Characteristics of a Hybrid Detector Combined with a Perovskite Active Layer for Indirect X-ray Detection
Abstract
1. Introduction
2. Experimental Preparations
2.1. Synthesis of MAPbI3 Precursor Solution
2.2. Devices Fabrication
2.3. Experimental Set-Up
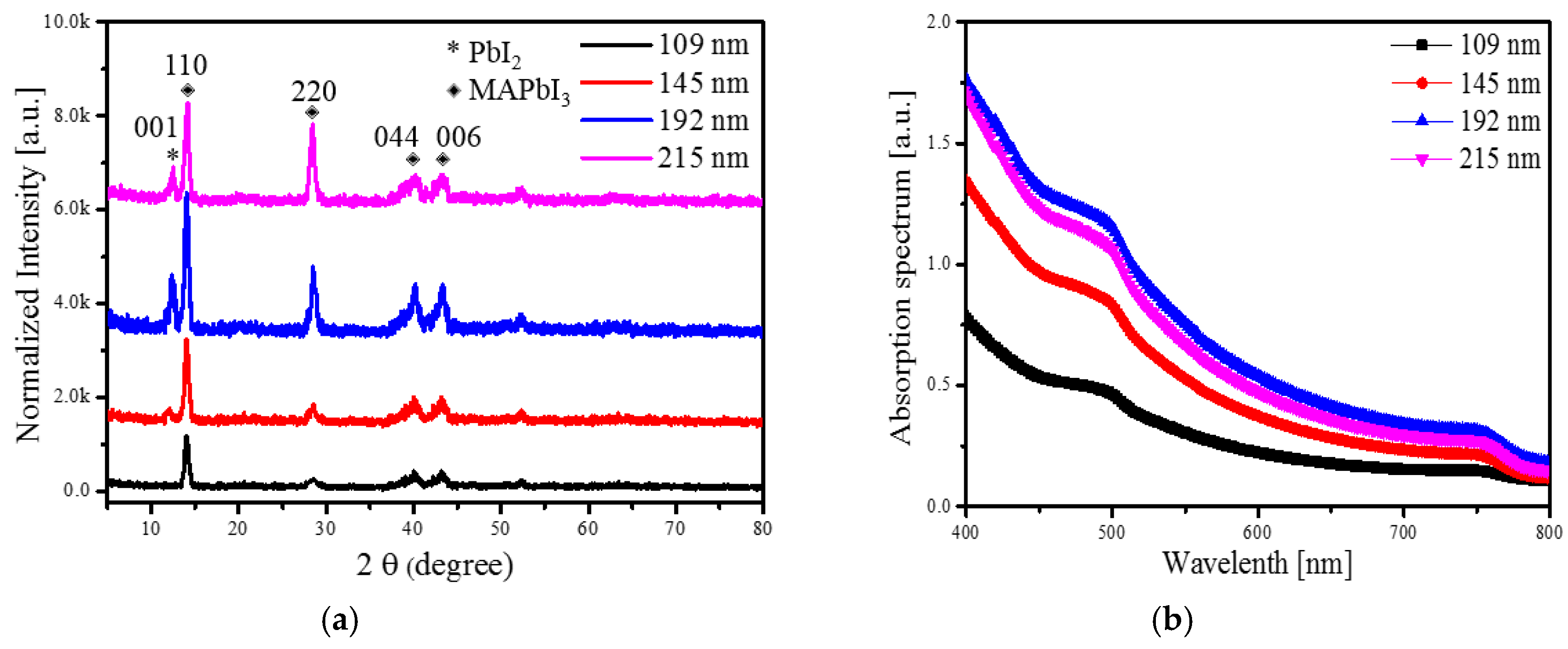
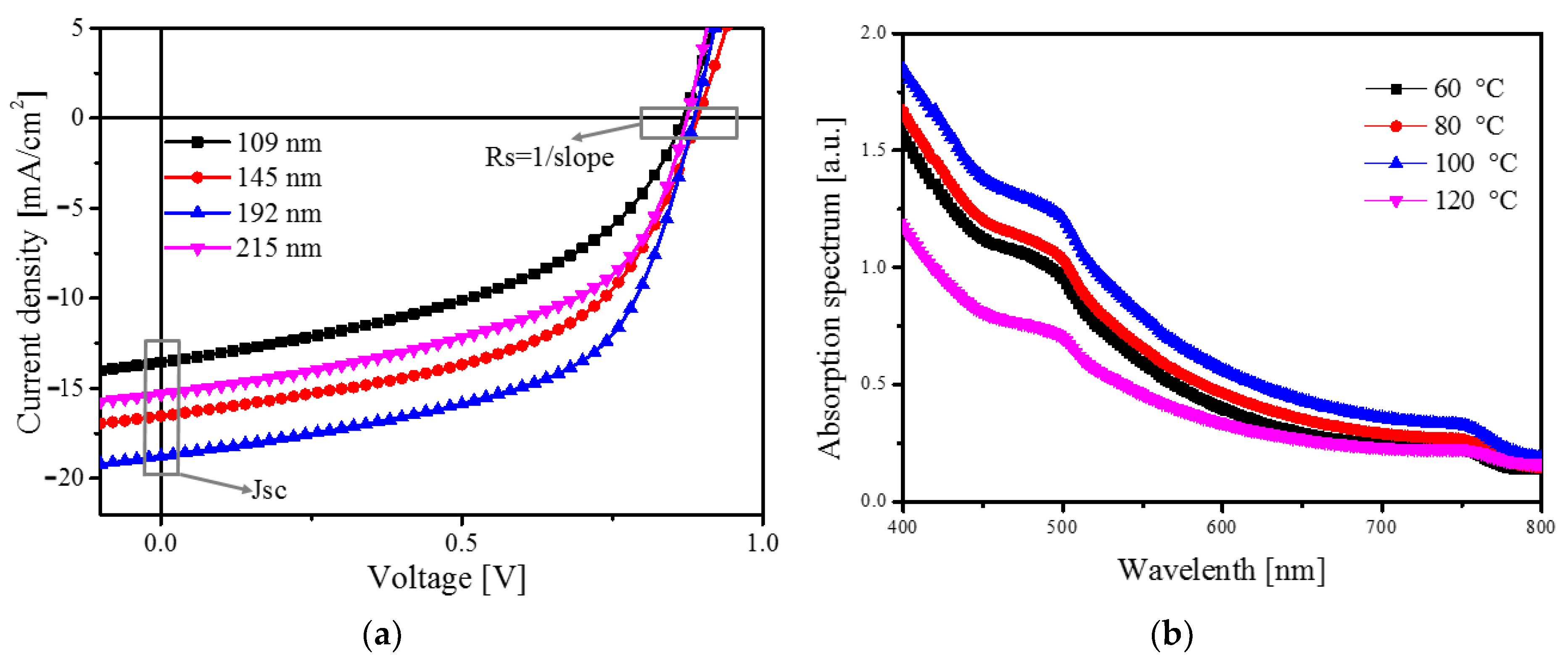
3. Results and Discussion
4. Conclusions
Supplementary Materials
Author Contributions
Funding
Conflicts of Interest
References
- Eames, C.; Frost, J.M.; Barnes, P.R.; O’regan, B.C.; Walsh, A.; Islam, M.S. Ionic transport in hybrid lead iodide perovskite solar cells. Nat. Commun. 2015, 6, 7497. [Google Scholar] [CrossRef]
- Roose, B.; Wang, Q.; Abate, A. The role of charge selective contacts in perovskite solar cell stability. Adv. Energy Mater. 2019, 9, 1803140. [Google Scholar] [CrossRef]
- Dou, L.; Yang, Y.M.; You, J.; Hong, Z.; Chang, W.H.; Li, G.; Yang, Y. Solution-processed hybrid perovskite photodetectors with high detectivity. Nat. Commun. 2014, 5, 5404. [Google Scholar] [CrossRef] [PubMed]
- Chen, L.C.; Lee, K.L.; Lee, K.Y.; Huang, Y.W.; Lin, R.M. Study of Metal–Semiconductor–Metal CH3NH3PbBr3 Perovskite Photodetectors Prepared by Inverse Temperature Crystallization Method. Sensors 2020, 20, 297. [Google Scholar] [CrossRef] [PubMed]
- Lin, K.; Xing, J.; Quan, L.N.; de Arquer, F.P.G.; Gong, X.; Lu, J.; Li, W. Perovskite light-emitting diodes with external quantum efficiency exceeding 20 percent. Nature 2018, 562, 245–248. [Google Scholar] [CrossRef] [PubMed]
- Lee, S.Y.; Kim, S.H.; Nam, Y.S.; Yu, J.C.; Lee, S.; Kim, D.B.; Jung, E.D.; Woo, J.H.; Ahn, S.; Lee, S.; et al. Flexibility of semitransparent perovskite light-emitting diodes investigated by tensile properties of the perovskite layer. Nano Lett. 2019, 19, 971–976. [Google Scholar] [CrossRef] [PubMed]
- Yu, W.; Li, F.; Yu, L.; Niazi, M.R.; Zou, Y.; Corzo, D.; Buttner, U. Single crystal hybrid perovskite field-effect transistors. Nat. Commun. 2018, 9, 1–10. [Google Scholar] [CrossRef]
- Chin, X.Y.; Cortecchia, D.; Yin, J.; Bruno, A.; Soci, C. Lead iodide perovskite light-emitting field-effect transistor. Nat. Commun. 2015, 6, 7383. [Google Scholar] [CrossRef]
- Choi, H.; Mai, C.K.; Kim, H.B.; Jeong, J.; Song, S.; Bazan, G.C.; Heeger, A.J. Conjugated polyelectrolyte hole transport layer for inverted-type perovskite solar cells. Nat. Commun. 2015, 6, 7348. [Google Scholar] [CrossRef]
- Wang, D.L.; Cui, H.J.; Hou, G.J.; Zhu, Z.G.; Yan, Q.B.; Su, G. Highly efficient light management for perovskite solar cells. Sci. Rep. 2016, 6, 18922. [Google Scholar] [CrossRef]
- Ning, W.; Wang, F.; Wu, B.; Lu, J.; Yan, Z.; Liu, X.; Hultman, L. Long Electron—Hole Diffusion Length in High-Quality Lead-Free Double Perovskite Films. Adv. Mater. 2018, 30, 1706246. [Google Scholar] [CrossRef] [PubMed]
- Oga, H.; Saeki, A.; Ogomi, Y.; Hayase, S.; Seki, S. Improved understanding of the electronic and energetic landscapes of perovskite solar cells: High local charge carrier mobility, reduced recombination, and extremely shallow traps. J. Am. Chem. Soc. 2014, 136, 13818–13825. [Google Scholar] [CrossRef] [PubMed]
- Zhang, F.; Wang, Z.; Zhu, H.; Pellet, N.; Luo, J.; Yi, C.; Liu, X.; Liu, H.; Wang, S.; Li, X.; et al. Over 20% PCE perovskite solar cells with superior stability achieved by novel and low-cost hole-transporting materials. Nano Energy 2017, 41, 469–475. [Google Scholar] [CrossRef]
- Yang, D.; Sano, T.; Yaguchi, Y.; Sun, H.; Sasabe, H.; Kido, J. Achieving 20% Efficiency for Low-Temperature-Processed Inverted Perovskite Solar Cells. Adv. Funct. Mater. 2019, 29, 1807556. [Google Scholar] [CrossRef]
- Tsai, H.; Liu, F.; Shrestha, S.; Fernando, K.; Tretiak, S.; Scott, B.; Vo, D.T.; Strzalka, J.; Nie, W. A sensitive and robust thin-film x-ray detector using 2D layered perovskite diodes. Sci. Adv. 2020, 6, eaay0815. [Google Scholar] [CrossRef]
- Thirimanne, H.M.; Jayawardena, K.D.G.I.; Parnell, A.J.; Bandara, R.M.I.; Karalasingam, A.; Pani, S.; Huerdler, J.E.; Lidzey, D.G.; Tedde, S.F.; Nisbet, A.; et al. High sensitivity organic inorganic hybrid X-ray detectors with direct transduction and broadband response. Nat. Commun. 2018, 9, 1–10. [Google Scholar] [CrossRef]
- Gill, H.S.; Elshahat, B.; Kokil, A.; Li, L.; Mosurkal, R.; Zygmanski, P.; Sajo, E.; Kumar, J. Flexible perovskite based X-ray detectors for dose monitoring in medical imaging applications. Phys. Med. 2018, 5, 20–23. [Google Scholar] [CrossRef]
- Wei, H.; Huang, J. Halide lead perovskites for ionizing radiation detection. Nat. Commun. 2019, 10, 1066. [Google Scholar] [CrossRef]
- Yakunin, S.; Sytnyk, M.; Kriegner, D.; Shrestha, S.; Richter, M.; Matt, G.J.; Heiss, W. Detection of X-ray photons by solution-processed lead halide perovskites. Nat. Photonics 2015, 9, 444–449. [Google Scholar] [CrossRef]
- Shrestha, S.; Fischer, R.; Matt, G.J.; Feldner, P.; Michel, T.; Osvet, A.; Tedde, S.F. High-performance direct conversion X-ray detectors based on sintered hybrid lead triiodide perovskite wafers. Nat. Photonics 2017, 11, 436–440. [Google Scholar] [CrossRef]
- Salim, T.; Sun, S.; Abe, Y.; Krishna, A.; Grimsdale, A.C.; Lam, Y.M. Perovskite-based solar cells: Impact of morphology and device architecture on device performance. J. Mater. Chem. A 2015, 3, 8943–8969. [Google Scholar] [CrossRef]
- Li, Y.; Ji, L.; Liu, R.; Zhang, C.; Mak, C.H.; Zou, X.; Shen, H.H.; Leu, S.Y.; Hsu, H.Y. A review on morphology engineering for highly efficient and stable hybrid perovskite solar cells. J. Mater. Chem. A 2018, 6, 12842–12875. [Google Scholar] [CrossRef]
- Wu, J.; Zhang, W.; Wang, Q.; Liu, S.; Du, J.; Mei, A.; Rong, Y.; Hu, Y.; Han, H. A favored crystal orientation for efficient printable mesoscopic perovskite solar cells. J. Mater. Chem. A 2020, 8, 11148–11154. [Google Scholar] [CrossRef]
- Muscarella, L.A.; Hutter, E.M.; Sanchez, S.; Dieleman, C.D.; Savenije, T.J.; Hagfeldt, A.; Saliba, M.; Ehrler, B. Crystal orientation and grain size: Do they determine optoelectronic properties of MAPbI3 perovskite? J. Phys. Chem. Lett. 2019, 10, 6010–6018. [Google Scholar] [CrossRef] [PubMed]
- Motta, C.; El-Mellouhi, F.; Kais, S.; Tabet, N.; Alharbi, F.; Sanvito, S. Revealing the role of organic cations in hybrid halide perovskite CH3NH3PbI3. Nat. Commun. 2015, 6, 7026. [Google Scholar] [CrossRef] [PubMed]
- Dualeh, A.; Tétreault, N.; Moehl, T.; Gao, P.; Nazeeruddin, M.K.; Grätzel, M. Effect of annealing temperature on film morphology of organic–inorganic hybrid pervoskite solid-state solar cells. Adv. Funct. Mater. 2014, 24, 3250–3258. [Google Scholar] [CrossRef]
- Tsai, H.; Asadpour, R.; Blancon, J.C.; Stoumpos, C.C.; Even, J.; Ajayan, P.M.; Kanatzidis, M.G.; Alam, M.A.; Mohite, A.D.; Nie, W. Design principles for electronic charge transport in solution-processed vertically stacked 2D perovskite quantum wells. Nat. Commun. 2018, 9, 1–9. [Google Scholar] [CrossRef]
- Ahn, S.; Jang, W.; Park, S.; Wang, D.H. Dry-Stamping-Transferred PC71BM Charge Transport Layer via an Interface-Controlled Polyurethane Acrylate Mold Film for Efficient Planar-Type Perovskite Solar Cells. ACS Appl. Mater. Interfaces 2017, 9, 15623–15630. [Google Scholar] [CrossRef]
- Wei, J.; Xu, R.P.; Li, Y.Q.; Li, C.; Chen, J.D.; Zhao, X.D.; Tang, J.X. Enhanced light harvesting in perovskite solar cells by a bioinspired nanostructured back electrode. Adv. Energy Mater. 2017, 7, 1700492. [Google Scholar] [CrossRef]
- Wolff, C.M.; Caprioglio, P.; Stolterfoht, M.; Neher, D. Nonradiative Recombination in Perovskite Solar Cells: The Role of Interfaces. Adv. Mater. 2019, 31, 1902762. [Google Scholar] [CrossRef]
- Moiz, S.A.; Khan, I.A.; Younis, W.A.; Karimov, K.S. Space Charge—Limited Current Model for Polymers. Conduct. Polym. 2016, 5, 91. [Google Scholar]
- Li, J.; Jiu, T.; Duan, C.; Wang, Y.; Zhang, H.; Jian, H.; Zhao, Y.; Wang, N.; Huang, C.; Li, Y. Improved electron transport in MAPbI3 perovskite solar cells based on dual doping graphdiyne. Nano Energy 2018, 46, 331. [Google Scholar] [CrossRef]
- Zhang, B.; Zhang, M.J.; Pang, S.P.; Huang, C.S.; Zhou, Z.M.; Wang, D.; Cui, G.L. Carrier transport in CH3NH3PbI3 films with different thickness for perovskite solar cells. Adv. Mater. Interfaces 2016, 3, 1600327. [Google Scholar] [CrossRef]
- Starkenburg, D.J.; Johns, P.M.; Baciak, J.E.; Nino, J.C.; Xue, J. Thin film organic photodetectors for indirect X-ray detection demonstrating low dose rate sensitivity at low voltage operation. J. Appl. Phys. 2017, 122, 225502. [Google Scholar] [CrossRef]









| Temperature [°C] | Jsc [mA/cm2] | Rs [Ω] | CCD [μA/cm2] | Sensitivity [mA/Gy·cm2] |
|---|---|---|---|---|
| 60 | 16.39 ± 0.65 | 212.78 ± 3.9 | 8.78 + 0.14 | 2.26 ± 0.07 |
| 80 | 17.74 ± 0.62 | 181.72 ± 3.8 | 9.41 + 0.13 | 2.43 ± 0.06 |
| 100 | 18.78 ± 0.58 | 172.23 ± 3.9 | 10.88 + 0.13 | 2.84 ± 0.06 |
| 120 | 11.56 ± 0.72 | 298.87 ± 3.8 | 7.82 + 0.13 | 1.99 ± 0.08 |
| Layer Thickness [nm]. | JSC [mA/cm2] | Rs [Ω] | Mobility [cm2/V·s] |
|---|---|---|---|
| 109 | 13.56 ± 0.63 | 282.11 ± 3.9 | (1.21 ± 0.06) × 10−4 |
| 145 | 16.54 ± 0.61 | 198.36 ± 3.8 | (1.97 ± 0.04) × 10−4 |
| 192 | 18.78 ± 0.58 | 172.23 ± 3.9 | (2.84 ± 0.04) × 10−4 |
| 215 | 15.32 ± 0.62 | 256.09 ± 3.8 | (1.83 ± 0.05) × 10−4 |
Publisher’s Note: MDPI stays neutral with regard to jurisdictional claims in published maps and institutional affiliations. |
© 2020 by the authors. Licensee MDPI, Basel, Switzerland. This article is an open access article distributed under the terms and conditions of the Creative Commons Attribution (CC BY) license (http://creativecommons.org/licenses/by/4.0/).
Share and Cite
Liu, H.; Lee, J.; Kang, J. Characteristics of a Hybrid Detector Combined with a Perovskite Active Layer for Indirect X-ray Detection. Sensors 2020, 20, 6872. https://doi.org/10.3390/s20236872
Liu H, Lee J, Kang J. Characteristics of a Hybrid Detector Combined with a Perovskite Active Layer for Indirect X-ray Detection. Sensors. 2020; 20(23):6872. https://doi.org/10.3390/s20236872
Chicago/Turabian StyleLiu, Hailiang, Jehoon Lee, and Jungwon Kang. 2020. "Characteristics of a Hybrid Detector Combined with a Perovskite Active Layer for Indirect X-ray Detection" Sensors 20, no. 23: 6872. https://doi.org/10.3390/s20236872
APA StyleLiu, H., Lee, J., & Kang, J. (2020). Characteristics of a Hybrid Detector Combined with a Perovskite Active Layer for Indirect X-ray Detection. Sensors, 20(23), 6872. https://doi.org/10.3390/s20236872

