Thermal Characterization of Phantoms Used for Quality Assurance of Deep Hyperthermia Systems
Abstract
1. Introduction
2. Materials and Methods
2.1. Phantoms Preparation and Assessment (Dielectric Properties)
2.2. MR Relaxometry Measurement Protocols
2.3. Thermal Measurements Set Up and Protocols
3. Results and Discussion
3.1. MR Relaxometry Properties of the Phantoms
3.2. Thermal Properties of the Three Phantoms Over Time
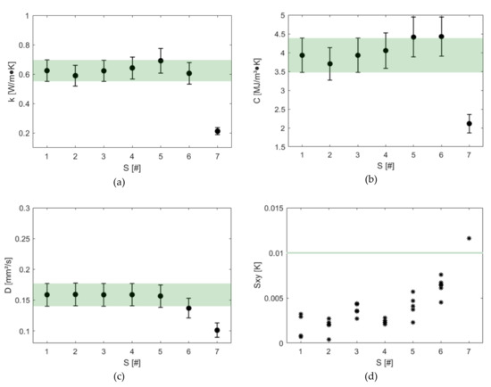
3.3. Sensitivity Results
4. Conclusions
Author Contributions
Funding
Conflicts of Interest
References
- Fiaschetti, G.; Browne, J.E.; Cavagnaro, M.; Farina, L.; Ruvio, G. Tissue mimicking materials for multi-modality breast phantoms. In Proceedings of the 2018 2nd URSI Atlantic Radio Science Meeting (AT-RASC), Meloneras, Gran Canaria, Spain, 28 May–1 June; IEEE: Piscataway, NJ, USA, 2018; pp. 1–6. [Google Scholar]
- Cavagnaro, M.; Pinto, R.; Lopresto, V. Phantoms in hyperthermia and thermal ablation applications at microwave frequencies: A review. In Proceedings of the 2019 European Microwave Conference in Central Europe (EuMCE), Prague, Czech Republic, 13–15 May; IEEE: Piscataway, NJ, USA, 2019; pp. 538–541. [Google Scholar]
- Cappiello, G.; Paulides, M.M.; Drizdal, T.; O’Loughlin, D.; O’Halloran, M.; Glavin, M.; van Rhoon, G.; Jones, E. Robustness of time-multiplexed hyperthermia to temperature dependent thermal tissue properties. IEEE J. Electromagn. Rf Microw. Med. Biol. 2020, 4, 126–132. [Google Scholar] [CrossRef]
- Ruvio, G.; Solimene, R.; Cuccaro, A.; Fiaschetti, G.; Fagan, A.J.; Cournane, S.; Cooke, J.; Ammann, M.J.; Tobon, J.; Browne, J.E. Multimodal breast phantoms for microwave, ultrasound, mammography, magnetic resonance and computed tomography imaging. Sensors 2020, 20, 2400. [Google Scholar] [CrossRef] [PubMed]
- Mulder, H.T.; Curto, S.; Paulides, M.M.; Franckena, M.; van Rhoon, G.C. Systematic quality assurance of the BSD2000-3D MR-compatible hyperthermia applicator performance using MR temperature imaging. Int. J. Hyperth. 2018, 35, 305–313. [Google Scholar] [CrossRef] [PubMed]
- Schneider, C.J.; Olmi, R.; van Dijk, J.D.P. Phantom design: Applicability and physical properties. In Thermoradiotherapy and Thermochemotherapy; Seegenschmiedt, M.H., Fessenden, P., Vernon, C.C., Eds.; Medical Radiology; Springer: Berlin/Heidelberg, Germany, 1995; pp. 381–397. ISBN 978-3-642-63382-9. [Google Scholar]
- Curto, S.; Aklan, B.; Mulder, T.; Mils, O.; Schmidt, M.; Lamprecht, U.; Peller, M.; Wessalowski, R.; Lindner, L.H.; Fietkau, R.; et al. Quantitative, multi-institutional evaluation of mr thermometry accuracy for deep-pelvic MR-hyperthermia systems operating in multi-vendor MR-systems using a new anthropomorphic phantom. Cancers 2019, 11, 1709. [Google Scholar] [CrossRef] [PubMed]
- Van Stam, G.; Kok, H.P.; Hulshof, M.C.C.M.; Kolff, M.W.; van Tienhoven, G.; Sijbrands, J.; Bakker, A.; Zum Vörde Sive Vörding, P.J.; Oldenborg, S.; de Greef, M.; et al. A flexible 70 MHz phase-controlled double waveguide system for hyperthermia treatment of superficial tumours with deep infiltration. Int. J. Hyperth. 2017, 33, 796–809. [Google Scholar] [CrossRef] [PubMed][Green Version]
- Kok, H.P.; den Berg, C.A.T.V.; Haaren, P.M.A.V.; Crezee, J. Artefacts in intracavitary temperature measurements during regional hyperthermia. Phys. Med. Biol. 2007, 52, 5157–5171. [Google Scholar] [CrossRef] [PubMed]
- Dewhirst, M.W.; Viglianti, B.L.; Lora-Michiels, M.; Hanson, M.; Hoopes, P.J. Basic principles of thermal dosimetry and thermal thresholds for tissue damage from hyperthermia. Int. J. Hyperth. 2003, 19, 267–294. [Google Scholar] [CrossRef] [PubMed]
- De Greef, M.; Kok, H.P.; Correia, D.; Bel, A.; Crezee, J. Optimization in hyperthermia treatment planning: The impact of tissue perfusion uncertainty: Perfusion uncertainty in hyperthermia treatment optimization. Med. Phys. 2010, 37, 4540–4550. [Google Scholar] [CrossRef] [PubMed]
- Lopresto, V.; Pinto, R.; Farina, L.; Cavagnaro, M. Microwave thermal ablation: Effects of tissue properties variations on predictive models for treatment planning. Med Eng. Phys. 2017, 46, 63–70. [Google Scholar] [CrossRef] [PubMed]
- Rossmann, C.; Haemmerich, D. Review of temperature dependence of thermal properties, dielectric properties, and perfusion of biological tissues at hyperthermic and ablation temperatures. Crit. Rev. Biomed. Eng. 2014, 42, 467–492. [Google Scholar] [CrossRef]
- Guntur, S.R.; Lee, K.I.; Paeng, D.-G.; Coleman, A.J.; Choi, M.J. Temperature-dependent thermal properties of ex vivo liver undergoing thermal ablation. Ultrasound. Med. Biol. 2013, 39, 1771–1784. [Google Scholar] [CrossRef] [PubMed]
- Lopresto, V.; Argentieri, A.; Pinto, R.; Cavagnaro, M. Temperature dependence of thermal properties of ex vivo liver tissue up to ablative temperatures. Phys. Med. Biol. 2019, 64, 105016. [Google Scholar] [CrossRef] [PubMed]
- Silva, N.P.; Bottiglieri, A.; Conceição, R.C.; O’Halloran, M.; Farina, L. Characterisation of ex vivo liver thermal properties for electromagnetic-based hyperthermic therapies. Sensors 2020, 20, 3004. [Google Scholar] [CrossRef] [PubMed]
- Silva, N.P.; Bottiglieri, A.; Conceição, R.C.; O’Halloran, M.; Farina, L. Evaluation of thermal properties of ex vivo kidney up to ablative temperatures. In Proceedings of the 8th European Medical and Biological Engineering Conference (EMBEC), Portorož, Slovenia, 29 November–3 December 2020. (accepted). [Google Scholar]
- Silva, N.P.; Bottiglieri, A.; Conceição, R.C.; O’Halloran, M.; Farina, L. Thermal properties of Ex vivo biological tissue at room and body temperature. In Proceedings of the 14th European Conference on Antennas and Propagation (EuCAP), Copenhagen, Denmark, 15–20 March 2020. [Google Scholar]
- Thangavel, K.; Sarıtaş, E.U. Aqueous paramagnetic solutions for MRI phantoms at 3 T: A detailed study on relaxivities. Turk. J. Electr. Eng. Comput. Sci. 2017, 25, 2108–2121. [Google Scholar] [CrossRef]
- Barral, J.; Gudmundson, E.; Etezadi-Amoli, M.; Stikov, N. Gold Standard T1 Mapping. Available online: http://www-mrsrl.stanford.edu/~jbarral/t1map.html#download (accessed on 20 February 2020).
- Barral, J.K.; Gudmundson, E.; Stikov, N.; Etezadi-Amoli, M.; Stoica, P.; Nishimura, D.G. A robust methodology for in vivo T1 mapping. Magn. Reson. Med. 2010, 64, 1057–1067. [Google Scholar] [CrossRef] [PubMed]
- Gold, G.E.; Han, E.; Stainsby, J.; Wright, G.; Brittain, J.; Beaulieu, C. Musculoskeletal MRI at 3.0 T: Relaxation Times and Image Contrast. Am. J. Roentgenol. 2004, 183, 343–351. [Google Scholar] [CrossRef] [PubMed]
- Tofts, P. Quantitative MRI of the Brain: Measuring Changes Caused by Disease; Wiley: Chichester, West Sussex, UK; Hoboken, NJ, USA, 2010; ISBN 978-0-470-86952-9. [Google Scholar]
- Rieke, V.; Butts Pauly, K. MR thermometry. J. Magn. Reson. Imaging 2008, 27, 376–390. [Google Scholar] [CrossRef] [PubMed]




| Name | Step | Dimension [mm] × [mm] × [mm] | Measurements |
|---|---|---|---|
| S1 | bulk | >(30 × 36 × 30) | 6 |
| S2 | 15 mm | 30 × 36 × 30 | 5 |
| S3 | 10 mm | 20 × 26 × 30 | 5 |
| S4 | 8 mm | 16 × 22 × 30 | 5 |
| S5 | 6 mm | 12 × 18 × 30 | 5 |
| S6 | 4 mm | 8 × 14 × 30 | 5 |
| S7 | 2.5 mm | 5 × 11 × 30 | 1 |
| Phantom | Frequency | Dielectric Property | Measured Value | Reference Value |
|---|---|---|---|---|
| High-viscosity | 70 MH | Relative permittivity | 80.0 | |
| Conductivity [S/m] | 0.45 | |||
| 100 MH | Relative permittivity | 79.7 | 79.7 [5] | |
| Conductivity [S/m] | 0.45 | 0.44 [5] | ||
| 434 MHz | Relative permittivity | 78.4 | ||
| Conductivity [S/m] | 0.51 | |||
| Semi-solid | 70 MH | Relative permittivity | 77.7 | 75 [6] |
| Conductivity [S/m] | 0.60 | 0.55 [6] | ||
| 100 MH | Relative permittivity | 77.8 | ||
| Conductivity [S/m] | 0.60 | |||
| 434 MHz | Relative permittivity | 77.4 | ||
| Conductivity [S/m] | 0.66 | |||
| Solid | 70 MH | Relative permittivity | 77.0 | |
| Conductivity [S/m] | 0.49 | |||
| 100 Mz | Relative permittivity | 76.9 | 78.6 [7] | |
| Conductivity [S/m] | 0.49 | 0.41 [7] | ||
| 434 MHz | Relative permittivity | 76.6 | ||
| Conductivity [S/m] | 0.54 |
| Phantom | T1 (ms) | T2 (ms) |
|---|---|---|
| High-viscosity | 2495 ± 92 | 870 ± 68 |
| Semi-solid | 2410 ± 247 | 742 ± 54 |
| Solid | 1917 ± 159 | 67 ± 1.8 |
© 2020 by the authors. Licensee MDPI, Basel, Switzerland. This article is an open access article distributed under the terms and conditions of the Creative Commons Attribution (CC BY) license (http://creativecommons.org/licenses/by/4.0/).
Share and Cite
Farina, L.; Sumser, K.; van Rhoon, G.; Curto, S. Thermal Characterization of Phantoms Used for Quality Assurance of Deep Hyperthermia Systems. Sensors 2020, 20, 4549. https://doi.org/10.3390/s20164549
Farina L, Sumser K, van Rhoon G, Curto S. Thermal Characterization of Phantoms Used for Quality Assurance of Deep Hyperthermia Systems. Sensors. 2020; 20(16):4549. https://doi.org/10.3390/s20164549
Chicago/Turabian StyleFarina, Laura, Kemal Sumser, Gerard van Rhoon, and Sergio Curto. 2020. "Thermal Characterization of Phantoms Used for Quality Assurance of Deep Hyperthermia Systems" Sensors 20, no. 16: 4549. https://doi.org/10.3390/s20164549
APA StyleFarina, L., Sumser, K., van Rhoon, G., & Curto, S. (2020). Thermal Characterization of Phantoms Used for Quality Assurance of Deep Hyperthermia Systems. Sensors, 20(16), 4549. https://doi.org/10.3390/s20164549

