IoT-Based Sensor Data Fusion for Determining Optimality Degrees of Microclimate Parameters in Commercial Greenhouse Production of Tomato
Abstract
1. Introduction
2. Materials and Methods
2.1. Experimental Setup
2.2. Wireless Sensors and Data Collection
2.3. IoT Monitoring and Data Analyses
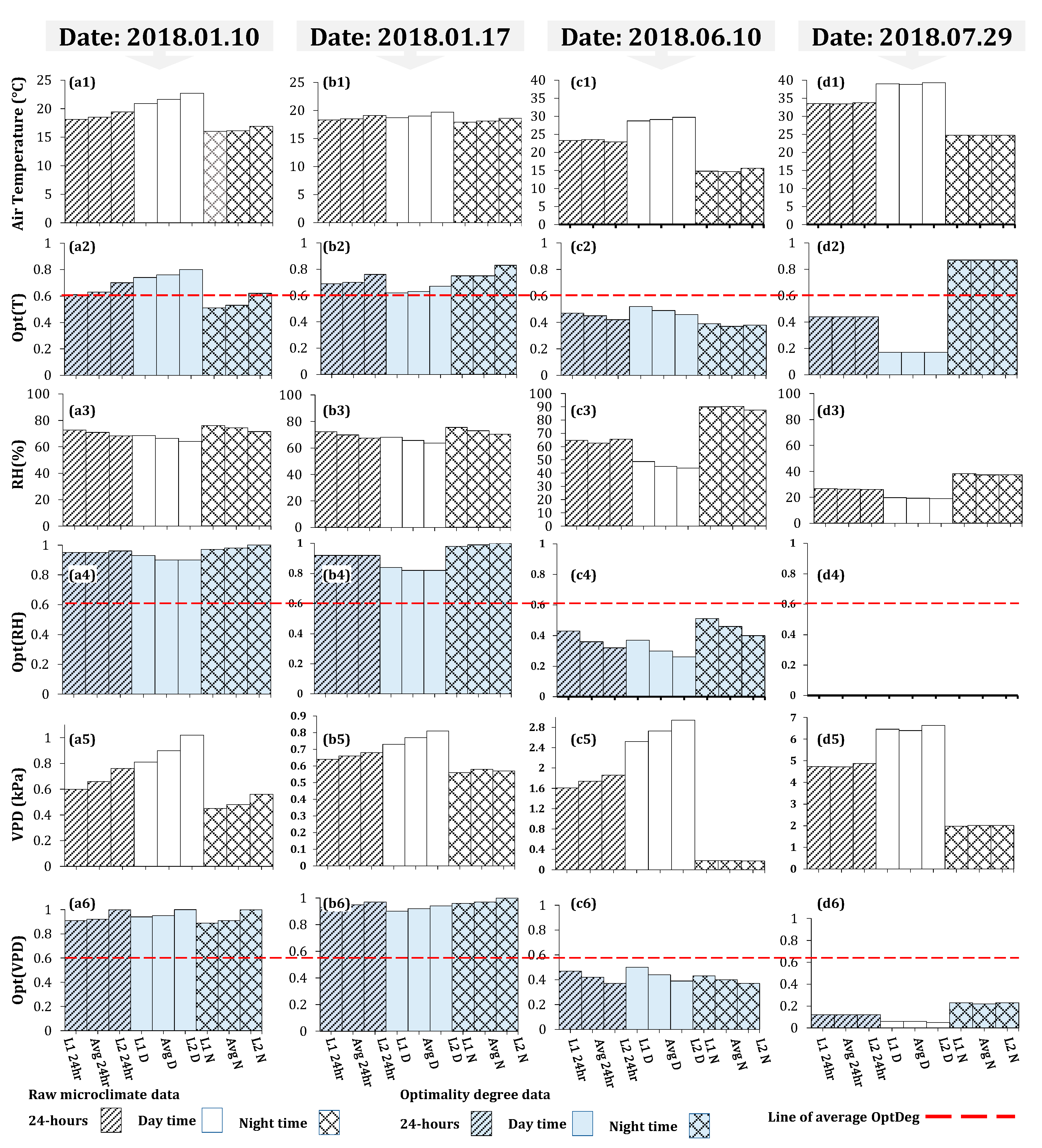
3. Results
3.1. Variation in Raw Microclimate Data
3.2. Vapour Pressure Deficit Analysis
3.3. Variations in Optimality Degrees of Microclimate Parameters
3.4. Variations in Optimality Degrees of VPD
3.5. Horizontal Distribution of Microclimate and Optimality Degrees
4. Discussion
5. Conclusions
Author Contributions
Funding
Acknowledgments
Conflicts of Interest
References
- Khosh-Khui, M.; Mobli, M.; Azizi, M.; Vahdati, K.; Grigorian, V.; Tafazoli, E. Investigation of the Greenhouses Problems and Products in Iran; I.R. Academy of Sciences: Teheran, Iran, 2017. [Google Scholar]
- Zarei, G.H. Structural challenes of greenhouses in Iran. Strateg. Res. J. Agric. Sci. Nat. Resour. 2017, 2, 149–162. [Google Scholar]
- Ahmadi, K.; Abedzade, H.; Hatami, F.; Hoseinpour, R.; Abdesha, H. Report on the level, production and yield per hectare of whole country horticultural products in 2017. In Jihad-e-Agriculture; Information and Communication Technology Center, Deputy of Planning and Economics: Tehran, Iran, 2019. [Google Scholar]
- CFP. Greenhouse Performance of the Country During 2011–2014; Deputy of Planning and Economics, Ministry of Jihad-e-Agriculture: Tehran, Iran, 2015.
- Hemming, S.; Zwart, F.; Elings, A.; Righini, I.; Petropoulou, A.S. Remote Control of Greenhouse Vegetable Production with Artificial Intelligence—Greenhouse Climate, Irrigation, and Crop Production. Sensors 2019, 19, 1807. [Google Scholar] [CrossRef] [PubMed]
- Tzounis, A.; Katsoulas, N.; Bartzanas, T.; Kittas, C. Internet of Things in agriculture, recent advances and future challenges. Biosyst. Eng. 2017, 164, 31–48. [Google Scholar] [CrossRef]
- Boursianis, A.D.; Papadopoulou, M.S.; Diamantoulakis, P.; Liopa-Tsakalidi, A.; Barouchas, P.; Salahas, G.; Karagiannidis, G.; Wan, S.; Goudos, S.K. Internet of Things (IoT) and Agricultural Unmanned Aerial Vehicles (UAVs) in smart farming: A comprehensive review. Internet Things 2020, 100187. [Google Scholar] [CrossRef]
- Balendonck, J.; Sapounas, A.; Kempkes, F.; van Os, E.; Schoor, R.; Tuijl, B.; Keizer, L.C.P. Using a wireless sensor network to determine climate heterogeneity of a greenhouse environment. Acta Hortic. 2014, 1037, 539–546. [Google Scholar] [CrossRef]
- Lee, C.; Chung, M.; Shin, K.-Y.; Im, Y.-H.; Yoon, S.-W. A study of the effects of enhanced uniformity control of greenhouse environment variables on crop growth. Energies 2019, 12, 1749. [Google Scholar] [CrossRef]
- Ray, P.P. A survey on Internet of Things architectures. J. King Saud. Univ. Comput. Inf. Sci. 2018, 30, 291–319. [Google Scholar] [CrossRef]
- Talavera, J.M.; Tobón, L.E.; Gómez, J.A.; Culman, M.A.; Aranda, J.M.; Parra, D.T.; Quiroz, L.A.; Hoyos, A.; Garreta, L.E. Review of IoT applications in agro-industrial and environmental fields. Comput. Electron. Agric. 2017, 142, 283–297. [Google Scholar] [CrossRef]
- Saiz-Rubio, V.; Rovira-Más, F. From smart farming towards agriculture 5.0: A review on crop data management. Agronomy 2020, 10, 207. [Google Scholar] [CrossRef]
- Munoz, M.; Guzman, J.L.; Sánchez-Molina, J.; Rodriguez, F.; Torres, M.; Berenguel, M. A New IoT-based Platform for Greenhouse Crop Production. IEEE Internet Things J. 2020, 1. [Google Scholar] [CrossRef]
- Zamora-Izquierdo, M.; Santa, J.; Martinez, J.; Martínez, V.; Skarmeta, A. Smart farming IoT platform based on edge and cloud computing. Biosyst. Eng. 2019, 2019, 4–17. [Google Scholar] [CrossRef]
- Liao, M.-S.; Chen, S.-F.; Chou, C.-Y.; Chen, H.-Y.; Yeh, S.-H.; Chang, Y.-C.; Jiang, J.-A. On precisely relating the growth of Phalaenopsis leaves to greenhouse environmental factors by using an IoT-based monitoring system. Comput. Electron. Agric. 2017, 136, 125–139. [Google Scholar] [CrossRef]
- Shamshiri, R.R.; Bojic, I.; van Henten, E.; Balasundram, S.K.; Dworak, V.; Sultan, M.; Weltzien, C. Model-based evaluation of greenhouse microclimate using IoT-Sensor data fusion for energy efficient crop production. J. Clean. Prod. 2020, 121303. [Google Scholar] [CrossRef]
- Shamshiri, R.R.; Mahadi, M.R.; Thorp, K.R.; Ismail, W.I.W.; Ahmad, D.; Man, H.C. Adaptive management framework for evaluating and adjusting microclimate parameters in tropical greenhouse crop production systems. Plant Eng. 2017, 167. [Google Scholar] [CrossRef]
- Ferentinos, K.P.; Katsoulas, N.; Tzounis, A.; Bartzanas, T.; Kittas, C. Wireless sensor networks for greenhouse climate and plant condition assessment. Biosyst. Eng. 2017, 153, 70–81. [Google Scholar] [CrossRef]
- Katsoulas, N.; Ferentinos, K.P.; Tzounis, A.; Bartzanas, T.; Kittas, C. Spatially distributed greenhouse climate control based on wireless sensor network measurements. Acta hortic. 2017, 1154, 111–120. [Google Scholar] [CrossRef]
- Zorzeto, T.Q. Wireless sensor network to map the meteorological variability in a greenhouse with evaporative cooling. Acta hortic. 2017, 1154, 213–220. [Google Scholar] [CrossRef]
- Chen, R.; Kang, S.; Hao, X.; Li, F.; Du, T.; Qiu, R.; Chen, J. Variations in tomato yield and quality in relation to soil properties and evapotranspiration under greenhouse condition. Sci. Hortic. 2015, 197, 318–328. [Google Scholar] [CrossRef]
- Balendonck, J.; van Os, E.A.; ven der Schoor, J.; van Tuijl, B.A.J.; Keizer, L.C.P. Monitoring spatial and temporal distribution of temperature and relative humidity in greenhouses based on wireless sensor technology. In Proceedings of the International Conference on Agricultural Engineering—AgEng, Clermont-Ferrand, France, 6–8 September 2010. [Google Scholar]
- Van Dam, A. Energy Use and Climate Inhomogeneity in Greenhouses. Master Thesis, Utrecht University, Utrecht, The Netherlands, 2014. [Google Scholar]
- Katsoulas, N.; Kittas, C. Impact of greenhouse microclimate on plant growth and development with special reference to the Solanaceae. Eur. J. Plant Sci. Biotechnol 2008, 2, 31–44. [Google Scholar]
- Ponce, P.; Molina, A.; Cepeda, P.; Lugo, E.; MacCleery, B. Greenhouse Design and Control; CRC Press: Boca Raton, FL, USA, 2014. [Google Scholar]
- Shamshiri, R. Measuring optimality degrees of microclimate parameters in protected cultivation of tomato under tropical climate condition. Measurement 2017, 106, 236–244. [Google Scholar] [CrossRef]
- Shamshiri, R.; Ahmad, D.; Zakaria, A.; Ismail, W.I.W.; Man, H.C.; Yamin, M. Evaluation of the reduced state-variable TOMGRO model using boundary data. In Proceedings of the 2016 ASABE Annual International Meeting, Orlando, FL, USA, 17–20 July 2016; p. 1. [Google Scholar]
- Shamshiri, R.; van Beveren, P.; CHE, M.H.; Zakaria, A. Dynamic Assessment of air temperature for tomato (Lycopersicon esculentum Mill) cultivation in a naturally ventilated net-screen greenhouse under tropical lowlands climate. J. Agr. Sci. Tech 2017, 19, 59–72. [Google Scholar]
- Shamshiri, R.R.; Jones, J.W.; Thorp, K.R.; Ahmad, D.; Man, H.C.; Taheri, S. Review of optimum temperature, humidity, and vapour pressure deficit for microclimate evaluation and control in greenhouse cultivation of tomato: a review. Int. Agrophysics 2018, 32, 287–302. [Google Scholar] [CrossRef]
- Tüzel, Y.; Öztekin, G.B. Part III: Crop technologies: 1 Tomato. In Good Agricultural Practices for Greenhouse Vegetable Production in the South East European Countries: Principles for Sustainable Intensification of Small Holder Farms; Baudoin, W., Nersisyan, A., Shamilov, A., Hodder, A., Gutierrez, D., Eds.; Food and Agricultural Organization of the United Nations: Rome, Italy, 2017; Volume 230, pp. 271–286. [Google Scholar]
- Shamshiri, R.; Che Man, H.; Zakaria, A.; Van Beveren, P.; Ahmad, D.; Wan Ismail, W.I. Membership function model for defining optimality of vapor pressure deficit in closed-field cultivation of tomato. Acta Hortic. 2016. [Google Scholar] [CrossRef]
- Katsoulas, N.; Kittas, C.; Bartzanas, T. Microclimate distribution in a greenhouse cooled by a Fog system. Acta Hortic. 2012, 927, 773–778. [Google Scholar] [CrossRef]
- Kittas, C.; Katsoulas, N.; Papa, K.; Thanasenaris, A.; Bartzanas, T. Improvement of greenhouse microclimate distribution by means of air mixing fans. Acta Hortic. 2012, 589–594. [Google Scholar] [CrossRef]
- Zabeltitz, C. Integrated Greenhouse Systems for Mild Climates: Climate Conditions, Design, Construction, Maintenance, Climate Control; Springer: Berlin/Heidelberg, Germany, 2011; pp. 1–363. [Google Scholar] [CrossRef]
- Konopacki, P.; Treder, W.; Klamkowski, K. Comparison of vapour pressure deficit patterns during cucumber cultivation in a traditional high PE tunnel greenhouse and a tunnel greenhouse equipped with a heat accumulator. Span. J. Agric. Res. 2018, 16, e0201. [Google Scholar] [CrossRef]
- Castilla, N.; Baeza, E.; Papadopoulos, A.P. Greenhouse Technology and Management, 2nd ed.; CABI: Oxfordshire, UK, 2012; pp. 1–335. [Google Scholar]
- Sato, S.; Peet, M.M.; Thomas, J.F. Physiological factors limit fruit set of tomato (Lycopersicon esculentum Mill.) under chronic, mild heat stress. Plant Cell Environ. 2000, 23, 719–726. [Google Scholar] [CrossRef]
















| Growth Stage | Temperature | Relative Humidity | Vapor Pressure Deficit | |||
|---|---|---|---|---|---|---|
| Border | Value (°C) | Border | Value (%) | Border | Value (kPa) | |
| Stage 1 | T1G0min | 9 | RH1G0min | 60 | VPD1G0min | 0.011 |
| T1G0max | 35 | RH1G1max | 75 | VPD1G0max | 2.248 | |
| T1G1min | 24 | RH1G1max | 99 | VPD1G1min | 0.030 | |
| T1G1max | 26.1 | VPD1G1max | 0.845 | |||
| Stage2 | T2G0min | 10 | RH2G0min | 40 | VPD2G0min | 0.012 |
| T2G0max | 40 | RH2G0max | 99 | VPD2G0max | 4.422 | |
| T2G0.5(night) | 17 | RH2G1min | 70 | VPD2G1min(sun) | 0.596 | |
| T2G1min(night) | 18 | RH2G1max | 80 | VPD2G1max(sun) | 1.069 | |
| T2G1max(night) | 20 | VPD2G1min(cloud) | 0.528 | |||
| T2G1min(sun) | 24 | VPD2G1max(cloud) | 0.895 | |||
| T2G1max(sun) | 27 | VPD2G1min(night) | 0.412 | |||
| T2G1min(cloud) | 22 | VPD2G1max(night) | 0.701 | |||
| T2G1max(cloud) | 24 | |||||
| Stage 3 to 5 | RH3G0min | 30 | VPD3G0min | 0.012 | ||
| Same as stage 2 | RH3G0max | 99 | VPD3G0max | 5.160 | ||
| RH3G1min | 60 | VPD3G1min(sun) | 0.596 | |||
| RH3G1max | 80 | VPD3G1max(sun) | 1.425 | |||
| VPD3G1min(cloud) | 0.528 | |||||
| VPD3G1max(cloud) | 1.193 | |||||
| VPD3G1min(night) | 0.413 | |||||
| VPD3G1max(night) | 0.935 | |||||
| Membership Function | Range of Function |
|---|---|
| Membership Function | Range of Function |
|---|---|
| Date | Parameter | Daytime | S.D. | Night | S.D. | Average | S.D. | Min | Max | Range | |
|---|---|---|---|---|---|---|---|---|---|---|---|
| 1/10/2018 | T (°C) | In | 21.6 | 3.1 | 16.1 | 1.5 | 18.5 | 3.6 | 13.9 | 27.7 | 13.8 |
| Out | 7.1 | 5.2 | −2.4 | 2.4 | 1.7 | 6.1 | −4.9 | 12 | 16.9 | ||
| RH (%) | In | 66.4 | 8.9 | 74.4 | 1.2 | 70.9 | 7.2 | 50.7 | 79.8 | 29.1 | |
| Out | 43.4 | 14.3 | 71 | 4.6 | 59.1 | 17 | 26.7 | 75.2 | 48.5 | ||
| VPD | In | 0.9 | 0.31 | 0.48 | 0.04 | 0.66 | 0.29 | 0.4 | 1.38 | 0.99 | |
| 1/17/2018 | T (°C) | In | 19 | 1.9 | 18.1 | 1.6 | 18.5 | 1.8 | 14.4 | 23.2 | 8.8 |
| Out | 7.2 | 3.9 | −0.5 | 3.1 | 2.9 | 5.1 | −4.6 | 10.5 | 15.1 | ||
| RH (%) | In | 65.7 | 11.9 | 73 | 1.1 | 69.8 | 8.7 | 46.6 | 82.6 | 36 | |
| Out | 41.3 | 12.2 | 66.1 | 8.3 | 55.3 | 16 | 30.3 | 76.3 | 46 | ||
| VPD | In | 0.77 | 0.28 | 0.58 | 0.06 | 0.66 | 0.22 | 0.36 | 1.26 | 0.9 | |
| 6/10/2018 | T (°C) | In | 29.1 | 8.1 | 14.7 | 2.1 | 23.5 | 9.6 | 11.8 | 38 | 26.2 |
| Out | 27.5 | 6.8 | 17 | 3 | 23.5 | 7.6 | 12.3 | 39 | 26.7 | ||
| RH (%) | In | 45.1 | 20.2 | 90.3 | 6.7 | 62.6 | 27.5 | 27.5 | 96 | 68.5 | |
| Out | 38.1 | 15.8 | 61.7 | 8.7 | 47.3 | 17.8 | 23.5 | 74 | 50.5 | ||
| VPD | In | 2.73 | 1.49 | 0.18 | 0.17 | 1.74 | 1.7 | 0.06 | 4.72 | 4.66 | |
| 7/29/2018 | T (°C) | In | 38.8 | 9 | 24.7 | 3 | 33.4 | 10 | 19.6 | 51.2 | 31.6 |
| Out | 36.8 | 6.9 | 27.2 | 3.2 | 33.1 | 7.5 | 21.2 | 50.5 | 29.3 | ||
| RH (%) | In | 19.3 | 9.5 | 37.3 | 5.1 | 26.2 | 11.9 | 10.2 | 46.2 | 36 | |
| Out | 18.9 | 6.1 | 23 | 4.9 | 22 | 6.9 | 11.2 | 38 | 26.8 | ||
| VPD | In | 6.4 | 3.03 | 2.01 | 0.54 | 4.72 | 3.22 | 1.23 | 11.76 | 10.53 | |
Publisher’s Note: MDPI stays neutral with regard to jurisdictional claims in published maps and institutional affiliations. |
© 2020 by the authors. Licensee MDPI, Basel, Switzerland. This article is an open access article distributed under the terms and conditions of the Creative Commons Attribution (CC BY) license (http://creativecommons.org/licenses/by/4.0/).
Share and Cite
Rezvani, S.M.-e.; Abyaneh, H.Z.; Shamshiri, R.R.; Balasundram, S.K.; Dworak, V.; Goodarzi, M.; Sultan, M.; Mahns, B. IoT-Based Sensor Data Fusion for Determining Optimality Degrees of Microclimate Parameters in Commercial Greenhouse Production of Tomato. Sensors 2020, 20, 6474. https://doi.org/10.3390/s20226474
Rezvani SM-e, Abyaneh HZ, Shamshiri RR, Balasundram SK, Dworak V, Goodarzi M, Sultan M, Mahns B. IoT-Based Sensor Data Fusion for Determining Optimality Degrees of Microclimate Parameters in Commercial Greenhouse Production of Tomato. Sensors. 2020; 20(22):6474. https://doi.org/10.3390/s20226474
Chicago/Turabian StyleRezvani, Sayed Moin-eddin, Hamid Zare Abyaneh, Redmond R. Shamshiri, Siva K. Balasundram, Volker Dworak, Mohsen Goodarzi, Muhammad Sultan, and Benjamin Mahns. 2020. "IoT-Based Sensor Data Fusion for Determining Optimality Degrees of Microclimate Parameters in Commercial Greenhouse Production of Tomato" Sensors 20, no. 22: 6474. https://doi.org/10.3390/s20226474
APA StyleRezvani, S. M.-e., Abyaneh, H. Z., Shamshiri, R. R., Balasundram, S. K., Dworak, V., Goodarzi, M., Sultan, M., & Mahns, B. (2020). IoT-Based Sensor Data Fusion for Determining Optimality Degrees of Microclimate Parameters in Commercial Greenhouse Production of Tomato. Sensors, 20(22), 6474. https://doi.org/10.3390/s20226474

