Discrimination Improvement of a Gas Sensors’ Array Using High-Frequency Quartz Crystal Microbalance Coated with Polymeric Films
Abstract
1. Introduction
2. Theory
QCM Sensors, 12 MHz vs. 30 MHz
3. Experimental
3.1. Materials
3.2. QCM Sensor
3.3. QCM Sensor Response Measurement
4. Results and Discussions
4.1. Atomic Force Microscopy (AFM) Images of the Sensing Films
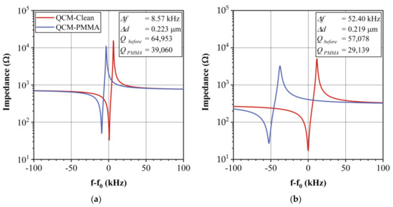
4.2. Impedance Curves
4.3. Comparison of Thickness and Sensitivity for 12-MHz vs. 30-MHz QCMs
4.4. Sensitivity of 12-MHz vs. 30-MHz QCM Sensors
4.5. Classification of VOCs by PCA and DA
4.6. Partition Coefficient PCA and DA Results
5. Conclusions
Author Contributions
Funding
Acknowledgments
Conflicts of Interest
References
- WHO. WHO guidelines for air quality. Indian Pediatr. 1998, 35, 812–815. [Google Scholar]
- Hasan, N.H.; Said, M.R. Leman Health Effect from Volatile Organic Compounds and Useful Tools for Future Prevention: A Review. Int. J.Environmental Eng. Sci. Techn. Res. 2013, 1, 28–36. [Google Scholar]
- Scheepers, P.T.J.; Van Wel, L.; Beckmann, G.; Anzion, R.B.M. Chemical characterization of the indoor air quality of a university hospital: Penetration of outdoor air pollutants. Int. J. Environ. Res. Public Health 2017, 14. [Google Scholar] [CrossRef] [PubMed]
- Khot, L.R.; Panigrahi, S.; Lin, D. Development and evaluation of piezoelectric-polymer thin film sensors for low concentration detection of volatile organic compounds related to food safety applications. Sens. Actuators B Chem. 2011, 153, 1–10. [Google Scholar] [CrossRef]
- Loutfi, A.; Coradeschi, S.; Mani, G.K.; Shankar, P.; Rayappan, J.B.B. Electronic noses for food quality: A review. J. Food Eng. 2015, 144, 103–111. [Google Scholar] [CrossRef]
- Montmeat, P.; Veignal, F.; Methivier, C.; Pradier, C.M.; Hairault, L. Study of calixarenes thin films as chemical sensors for the detection of explosives. Appl. Surf. Sci. 2014, 292, 137–141. [Google Scholar] [CrossRef]
- Bagheri, M.; Masoomi, M.Y.; Morsali, A. Highly sensitive and selective ratiometric fluorescent metal–organic framework sensor to nitroaniline in presence of nitroaromatic compounds and VOCs. Sens. Actuators B Chem. 2017, 243, 353–360. [Google Scholar] [CrossRef]
- De Lacy Costello, B.; Amann, A.; Al-Kateb, H.; Flynn, C.; Filipiak, W.; Khalid, T.; Osborne, D.; Ratcliffe, N.M. A review of the volatiles from the healthy human body. J. Breath Res. 2014, 8. [Google Scholar] [CrossRef]
- Tripathi, K.M.; Kim, T.Y.; Losic, D.; Tung, T.T. Recent advances in engineered graphene and composites for detection of volatile organic compounds (VOCs) and non-invasive diseases diagnosis. Carbon N. Y. 2016, 110, 97–129. [Google Scholar] [CrossRef]
- Röck, F.; Barsan, N.; Weimar, U. Electronic nose: Current status and future trends. Chem. Rev. 2008, 108, 705–725. [Google Scholar] [CrossRef]
- Feng, S.; Farha, F.; Li, Q.; Wan, Y.; Xu, Y.; Zhang, T.; Ning, H. Review on Smart Gas Sensing Technology. Sensors 2019, 19, 3760. [Google Scholar] [CrossRef] [PubMed]
- Azzouz, A.; Kumar, V.; Kim, K.H.; Ballesteros, E.; Rhadfi, T.; Malik, A.K. Advances in colorimetric and optical sensing for gaseous volatile organic compounds. Trends Anal. Chem. 2019, 118, 502–516. [Google Scholar] [CrossRef]
- Sánchez-Sosa, J.E.; Castillo-Mixcóatl, J.; Beltrán-Pérez, G.; Muñoz-Aguirre, S. An application of the Gaussian plume model to localization of an indoor gas source with a mobile robot. Sensors 2018, 18. [Google Scholar] [CrossRef] [PubMed]
- Fu, Y.; Finklea, H.O. Quartz Crystal Microbalance Sensor for Organic Vapor Detection Based on Molecularly Imprinted Polymers. Anal. Chem. 2003, 75, 5387–5393. [Google Scholar] [CrossRef] [PubMed]
- Alassi, A.; Benammar, M.; Brett, D. Quartz crystal microbalance electronic interfacing systems: A review. Sensors 2017, 17. [Google Scholar] [CrossRef] [PubMed]
- Temel, F.; Ozcelik, E.; Ture, A.G.; Tabakci, M. Sensing abilities of functionalized calix [4]arene coated QCM sensors towards volatile organic compounds in aqueous media. Appl. Surf. Sci. 2017, 412, 238–251. [Google Scholar] [CrossRef]
- Osorio-Arrieta, D.L.; Muñoz-Mata, J.L.; Beltrán-Pérez, G.; Castillo-Mixcóatl, J.; Mendoza-Barrera, C.O.; Altuzar-Aguilar, V.; Muñoz-Aguirre, S. Reduction of the measurement time by the prediction of the steady-state response for quartz crystal microbalance gas sensors. Sensors 2018, 18. [Google Scholar] [CrossRef]
- Barbosa, A.J.M.; Oliveira, A.R.; Roque, A.C.A. Protein- and Peptide-Based Biosensors in Artificial Olfaction. Trends Biotechnol. 2018, 36, 1244–1258. [Google Scholar] [CrossRef]
- Khadka, R.; Aydemir, N.; Carraher, C.; Hamiaux, C.; Colbert, D.; Cheema, J.; Malmström, J.; Kralicek, A.; Travas-Sejdic, J. An ultrasensitive electrochemical impedance-based biosensor using insect odorant receptors to detect odorants. Biosens. Bioelectron. 2019, 126, 207–213. [Google Scholar] [CrossRef]
- Sun, P.; Jiang, Y.; Xie, G.; Du, X.; Hu, J. A room temperature supramolecular-based quartz crystal microbalance (QCM) methane gas sensor. Sens. Actuators B Chem. 2009, 141, 104–108. [Google Scholar] [CrossRef]
- Pascal-Delannoy, F.; Sorli, B.; Boyer, A. Quartz Crystal Microbalance (QCM) used as humidity sensor. Sens. Actuators A Phys. 2000, 84, 285–291. [Google Scholar] [CrossRef]
- Mahmood, H.; Mohammed, H.; Shinen, H. Study the Sensitivity of Quartz Crystal Microbalance (QCM) Sensor Coated with Different Thickness of Polyaniline for Determination Vapours of Ethanol, Propanol, Hexane and Benzene. Chem. Mater. Res. 2013, 3, 61–65. [Google Scholar]
- Han, D.S.; Kurosawa, S.; Aizawa, H.; Yoshimoto, M.; Park, J.Y.; Chang, S.M. Study to increase the sensitivity of QCM gas-sensor coated with plasma polymerization film. Mol. Cryst. Liq. Cryst. Sci. Technol. Sect. A Mol. Cryst. Liq. Cryst. 2001, 371, 411–414. [Google Scholar] [CrossRef]
- Sauerbrey, G. Verwendung von Schwingquarzen zur Wägung dünner Schichten und zur Mikrowägung. Zeitschrift für Phys. 1959, 155, 206–222. [Google Scholar] [CrossRef]
- Nakamoto, T.; Suzuki, Y.; Moriizumi, T. Study of VHF-band QCM gas sensor. Sens. Actuators B Chem. 2002, 84, 98–105. [Google Scholar] [CrossRef]
- Bodenhöfer, K.; Hierlemann, A.; Noetzel, G.; Weimar, U.; Göpel, W. Performances of mass-sensitive devices for gas sensing: Thickness shear mode and surface acoustic wave transducers. Anal. Chem. 1996, 68, 2210–2218. [Google Scholar] [CrossRef]
- Huang, X.; Bai, Q.; Hu, J.; Hou, D. A practical model of quartz crystal microbalance in actual applications. Sensors 2017, 17, 1785. [Google Scholar] [CrossRef]
- Joseph, A.; Emadi, A. A High Frequency Dual Inverted Mesa QCM Sensor Array with Concentric Electrodes. IEEE Access 2020, 8, 92669–92676. [Google Scholar] [CrossRef]
- Kurosawa, S.; Han, D.S.; Park, J.W.; Aizawa, H.; Yoshimoto, M.; Nakamura, C.; Miyake, J.; Chang, S.M. Gas sensor using high-frequency quartz crystal microbalance. In Proceedings of the Annual IEEE International Frequency Control Symposium & PDA Exhibition, Washington, DC, USA, 6–8 June 2001; pp. 462–464. [Google Scholar]
- Lezzar, O.C.; Bellel, A.; Boutamine, M.; Sahli, S.; Segui, Y.; Raynaud, P. Thin film coated QCM-sensors and pattern recognition methods for discrimination of VOCs. Int. J. Smart Sens. Intell. Syst. 2014, 7. [Google Scholar] [CrossRef]
- March, C.; García, J.V.; Sánchez, Á.; Arnau, A.; Jiménez, Y.; García, P.; Manclús, J.J.; Montoya, Á. High-frequency phase shift measurement greatly enhances the sensitivity of QCM immunosensors. Biosens. Bioelectron. 2015, 65, 1–8. [Google Scholar] [CrossRef]
- Vaughan, S.R.; Speller, N.C.; Chhotaray, P.; McCarter, K.S.; Siraj, N.; Pérez, R.L.; Li, Y.; Warner, I.M. Class specific discrimination of volatile organic compounds using a quartz crystal microbalance based multisensor array. Talanta 2018, 188, 423–428. [Google Scholar] [CrossRef] [PubMed]
- Speller, N.C.; Siraj, N.; Vaughan, S.; Speller, L.N.; Warner, I.M. QCM virtual multisensor array for fuel discrimination and detection of gasoline adulteration. Fuel 2017, 199, 38–46. [Google Scholar] [CrossRef]
- Muñoz-Aguirre, S.; Yoshino, A.; Nakamoto, T.; Moriizumi, T. Odor approximation of fruit flavors using a QCM odor sensing system. Sens. Actuators B Chem. 2007, 123, 1101–1106. [Google Scholar] [CrossRef]
- Muñoz-Aguirre, S.; López-Casique, A.; Alcántara-Iniesta, S.; Castillo-Mixcóatl, J.; Beltrán-Pérez, G.; Muñoz-Aguirre, N. High-Resolution Gas/Odor Sensors Using High-Frequency Quartz Crystal Microbalance. Sens. Mater. 2014, 26, 131–136. [Google Scholar]
- Montero-Montoya, R.; López-Vargas, R.; Arellano-Aguilar, O. Volatile organic compounds in air: Sources, distribution, exposure and associated illnesses in children. Ann. Glob. Heal. 2018, 84, 225–238. [Google Scholar] [CrossRef]
- Grate, J.W.; Snow, A.; Ballantine, D.S.; Wohltjen, H.; Abraham, M.H.; Mcgill, R.A.; Sasson, P. Determination of Partition Coefficients from Surface Acoustic Wave Vapor Sensor Responses and Correlation with Gas—Liquid Chromatographic Partition Coefficients. Anal. Chem. 1988, 60, 869–875. [Google Scholar] [CrossRef]
- Matsuno, G. Sensitivity and Response Time of a Quartz Crystal Microbalance Gas Sensor. Sens. Mater. 1999, 11, 401–412. [Google Scholar]
- Nakamura, K.; Nakamoto, T.; Moriizumi, T. Classification and evaluation of sensing films for QCM odor sensors by steady-state sensor response measurement. Sens. Actuators B Chem. 2000, 69, 295–301. [Google Scholar] [CrossRef]
- Huang, X.H.; Pan, W.; Hu, J.G.; Bai, Q.S. The Exploration and Confirmation of the Maximum Mass Sensitivity of Quartz Crystal Microbalance. IEEE Trans. Ultrason. Ferroelectr. Freq. Control 2018, 65, 1888–1892. [Google Scholar] [CrossRef]
- Muñoz-Aguirre, S.; Muñoz-Mata, J.L.; Castillo-Mixcóatl, J.; Beltrán-Pérez, G. Medidor de Frecuencia de Alto Rendimiento. Mexican Patent 359609, 27 August 2018. [Google Scholar]
- Muñoz-Mata, J.L.; Muñoz-Aguirre, S.; González-Santos, H.; Beltrán-Pérez, G.; Castillo-Mixcóatl, J. Development and implementation of a system to measure the response of quartz crystal resonator based gas sensors using a field-programmable gate array. Meas. Sci. Technol. 2012, 23. [Google Scholar] [CrossRef]
- Syritski, V.; Reut, J.; Opik, A.; Idla, K. Environmental QCM sensors coated with polypyrrole. Synth. Met. 1999, 102, 1326–1327. [Google Scholar] [CrossRef]
- Mirmohseni, A.; Rostamizadeh, K. Quartz crystal nanobalance in conjunction with principal component analysis for identification of volatile organic compounds. Sensors 2006, 6, 324–334. [Google Scholar] [CrossRef]
- Kimura, M.; Liu, Y.; Sakai, R.; Sato, S.; Hirai, T.; Fukawa, T.; Mihara, T. Detection of Volatile Organic Compounds by Analyses of Polymer-Coated Quartz Crystal Microbalance Sensor Arrays. Sens. Mater. 2011, 23, 359–368. [Google Scholar]
- Hansen, C.M. Hansen Solubility Parameters: A User’s Handbook, 2nd ed.; CRC Press: Boca Raton, FL, USA, 2007; ISBN 9781420006834. [Google Scholar]
- Wolf, W.R.; Sievers, R.E.; Brown, G.H. Vapor Pressure Measurements and Gas Chromatographic Studies of the Solution Thermodynamics of Metal β-Diketonates. Inorg. Chem. 1972, 11, 1995–2002. [Google Scholar] [CrossRef]










| Sensing Film | 12 MHz | 30 MHz | ||||||
|---|---|---|---|---|---|---|---|---|
(%) | (Ω) | (Ω) | (%) | (Ω) | (Ω) | |||
| EC | 92,369 | 13 | 22 | 2 | 59,033 | 23 | 15 | 7 |
| PMMA | 64,953 | 40 | 29 | 18 | 57,078 | 49 | 17 | 9 |
| ApL | 64,471 | 4 | 31 | 0.68 | 23,609 | 39 | 42 | 12 |
| ApT | 64,953 | 46 | 31 | 23 | 170,615 | 77 | 6 | 23 |
| Sensing Film | (g/cm3) | (µm) | (Hz) | (Hz) | Experimental |
|---|---|---|---|---|---|
| EC | 1.14 | 0.218 | 8100 | 50,591 | 6.246 |
| PMMA | 1.18 | 0.223 | 8570 | 53,474 | 6.240 |
| ApL | 0.896 | 0.188 | 5490 | 34,296 | 6.247 |
| ApT | 0.912 | 0.200 | 5950 | 37,132 | 6.241 |
Publisher’s Note: MDPI stays neutral with regard to jurisdictional claims in published maps and institutional affiliations. |
© 2020 by the authors. Licensee MDPI, Basel, Switzerland. This article is an open access article distributed under the terms and conditions of the Creative Commons Attribution (CC BY) license (http://creativecommons.org/licenses/by/4.0/).
Share and Cite
Rodríguez-Torres, M.; Altuzar, V.; Mendoza-Barrera, C.; Beltrán-Pérez, G.; Castillo-Mixcóatl, J.; Muñoz-Aguirre, S. Discrimination Improvement of a Gas Sensors’ Array Using High-Frequency Quartz Crystal Microbalance Coated with Polymeric Films. Sensors 2020, 20, 6972. https://doi.org/10.3390/s20236972
Rodríguez-Torres M, Altuzar V, Mendoza-Barrera C, Beltrán-Pérez G, Castillo-Mixcóatl J, Muñoz-Aguirre S. Discrimination Improvement of a Gas Sensors’ Array Using High-Frequency Quartz Crystal Microbalance Coated with Polymeric Films. Sensors. 2020; 20(23):6972. https://doi.org/10.3390/s20236972
Chicago/Turabian StyleRodríguez-Torres, Marcos, Víctor Altuzar, Claudia Mendoza-Barrera, Georgina Beltrán-Pérez, Juan Castillo-Mixcóatl, and Severino Muñoz-Aguirre. 2020. "Discrimination Improvement of a Gas Sensors’ Array Using High-Frequency Quartz Crystal Microbalance Coated with Polymeric Films" Sensors 20, no. 23: 6972. https://doi.org/10.3390/s20236972
APA StyleRodríguez-Torres, M., Altuzar, V., Mendoza-Barrera, C., Beltrán-Pérez, G., Castillo-Mixcóatl, J., & Muñoz-Aguirre, S. (2020). Discrimination Improvement of a Gas Sensors’ Array Using High-Frequency Quartz Crystal Microbalance Coated with Polymeric Films. Sensors, 20(23), 6972. https://doi.org/10.3390/s20236972

