An Airborne Offner Imaging Hyperspectrometer with Radially-Fastened Primary Elements
Abstract
1. Introduction
2. Materials and Methods
2.1. Optical Modeling
2.2. Optical Experiment
3. Results
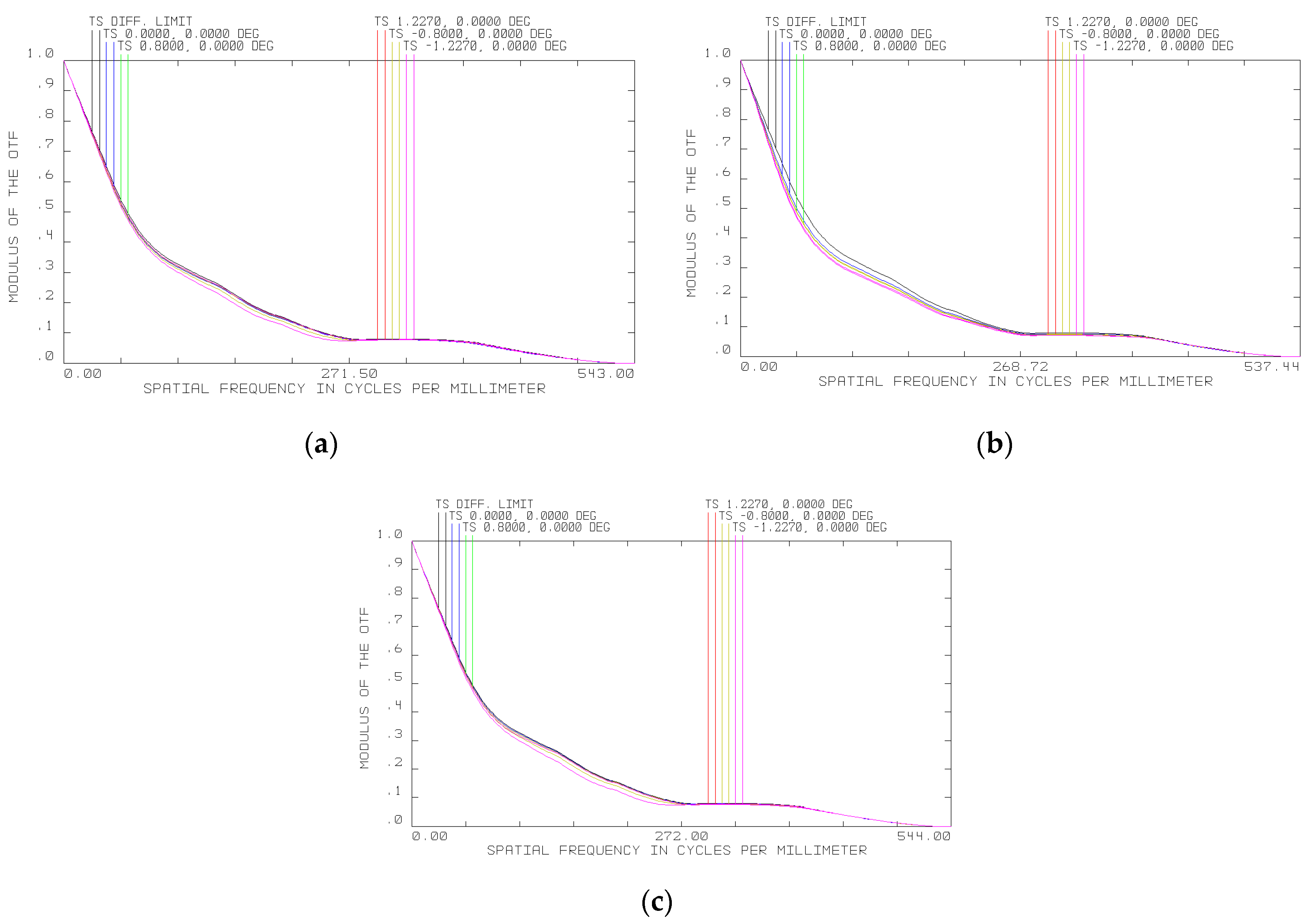
3.1. Modeling the Hyperspectrometer Objective
3.2. Modeling a Spectral Unit of the Hyperspectrometer
3.3. Experimental Characterization of Hyperspectrometer
4. Discussion
5. Conclusions
Author Contributions
Funding
Acknowledgments
Conflicts of Interest
References
- Offner, A. New concepts in projection mask aligners. Opt. Eng. 1975, 14, 130–132. [Google Scholar] [CrossRef]
- Fisher, J.; Baumback, M.; Bowles, J.; Grossmann, J.; Antoniades, J. Comparison of low-cost hyperspectral sensors. In Proceedings of the Imaging Spectrometry IV, San Diego, CA, USA, 16 October 1998; Volume 3438, pp. 23–30. [Google Scholar]
- Zhao, M.; Jiang, Y.; Yang, S.; Li, W. Geometric Aberration Theory of Offner Imaging Spectrometers. Sensors 2019, 19, 4046. [Google Scholar] [CrossRef] [PubMed]
- Murty, M.V.R.K. Offner 1:1 system: Some further uses. Opt. Eng. 1985, 24, 326–328. [Google Scholar] [CrossRef]
- Murphy, D.C. Two Offner-based IR camera optical designs. Exp. Astron. 1994, 3, 141–142. [Google Scholar] [CrossRef]
- Kwo, D.; Lawrence, G.; Chrisp, M. Design of a grating spectrometer from a 1:1 Offner mirror system. In Proceedings of the Current Developments in Optical Engineering II, San Diego, CA, USA, 1 January 1987; Volume 818, pp. 275–279. [Google Scholar]
- Haring, R.E.; Vanstone, G.; Nguyen, F.; Rodil, C. Optomechanical design of the Incubator Wide Field of View Imaging Spectrometer. In Proceedings of the Current Developments in Lens Design and Optical Systems Engineering, San Diego, CA, USA, 24 October 2000; Volume 4093, pp. 132–141. [Google Scholar]
- Prieto-Blanco, X.; De La Fuente, R. Compact Offner-Wynne imaging spectrometers. Opt. Commun. 2014, 328, 143–150. [Google Scholar] [CrossRef]
- Prieto-Blanco, X.; González-Nuñez, H.; De La Fuente, R. Off-plane anastigmatic imaging in Offner spectrometers. J. Opt. Soc. Am. A Opt. Image Sci. Vis. 2011, 28, 2332–2339. [Google Scholar] [CrossRef] [PubMed]
- Prieto-Blanco, X.; Montero-Orille, C.; González-Núñez, H.; Mouriz, M.D.; Lago, E.L.; de la Fuente, R. The Offner imaging spectrometer in quadrature. Opt. Express 2010, 18, 12756–12769. [Google Scholar] [CrossRef] [PubMed]
- Prieto-Blanco, X.; Montero-Orille, C.; Couce, B.; De La Fuente, R. Analytical design of an Offner imaging spectrometer. Opt. Express 2006, 14, 9156–9168. [Google Scholar] [CrossRef] [PubMed]
- Cheng, X.; Hong, Y.-F.; Zhang, B.; Xue, Q.-S. Design of compact Offner hyperspectral imaging system with Féry prism. Opt. Precis. Eng. Pap. 2010, 18, 1773–1780. [Google Scholar]
- Liu, G.; Wu, G.; Ling, Q.; Wang, Q.; Du, X. Modelling of Offner imaging spectrometers and aberration analysis. Acta Opt. Sin. 2011, 31, 0322001. [Google Scholar]
- Ji, Y.; Li, J.; Zhou, J.; Shen, W. Analytical design and implementation of an imaging spectrometer. Appl. Opt. 2015, 54, 517–526. [Google Scholar] [CrossRef]
- Gao, Z.; Fang, W.; Song, B.; Jiang, M.; Wang, Y. Design of off-plane Offner spectrometer with high spectral resolution. Acta Opt. Sin. 2016, 36, 0211002. [Google Scholar]
- González-Núñez, H.; de la Fuente, R. Offner imaging spectrometers. Opt. Pura Apl. 2017, 50, 37–47. [Google Scholar] [CrossRef]
- Karpeev, S.V.; Khonina, S.N.; Kharitonov, S.I. Study of the diffraction grating on the convex surface as a dispersive element. Comput. Opt. 2015, 39, 211–217. [Google Scholar] [CrossRef]
- Rastorguev, A.A.; Kharitonov, S.I.; Kazanskiy, N.L. Modeling the illuminance distribution in the detection plane of a spaceborne Offner hyperspectrometer. Comput. Opt. 2017, 41, 399–405. [Google Scholar] [CrossRef][Green Version]
- Podlipnov, V.V.; Skidanov, R.V. Calibration of an imaging hyperspectrometer. Comput. Opt. 2017, 41, 869–874. [Google Scholar] [CrossRef]
- Kazanskiy, N.L.; Morozov, A.A.; Nikonorov, A.V.; Petrov, M.V.; Podlipnov, V.V.; Skidanov, R.V.; Fursov, V.A. Experimental study of optical characteristics of a satellite-based Offner hyperspectrometer. In Proceedings of the Optical Technologies in Telecommunications 2017, Kazan, Russia, 6 June 2018; Volume 10774, p. 1077411. [Google Scholar]
- Rastorguev, A.A.; Kharitonov, S.I.; Kazanskiy, N.L. Modeling of arrangement tolerances for the optical elements in a spaceborne Offner imaging hyperspectrometer. Comput. Opt. 2018, 42, 424–431. [Google Scholar] [CrossRef]
- Kazanskiy, N.L.; Kharitonov, S.I.; Karsakov, A.V.; Khonina, S.N. Modeling action of a hyperspectrometer based on the Offner scheme within geometric optics. Comput. Opt. 2014, 38, 271–280. [Google Scholar] [CrossRef]
- Jun, H.L.; Kyung, I.K.; Jong, H.P. A very compact imaging spectrometer for the micro-satellite STSAT3. Int. J. Remote Sens. 2011, 32, 3935–3946. [Google Scholar]
- Skidanov, R.V.; Blank, V.A. A dual-range spectrometer based on the Offner scheme. Comput. Opt. 2016, 40, 968–971. [Google Scholar] [CrossRef]










| Element | Radius 1 (mm) | Radius 2 (mm) | Thickness (mm) | Diameter (mm) | Material |
|---|---|---|---|---|---|
| Lens 1 | 247 | 395 | 7.34 | 65 | Silica |
| Lens 2 | –162 | –215 | 6.17 | 65 | Silica |
| Major objective mirror | –300 | – | 10 | 70 | Silica |
| Minor objective mirror | –215 | – | 6,17 | 28.7 | Silica |
| Lens 3 | –75 | –120 | 9 | 16 | Silica |
| Lens 4 | 42.7 | 39.5 | 7.5 | 15 | Silica |
| Major spectrometer mirror | –159.64 | – | 20 | 90 | Silica |
| Diffraction grating | –80.6 | – | 10 | 25.4 | Silica |
| Segment | 1 | 2 | 3 | 4 | 5 |
|---|---|---|---|---|---|
| Length (mm) | 96.7 | 4.79 | 7 | 160 | 78.72 |
| Temperature (°C) | Mirror Shift (µm) | Spherical Reflection Diffraction Grating Shift (µm) |
|---|---|---|
| −40 | 1450 | 730 |
| −35 | 1330 | 670 |
| −30 | 1210 | 610 |
| −25 | 1090 | 550 |
| −20 | 970 | 490 |
| −15 | 850 | 430 |
| −10 | 725 | 360 |
| −5 | 605 | 300 |
| 0 | 480 | 240 |
| 5 | 360 | 180 |
| 10 | 240 | 120 |
| 15 | 120 | 60 |
| 20 | 0 | 0 |
| 25 | −54 | −25 |
| 30 | −110 | −55 |
| 35 | −160 | −80 |
| 40 | −220 | −110 |
| 45 | −270 | −135 |
© 2020 by the authors. Licensee MDPI, Basel, Switzerland. This article is an open access article distributed under the terms and conditions of the Creative Commons Attribution (CC BY) license (http://creativecommons.org/licenses/by/4.0/).
Share and Cite
Kazanskiy, N.; Ivliev, N.; Podlipnov, V.; Skidanov, R. An Airborne Offner Imaging Hyperspectrometer with Radially-Fastened Primary Elements. Sensors 2020, 20, 3411. https://doi.org/10.3390/s20123411
Kazanskiy N, Ivliev N, Podlipnov V, Skidanov R. An Airborne Offner Imaging Hyperspectrometer with Radially-Fastened Primary Elements. Sensors. 2020; 20(12):3411. https://doi.org/10.3390/s20123411
Chicago/Turabian StyleKazanskiy, Nikolay, Nikolay Ivliev, Vladimir Podlipnov, and Roman Skidanov. 2020. "An Airborne Offner Imaging Hyperspectrometer with Radially-Fastened Primary Elements" Sensors 20, no. 12: 3411. https://doi.org/10.3390/s20123411
APA StyleKazanskiy, N., Ivliev, N., Podlipnov, V., & Skidanov, R. (2020). An Airborne Offner Imaging Hyperspectrometer with Radially-Fastened Primary Elements. Sensors, 20(12), 3411. https://doi.org/10.3390/s20123411

