kHz | 89.750 kHz | 119.700 kHz |
| Wave Mode | |||||
|---|---|---|---|---|---|
| Axial Length | |||||
| 0.1 m | 26.54 kHz | 17.90 kHz | 1.47 kHz | 1.43 kHz | |
| 0.2 m | 12.5 kHz | 7.95 kHz | 1.13 kHz | 1.36 kHz | |
| Sensor | Sensor | Sensor | Sensor | |
|---|---|---|---|---|
| actuator | ||||
| actuator | ||||
| actuator | ||||
| actuator |
| Sensor | Sensor | Sensor | Sensor | |
|---|---|---|---|---|
| actuator | ||||
| actuator | ||||
| actuator | ||||
| actuator |
© 2020 by the authors. Licensee MDPI, Basel, Switzerland. This article is an open access article distributed under the terms and conditions of the Creative Commons Attribution (CC BY) license (http://creativecommons.org/licenses/by/4.0/).
Share and Cite
Wang, W.; Li, L.; Fan, Y.; Jiang, Z. Piezoelectric Transducers for Structural Health Monitoring of Joint Structures in Cylinders: A Wave-Based Design Approach. Sensors 2020, 20, 601. https://doi.org/10.3390/s20030601
Wang W, Li L, Fan Y, Jiang Z. Piezoelectric Transducers for Structural Health Monitoring of Joint Structures in Cylinders: A Wave-Based Design Approach. Sensors. 2020; 20(3):601. https://doi.org/10.3390/s20030601
Chicago/Turabian StyleWang, Wenjun, Lin Li, Yu Fan, and Zhou Jiang. 2020. "Piezoelectric Transducers for Structural Health Monitoring of Joint Structures in Cylinders: A Wave-Based Design Approach" Sensors 20, no. 3: 601. https://doi.org/10.3390/s20030601
APA StyleWang, W., Li, L., Fan, Y., & Jiang, Z. (2020). Piezoelectric Transducers for Structural Health Monitoring of Joint Structures in Cylinders: A Wave-Based Design Approach. Sensors, 20(3), 601. https://doi.org/10.3390/s20030601

