Towards the Applicability of Measuring the Electrodermal Activity in the Context of Process Model Comprehension: Feasibility Study
Abstract
1. Introduction
2. Materials and Methods
2.1. Electrodermal Activity
2.2. Context Selection

2.3. Instrumentation
2.4. Preliminary Test Run
2.5. Feasibility Study
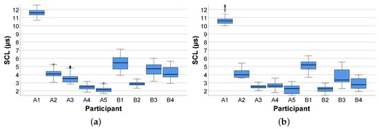
- Mean SCL: The tonic SCL describes the changing level of skin conductivity over a period of time (see Section 2.1). A state of physiological or psychological arousal usually leads to variations (e.g., increase) in the SCL. In our context, the comprehension of process models constituted a cognitively challenging task that created a state of arousal (e.g., attentive). Therefore, the analysis of the SCL allowed for the assumption about whether the comprehension of differently complex process models results in variations (e.g., elevation) in the SCL.
- Number of SCR peaks: SCR peaks are parts of the phasic component that are indications of short-term processes with high physiological (e.g., the wait for the go-ahead) or psychological (e.g., decision making) demands. In process model comprehension, the correct interpretation of process information must be ensured and, therefore, decisions (e.g., which activities may run in parallel) must be made, which are decisive for the perception as well as the correct comprehension of the process model. For this reason, it was interesting to evaluate whether the number of SCR peaks was higher in the complex process model juxtaposed with the easy model. Importantly, only SCR peaks with an amplitude height of >0.1 μs were considered (i.e., special case with >0.05 μs; see Section 2.3).
- Mean of SCR amplitudes energy level: The mean of SCR amplitudes energy level is a measure in order to record the degree of stress (e.g., cognitive load) a stimulus or event provokes. The higher perceived stress is, the higher is the amplitude and vice versa. In our study, the evaluation of the SCR amplitudes revealed insights about the cognitive load and related processes during the comprehension of process models.
3. Results
3.1. Inferential Statistics
- Mean SCL: The Wilcoxon signed-rank test indicated that the mean SCL in the complex process model (M = 4.34 (2.71), Mdn = 3.04) was not significantly higher than the mean SCL in the easy process model (M = 4.34 (2.72), Mdn = 4.82), .
- Number of SCR peaks: The Wilcoxon signed-rank test indicated that the number of SCR peaks in the complex process model (M = 7.00 (1.94, Mdn = 7.00)) was significantly higher than the number of SCR peaks in the easy process model (M = 4.89 (1.27), Mdn = 5.00), .
- Mean of SCR amplitudes energy level: The Wilcoxon signed-rank test indicated that the mean of SCR amplitudes energy level in the complex process model (M = 0.29 (0.12), Mdn = 0.29) was not significantly higher than the mean of SCR amplitudes energy level in the easy process model (M = 0.34 (0.23), Mdn = 0.23), .
3.2. Discussion
3.3. Limitations
3.4. Lessons Learned
- Baseline measurement: The baseline represents the average skin conductance level during rest and without the presence of any stimulus. Moreover, the baseline varies over time depending on various factors (i.e., physiological or psychological arousal). Therefore, it is of importance to identify a baseline level for each individual separately before the start of an EDA measurement. There are different recommendations regarding the duration of the baseline measurement, but most of the research recommend a duration between 10 and 15 min [47,51]. In our studies, we could observe that the EDA signal stabilized at a low level after about 8 minutes. In addition, the baseline measurement can be used for a more fine-grained analysis of the EDA. For example, individuals can be identified that are hyper- or hypo-responders to a stimulus. Further, during relaxation, the identification of the frequency of non-SCR (see Section 2.1) is simplified [76].
- Recording of both EDA components: The initial research only considered the phasic SCR, while the tonic SCL was not taken into account. For short-term observations (e.g., neural reaction), the SCL can be neglected. In turn, for long-term observations, both EDA components should be recorded, since both rely on different neural mechanisms. In our context, the consideration of both components allowed for the interpretation that the comprehension of process models resulted in a state of higher cognitive arousal. Finally, with the SCR, we were able to show that the comprehension of a complex process model requires more cognitive effort.
- Limit physical activity: The EDA is a very sensitive signal, and even small movements (e.g., finger movement) may cause changes in the respective signal. Depending on the accuracy of the EDA sensor device used, even contemplation may change the EDA signal. Therefore, in order to avoid such changes, we ensured that the participants in our studies did not have to perform any additional activities and could, therefore, concentrate on the comprehension of the presented process models.
- Avoid external stimuli: Similar to the activity limitation, any external stimuli (e.g., bird calls, light changes) may affect the EDA signal: several times, we could observe this effect in the test run as well (e.g., voices in the other room). Therefore, we accepted this and tried to avoid external stimuli. Hence, the recommendation is to conduct further EDA measurements in special labs (e.g., light and soundproof) to ensure a proper recording of the respective EDA components.
- Constant setting: Another important factor that needs to be considered in the measurement of the EDA is keeping a constant setting across all participants. In particular, this ensures a valid comparability of the recorded EDA signals obtained from all participants. In this context, among others, the room temperature is a critical factor that has a very strong effect on the EDA signal. A high room temperature leads to a faster increase in both EDA components (i.e., due to increased sweat production). Hence, according to existing literature, we kept the room temperature at about 22 degrees Celsius [47].
- Attention to physiological and psychological condition: Different physiological as well as psychological conditions (e.g., tiredness, digestion) affect the EDA signal. Since it is impossible to have participants with the same physiological and psychological condition, attention should be paid that EDA measurements do not directly follow strongly perceptible sensations (e.g., hunger).
- Signal decomposition: The accurate decomposition of the tonic (i.e., SCL) and phasic (i.e., SCR) component from a raw EDA signal has created a vast body of research in this context [45]. Since the two EDA components are located at sensitive frequencies, it is important to ensure that the respective methods for analysis are capable of working with fine-grained frequency ranges (e.g., >0.05 μs as the amplitude threshold for SCR detection, as recommended in the literature [77]). Therefore, the application of further robust methods for EDA analysis as proposed in the literature is recommended. However, for gaining first experiences (e.g., ambulatory setting) and in the context of the feasibility study, the sensor used (i.e., EdaMove 3) and related software (i.e., DataAnalyzer) seem to be appropriate.
- Signal transformation: Each individual has a different skin conductivity level depending on various factors (see Section 2.1). As a result, despite the similar setting, significant differences in the baseline measurement as well as SCR amplitudes may occur between individuals. For this reason, the obtained EDA results should be standardized. Established methods are log or square root transformation fostering the comparisons between individuals [47]. Moreover, physiological factors (e.g., skin thickness) as well as potential disruptive factors (e.g., non-SCR) can be disregarded with specialized transformations.
- Consideration of more factors: The measurement of the EDA allows for the interpretation about physiological as well as psychological arousal in the presence of a stimulus. For many research purposes (e.g., neural reactions on short-term events), the analysis of the EDA components is adequate. However, in our context, the sole measurement of the EDA allowed only for limited interpretation. With the tonic component SCL, we were able to show that the comprehension of process models poses demands on cognitive effort. Regarding the phasic component SCR, we observed in the feasibility study a higher number of SCR peaks during the comprehension of the complex process model, but we can only make assumptions (e.g., they may be due to decision making) regarding their appearance. Therefore, with the addition of further measurements, a better interpretation of the EDA can be assumed. For example, with sensors recording eye movements, the appearance of SCR peaks can be associated with the gaze of an individual at the time of a peak.
4. Conclusions and Future Work
Author Contributions
Funding
Conflicts of Interest
Abbreviations
| BPMN | Business Process Model and Notation |
| DC | Direct current |
| EDA | Electrodermal activity |
| EEG | Electroencephalography |
| GAPED | Geneva Affective Picture Database |
| SCL | Skin conductance level |
| SCR | Skin conductance response |
References
- Polyvyanyy, A.; Smirnov, S.; Weske, M. Business process model abstraction. In Handbook on Business Process Management 1; Springer: Berlin, Germany, 2015; pp. 147–165. [Google Scholar]
- Fan, S.; Hua, Z.; Storey, V.C.; Zhao, J.L. A process ontology based approach to easing semantic ambiguity in business process modeling. Data Knowl. Eng. 2016, 102, 57–77. [Google Scholar] [CrossRef]
- Hammer, M. What is business process management? In Handbook on Business Process Management 1; Springer: Berlin, Germany, 2015; pp. 3–16. [Google Scholar]
- Narendra, T.; Agarwal, P.; Gupta, M.; Dechu, S. Counterfactual Reasoning for Process Optimization Using Structural Causal Models. In Proceedings of the 17th International Conference on Business Process Management (BPM) Forum, Vienna, Austria, 1–6 September 2019; pp. 91–106. [Google Scholar]
- Corradini, F.; Fornari, F.; Polini, A.; Re, B.; Tiezzi, F. A formal approach to modeling and verification of business process collaborations. Sci. Comput. Program. 2018, 166, 35–70. [Google Scholar] [CrossRef]
- Zimoch, M.; Mohring, T.; Pryss, R.; Probst, T.; Schlee, W.; Reichert, M. Using Insights from Cognitive Neuroscience to Investigate the Effects of Event-Driven Process Chains on Process Model Comprehension. In Proceedings of the 1st International Conference on Cognitive Business Process Management (CBPM), Barcelona, Spain, 10–11 September 2017; pp. 446–459. [Google Scholar]
- Sánchez-González, L.; García, F.; Ruiz, F.; Piattini, M. A case study about the improvement of business process models driven by indicators. Softw. Syst. Model. 2017, 16, 759–788. [Google Scholar] [CrossRef]
- Figl, K. Comprehension of Procedural Visual Business Process Models. Bus. Inf. Syst. Eng. 2017, 59, 41–67. [Google Scholar] [CrossRef]
- Reijers, H.A.; Freytag, T.; Mendling, J.; Eckleder, A. Syntax highlighting in business process models. Decis. Support Syst. 2011, 51, 339–349. [Google Scholar] [CrossRef]
- Milani, F.; Dumas, M.; Matulevičius, R.; Ahmed, N.; Kasela, S. Criteria and heuristics for business process model decomposition. Bus. Inf. Syst. Eng. 2015, 58, 7–17. [Google Scholar] [CrossRef]
- Mendling, J.; Recker, J.; Reijers, H.A. On the usage of labels and icons in business process modeling. Int. J. Inf. Syst. Model. Des. 2010, 1, 40–58. [Google Scholar] [CrossRef]
- Kummer, T.; Recker, J.; Mendling, J. Enhancing understandability of process models through cultural-dependent color adjustments. Decis. Support Syst. 2016, 87, 1–12. [Google Scholar] [CrossRef]
- Figl, K.; Mendling, J.; Strembeck, M. The influence of notational deficiencies on process model comprehension. J. Assoc. Inf. Syst. 2013, 14, 312–338. [Google Scholar] [CrossRef]
- Schrepfer, M.; Wolf, J.; Mendling, J.; Reijers, H.A. The impact of secondary notation on process model understanding. In Proceedings of the 2nd IFIP Working Conference on the Practice of Enterprise Modeling (POEM), Stockholm, Sweden, 18–19 November 2009; pp. 161–175. [Google Scholar]
- Dikici, A.; Turetken, O.; Demirors, O. Factors influencing the understandability of process models: A systematic literature review. Inf. Softw. Technol. 2018, 93, 112–129. [Google Scholar] [CrossRef]
- Shahzad, K.; Elias, M.; Johannesson, P. Requirements for a business process model repository: A stakeholders’ perspective. In Proceedings of the International Conference on Business Information Systems (BIS), Berlin, Germany, 3–5 May 2010; pp. 158–170. [Google Scholar]
- Zimoch, M.; Pryss, R.; Schobel, J.; Reichert, M. Eye tracking experiments on process model comprehension: Lessons learned. In Proceedings of the 18th International Workshop on Business Process Modeling, Development and Support (BPMDS), Essen, Germany, 12–13 June 2017; pp. 153–168. [Google Scholar]
- Mendling, J.; Strembeck, M.; Recker, J. Factors of process model comprehension-findings from a series of experiments. Decis. Support Syst. 2012, 53, 195–206. [Google Scholar] [CrossRef]
- Figl, K.; Recker, J. Exploring cognitive style and task-specific preferences for process representations. Requir. Eng. 2014, 21, 63–85. [Google Scholar] [CrossRef]
- Recker, J.; Reijers, H.A.; van de Wouw, S.G. Process model comprehension: The effects of cognitive abilities, learning style, and strategy. Commun. Assoc. Inf. Syst. 2014, 34, 9. [Google Scholar] [CrossRef]
- Recker, J. Empirical investigation of the usefulness of gateway constructs in process models. Eur. J. Inf. Syst. 2013, 22, 673–689. [Google Scholar] [CrossRef]
- Turetken, O.; Dikici, A.; Vanderfeesten, I.; Rompen, T.; Demirors, O. The Influence of Using Collapsed Sub-processes and Groups on the Understandability of Business Process Models. Bus. Inf. Syst. Eng. 2019, 62, 121–141. [Google Scholar] [CrossRef]
- Kang, H.R.; Yang, H.D.; Rowley, C. Factors in team effectiveness: Cognitive and demographic similarities of software development team members. Hum. Relat. 2006, 59, 1681–1710. [Google Scholar] [CrossRef]
- Zimoch, M.; Pryss, R.; Probst, T.; Schlee, W.; Reichert, M. The Repercussions of Business Process Modeling Notations on Mental Load and Mental Effort. In Proceedings of the 11th International Workshop on Social and Human Aspects of Business Process Management (BPMS), Sydney, Australia, 9–14 September 2018; pp. 133–145. [Google Scholar]
- Chen, T.; Wang, W.; Indulska, M.; Sadiq, S. Business process and rule integration approaches-an empirical analysis. In Proceedings of the 16th International Conference on Business Process Management (BPM), Sydney, Australia, 9–14 September 2018; pp. 37–52. [Google Scholar]
- Turetken, O.; Vanderfeesten, I.; Claes, J. Cognitive Style and Business Process Model Understanding. In Proceedings of the 29th International Conference on Advanced Information Systems Engineering (CAiSE) Workshops, Essen, Germany, 12–16 June 2017; Metzger, A., Persson, A., Eds.; Springer: Berlin/Heidelberg, Germany, 2017; pp. 72–84. [Google Scholar]
- Razavian, M.; Turetken, O.; Vanderfeesten, I. When cognitive biases lead to business process management issues. In Proceedings of the 14th International Conference on Business Process Management (BPM) Workshops, Rio de Janeiro, Brazil, 19 September 2016; pp. 147–156. [Google Scholar]
- Mendling, J.; Recker, J.; Reijers, H.A.; Leopold, H. An empirical review of the connection between model viewer characteristics and the comprehension of conceptual process models. Inf. Syst. Front. 2019, 21, 1111–1135. [Google Scholar] [CrossRef]
- Zimoch, M.; Pryss, R.; Probst, T.; Schlee, W.; Layher, G.; Neumann, H.; Reichert, M. Evaluating the Comprehensibility of Graphical Business Process Models—An Eye Tracking Study. In Proceedings of the 19th European Conference on Eye Movements (ECEM), Wuppertal, Germany, 20–24 August 2017. [Google Scholar]
- Zimoch, M.; Pryss, R.; Layher, G.; Neumann, H.; Probst, T.; Schlee, W.; Reichert, M. Utilizing the capabilities offered by eye-tracking to foster novices’ comprehension of business process models. In Proceedings of the 2nd International Conference on Cognitive Computing (ICCC), Seattle, WA, USA, 25–30 June 2018; pp. 155–163. [Google Scholar]
- Petrusel, R.; Mendling, J.; Reijers, H.A. How visual cognition influences process model comprehension. Decis. Support Syst. 2017, 96, 1–16. [Google Scholar] [CrossRef]
- Wang, W.; Indulska, M.; Sadiq, S.; Weber, B. Effect of linked rules on business process model understanding. In Proceedings of the 15th International Conference on Business Process Management (BPM), Barcelona, Spain, 10–15 September 2017; pp. 200–215. [Google Scholar]
- Tallon, M.; Winter, M.; Pryss, R.; Rakoczy, K.; Reichert, M.; Greenlee, M.W.; Frick, U. Comprehension of business process models: Insight into cognitive strategies via eye tracking. Expert Syst. Appl. 2019, 136, 145–158. [Google Scholar] [CrossRef]
- Winter, M.; Pryss, R.; Probst, T.; Reichert, M. Learning to Read by Learning to Write: Evaluation of a Serious Game to Foster Business Process Model Comprehension. JMIR Serious Games 2020, 8, e15374. [Google Scholar] [CrossRef]
- Ferhat, O.; Vilariño, F. Low cost eye tracking: The current panorama. Comput. Intell. Neurosci. 2016, 2016, 8680541. [Google Scholar] [CrossRef] [PubMed]
- Zhou, Z.; Liao, H.; Gu, B.; Huq, K.M.S.; Mumtaz, S.; Rodriguez, J. Robust mobile crowd sensing: When deep learning meets edge computing. IEEE Netw. 2018, 32, 54–60. [Google Scholar] [CrossRef]
- Coppetti, T.; Brauchlin, A.; Müggler, S.; Attinger-Toller, A.; Templin, C.; Schönrath, F.; Hellermann, J.; Lüscher, T.F.; Biaggi, P.; Wyss, C.A. Accuracy of smartphone apps for heart rate measurement. Eur. J. Prev. Cardiol. 2017, 24, 1287–1293. [Google Scholar] [CrossRef] [PubMed]
- Ganster, D.C.; Crain, T.L.; Brossoit, R.M. Physiological measurement in the organizational sciences: A review and recommendations for future use. Annu. Rev. Organ. Psychol. Organ. Behav. 2018, 5, 267–293. [Google Scholar] [CrossRef]
- Wichary, S.; Mata, R.; Rieskamp, J. Probabilistic inferences under emotional stress: How arousal affects decision processes. J. Behav. Decis. Mak. 2016, 29, 525–538. [Google Scholar] [CrossRef]
- Kuppens, P.; Tuerlinckx, F.; Yik, M.; Koval, P.; Coosemans, J.; Zeng, K.J.; Russell, J.A. The relation between valence and arousal in subjective experience varies with personality and culture. J. Personal. 2017, 85, 530–542. [Google Scholar] [CrossRef]
- Kusserow, M.; Amft, O.; Tröster, G. Modeling arousal phases in daily living using wearable sensors. IEEE Trans. Affect. Comput. 2012, 4, 93–105. [Google Scholar] [CrossRef]
- Meißner, M.; Oll, J. The promise of eye-tracking methodology in organizational research: A taxonomy, review, and future avenues. Organ. Res. Methods 2019, 22, 590–617. [Google Scholar] [CrossRef]
- Fu, R.; Han, M.; Wang, F.; Shi, P. Intentions Recognition of EEG Signals with High Arousal Degree for Complex Task. J. Med. Syst. 2020, 44, 1–12. [Google Scholar] [CrossRef]
- Picard, R.W.; Fedor, S.; Ayzenberg, Y. Multiple arousal theory and daily-life electrodermal activity asymmetry. Emot. Rev. 2016, 8, 62–75. [Google Scholar] [CrossRef]
- Posada-Quintero, H.F.; Chon, K.H. Innovations in Electrodermal Activity Data Collection and Signal Processing: A Systematic Review. Sensors 2020, 20, 479. [Google Scholar] [CrossRef] [PubMed]
- Affanni, A. Wireless Sensors System for Stress Detection by Means of ECG and EDA Acquisition. Sensors 2020, 20, 2026. [Google Scholar] [CrossRef] [PubMed]
- Braithwaite, J.J.; Watson, D.G.; Jones, R.; Rowe, M. A guide for analysing electrodermal activity (EDA) & skin conductance responses (SCRs) for psychological experiments. Psychophysiology 2013, 49, 1017–1034. [Google Scholar]
- Ayaz, H. Electrodermal Activity in Ambulatory Settings: A Narrative Review of Literature. Adv. Neuroergon. Cogn. Eng. 2019, 953, 91–102. [Google Scholar]
- Shukla, J.; Barreda-Angeles, M.; Oliver, J.; Nandi, G.; Puig, D. Feature Extraction and Selection for Emotion Recognition from Electrodermal Activity. IEEE Trans. Affect. Comput. 2019. [Google Scholar] [CrossRef]
- Al Machot, F.; Elmachot, A.; Ali, M.; Al Machot, E.; Kyamakya, K. A deep-learning model for subject-independent human emotion recognition using electrodermal activity sensors. Sensors 2019, 19, 1659. [Google Scholar] [CrossRef]
- Shaffer, F.; Combatalade, D.; Peper, E.; Meehan, Z.M. A guide to cleaner electrodermal activity measurements. Biofeedback 2016, 44, 90–100. [Google Scholar] [CrossRef]
- Sakai, T.; Tamaki, H.; Ota, Y.; Egusa, R.; Inagaki, S.; Kusunoki, F.; Sugimoto, M.; Mizoguchi, H. Eda-Based Estimation Of Visual Attention By Observation Of Eye Blink Frequency. Int. J. Smart Sens. Intell. Syst. 2017, 10, 296–307. [Google Scholar] [CrossRef]
- Dawson, M.E.; Schell, A.M.; Filion, D.L. The electrodermal system. In Handbook of Psychophysiology, 4th ed.; Cambridge University Press: Cambridge, UK, 2017; pp. 217–243. [Google Scholar]
- Mason, L.; Scrimin, S.; Tornatora, M.C.; Zaccoletti, S. Emotional reactivity and comprehension of multiple online texts. Learn. Individ. Differ. 2017, 58, 10–21. [Google Scholar] [CrossRef]
- Chung, S.; Cheon, J.; Lee, K.W. Emotion and multimedia learning: An investigation of the effects of valence and arousal on different modalities in an instructional animation. Instr. Sci. 2015, 43, 545–559. [Google Scholar] [CrossRef]
- Scrimin, S.; Mason, L. Does mood influence text processing and comprehension? Evidence from an eye-movement study. Br. J. Educ. Psychol. 2015, 85, 387–406. [Google Scholar] [CrossRef] [PubMed]
- Zimoch, M.; Pryss, R.; Probst, T.; Schlee, W.; Reichert, M. Cognitive insights into business process model comprehension: Preliminary results for experienced and inexperienced individuals. In Proceedings of the 18th International Conference on Business Process Modeling, Development and Support (BPMDS), Essen, Germany, 12–13 June 2017; pp. 137–152. [Google Scholar]
- Movisens. EdaMove 3. Available online: https://www.movisens.com/de/produkte/eda-und-aktivitaetssensor-edamove-3/ (accessed on 11 June 2020).
- Beiwinkel, T.; Hey, S.; Bock, O.; Rössler, W. Supportive mental health self-monitoring among smartphone users with psychological distress: Protocol for a fully mobile randomized controlled trial. Front. Public Health 2017, 5, 249. [Google Scholar] [CrossRef] [PubMed]
- Santangelo, P.S.; Holtmann, J.; Hosoya, G.; Bohus, M.; Kockler, T.D.; Koudela-Hamila, S.; Eid, M.; Ebner-Priemer, U.W. Within-and Between-Persons Effects of Self-Esteem and Affective State as Antecedents and Consequences of Dysfunctional Behaviors in the Everyday Lives of Patients With Borderline Personality Disorder. Clin. Psychol. Sci. 2020, 8, 428–449. [Google Scholar] [CrossRef]
- Boucsein, W. Electrodermal Activity, 2nd ed.; Springer: Berlin/Heidelberg, Germany, 2012. [Google Scholar]
- Dan-Glauser, E.S.; Scherer, K.R. The Geneva affective picture database (GAPED): A new 730-picture database focusing on valence and normative significance. Behav. Res. Methods 2011, 43, 468–477. [Google Scholar] [CrossRef] [PubMed]
- Matamala, A.; Soler-Vilageliu, O.; Iturregui-Gallardo, G.; Jankowska, A.; Méndez-Ulrich, J.L.; Serrano, A. Electrodermal activity as a measure of emotions in media accessibility research: Methodological considerations. J. Spec. Transl. 2020, 33, 129–151. [Google Scholar]
- Radin, D.I. Electrodermal presentiments of future emotions. J. Sci. Explor. 2004, 18, 253–273. [Google Scholar]
- OMG, Object Management Group Specification. Business Process Modeling & Notation 2.0. Available online: https://www.bpmn.org (accessed on 11 June 2020).
- Mendling, J. Metrics for Process Models: Empirical Foundations of Verification, Error Prediction, and Guidelines for Correctness, 6th ed.; Springer: Berlin/Heidelberg, Germany, 2008. [Google Scholar]
- Wohlin, C.; Runeson, P.; Höst, M.; Ohlsson, M.C.; Regnell, B.; Wesslen, A. Experimentation in Software Engineering—An Introduction, 1st ed.; Springer: Berlin/Heidelberg, Germany, 2012. [Google Scholar]
- Larmuseau, C.; Vanneste, P.; Cornelis, J.; Desmet, P.; Depaepe, F. Combining physiological data and subjective measurements to investigate cognitive load during complex learning. Frontline Learn. Res. 2019, 7, 57–74. [Google Scholar] [CrossRef]
- Mandryk, R.L.; Atkins, M.S. A fuzzy physiological approach for continuously modeling emotion during interaction with play technologies. Int. J. Hum. Comput. Stud. 2007, 65, 329–347. [Google Scholar] [CrossRef]
- Boucsein, W.; Fowles, D.C.; Grimnes, S.; Ben-Shakhar, G.; Roth, W.T.; Dawson, M.E.; Filion, D.L. Publication recommendations for electrodermal measurements. Psychophysiology 2012, 49, 1017–1034. [Google Scholar]
- Posada-Quintero, H.F.; Dimitrov, T.; Moutran, A.; Park, S.; Chon, K.H. Analysis of reproducibility of noninvasive measures of sympathetic autonomic control based on electrodermal activity and heart rate variability. IEEE Access 2019, 7, 22523–22531. [Google Scholar] [CrossRef]
- Momin, A.; Shahu, A.; Sanyal, S.; Chakraborty, P. Electrodermal activity and its effectiveness in cognitive research field. In Cognitive Informatics, Computer Modelling, and Cognitive Science; Elsevier: Amsterdam, The Netherlands, 2020; Volume 2, pp. 149–177. [Google Scholar]
- Fritz, T.; Begel, A.; Müller, S.C.; Yigit-Elliott, S.; Züger, M. Using psycho-physiological measures to assess task difficulty in software development. In Proceedings of the 36th International Conference on Software Engineering (ICSE), Hyderabad, India, 31 May–7 June 2014; pp. 402–413. [Google Scholar]
- Liu, Y.; Du, S. Psychological stress level detection based on electrodermal activity. Behav. Brain Res. 2018, 341, 50–53. [Google Scholar] [CrossRef] [PubMed]
- Khan, T.H.; Villanueva, I.; Vicioso, P.; Husman, J. Exploring relationships between electrodermal activity, skin temperature, and performance during. In Proceedings of the 49th IEEE Frontiers in Education Conference (FIE), Cincinnati, OH, USA, 16–19 October 2019; pp. 1–5. [Google Scholar]
- Kappeler-Setz, C.; Gravenhorst, F.; Schumm, J.; Arnrich, B.; Tröster, G. Towards long term monitoring of electrodermal activity in daily life. Pers. Ubiquitous Comput. 2013, 17, 261–271. [Google Scholar] [CrossRef]
- Posada-Quintero, H.F.; Florian, J.P.; Orjuela-Cañón, A.D.; Aljama-Corrales, T.; Charleston-Villalobos, S.; Chon, K.H. Power spectral density analysis of electrodermal activity for sympathetic function assessment. Ann. Biomed. Eng. 2016, 44, 3124–3135. [Google Scholar] [CrossRef]
- Pryss, R.; Schlee, W.; Hoppenstedt, B.; Reichert, M.; Spiliopoulou, M.; Langguth, B.; Breitmayer, M.; Probst, T. Applying Machine Learning to Daily-Life Data from the TrackYourTinnitus Mobile Health Crowdsensing Platform to Predict the Mobile Operating System Used with High Accuracy: Longitudinal Observational Study. J. Med. Internet Res. 2020, 22, e15547. [Google Scholar] [CrossRef] [PubMed]












| Process Modeling Elements | |||||||
|---|---|---|---|---|---|---|---|
| Process Model | Activity | Event | Gateway | Edge | Pool | Lane | Total |
| Easy | 6 | 2 | 4 | 13 | 1 | 1 | 27 |
| Complex | 10 | 2 | 6 | 19 | 1 | 3 | 41 |
| Group A | Group B | |||||
|---|---|---|---|---|---|---|
| PM | Mean SCL | SCR Peak | SCR Amp | Mean SCL | SCR Peak | SCR Amp |
| 1 | 11.12 (0.49) | 5.00 | 0.21 (0.09) | 5.83 (0.70) | 6.00 | 0.75 (0.27) |
| 2 | 4.83 (0.32) | 7.00 | 0.58 (0.32) | 2.82 (0.13) | 4.00 | 0.15 (0.09) |
| 3 | 3.16 (0.15) | 3.00 | 0.18 (0.12) | 4.82 (0.14) | 5.00 | 0.23 (0.10) |
| 4 | 2.79 (0.20) | 6.00 | 0.29 (0.08) | 4.87 (0.26) | 4.00 | 0.58 (0.31) |
| 5 | 2.01 (0.13) | 4.00 | 0.12 (0.06) | – | – | – |
| Avg | 4.78 (3.31) | 5.00 (1.41) | 0.28 (0.25) | 4.59 (1.16) | 4.75 (0.83) | 0.43 (0.33) |
| Group A | Group B | |||||
|---|---|---|---|---|---|---|
| PM | Mean SCL | SCR Peak | SCR Amp | Mean SCL | SCR Peak | SCR Amp |
| 1 | 10.44 (0.1) | 4.00 | 0.35 (0.06) | 6.46 (0.24) | 9.00 | 0.30 (0.15) |
| 2 | 4.45 (0.28) | 6.00 | 0.56 (0.23) | 2.74 (0.19) | 7.00 | 0.26 (0.23) |
| 3 | 2.24 (0.05) | 8.00 | 0.12 (0.04) | 4.90 (0.43) | 10.00 | 0.34 (0.21) |
| 4 | 3.04 (0.01) | 6.00 | 0.24 (0.12) | 2.98 (0.18) | 5.00 | 0.29 (0.09) |
| 5 | 1.83 (0.11) | 8.00 | 0.19 (0.10) | – | – | – |
| All | 4.40 (3.15) | 6.40 (1.50) | 0.29 (0.20) | 4.27 (1.54) | 7.75 (1.92) | 0.29 (0.19) |
| Easy Process Model | Complex Process Model | ||||||
|---|---|---|---|---|---|---|---|
| P | BM SCL | P | BM SCL | P | BM SCL | P | BM SCL |
| A1 | 11.64 (0.45) | B1 | 5.42 (0.78) | A1 | 10.60 (0.40) | B1 | 5.14 (0.52) |
| A2 | 4.12 (0.43) | B2 | 2.87 (0.22) | A2 | 4.10 (0.47) | B2 | 2.17 (0.39) |
| A3 | 3.53 (0.52) | B3 | 4.66 (0.69) | A3 | 2.51 (0.23) | B3 | 3.72 (0.84) |
| A4 | 2.47 (0.28) | B4 | 4.19 (0.67) | A4 | 2.64 (0.36) | B4 | 2.88 (0.61) |
| A5 | 2.14 (0.27) | - | - | A5 | 2.18 (0.53) | - | - |
| All | 4.56 (2.74) | All | 3.99 (2.56) | ||||
| Easy Process Model | Complex Process Model | ||||||
|---|---|---|---|---|---|---|---|
| P | BM SCR | P | BM SCR | P | BM SCR | P | BM SCR |
| A1 | 5.05 (0.74) | B1 | 5.75 (0.94) | A1 | 3.80 (0.75) | B1 | 4.55 (1.40) |
| A2 | 4.15 (1.01) | B2 | 4.20 (0.79) | A2 | 4.15 (0.96) | B2 | 4.65 (1.01) |
| A3 | 2.55 (0.74) | B3 | 4.75 (0.83) | A3 | 5.05 (1.24) | B3 | 4.50 (1.86) |
| A4 | 5.30 (1.68) | B4 | 3.65 (0.79) | A4 | 4.60 (1.59) | B4 | 4.70 (1.42) |
| A5 | 3.95 (1.16) | - | - | A5 | 4.90 (1.30) | - | - |
| All | 4.39 (0.95) | All | 4.55 (1.30) | ||||
| Easy Process Model | Complex Process Model | ||||||
|---|---|---|---|---|---|---|---|
| P | BM Amp | P | BM Amp | P | BM Amp | P | BM Amp |
| A1 | 0.22 (0.09) | B1 | 0.47 (0.19) | A1 | 0.33 (0.14) | B1 | 0.24 (0.09) |
| A2 | 0.55 (0.18) | B2 | 0.20 (0.05) | A2 | 0.60 (0.18) | B2 | 0.26 (0.15) |
| A3 | 0.16 (0.04) | B3 | 0.23 (0.12) | A3 | 0.18 (0.07) | B3 | 0.31 (0.12) |
| A4 | 0.26 (0.08) | B4 | 0.53 (0.17) | A4 | 0.24 (0.08) | B4 | 0.29 (0.12) |
| A5 | 0.15 (0.05) | - | - | A5 | 0.20 (0.07) | - | - |
| All | 0.31 (0.11) | All | 0.27 (0.11) | ||||
| PM | PM SCL | SCR Peak | SCR Amp |
|---|---|---|---|
| Easy | 4.70 (2.56) | 4.89 (1.20) | 0.37 (0.30) |
| Complex | 4.34 (2.57) | 7.00 (1.83) | 0.29 (0.19) |
© 2020 by the authors. Licensee MDPI, Basel, Switzerland. This article is an open access article distributed under the terms and conditions of the Creative Commons Attribution (CC BY) license (http://creativecommons.org/licenses/by/4.0/).
Share and Cite
Winter, M.; Pryss, R.; Probst, T.; Reichert, M. Towards the Applicability of Measuring the Electrodermal Activity in the Context of Process Model Comprehension: Feasibility Study. Sensors 2020, 20, 4561. https://doi.org/10.3390/s20164561
Winter M, Pryss R, Probst T, Reichert M. Towards the Applicability of Measuring the Electrodermal Activity in the Context of Process Model Comprehension: Feasibility Study. Sensors. 2020; 20(16):4561. https://doi.org/10.3390/s20164561
Chicago/Turabian StyleWinter, Michael, Rüdiger Pryss, Thomas Probst, and Manfred Reichert. 2020. "Towards the Applicability of Measuring the Electrodermal Activity in the Context of Process Model Comprehension: Feasibility Study" Sensors 20, no. 16: 4561. https://doi.org/10.3390/s20164561
APA StyleWinter, M., Pryss, R., Probst, T., & Reichert, M. (2020). Towards the Applicability of Measuring the Electrodermal Activity in the Context of Process Model Comprehension: Feasibility Study. Sensors, 20(16), 4561. https://doi.org/10.3390/s20164561

