A Fiber Bragg Grating Borehole Deformation Sensor for Stress Measurement in Coal Mine Rock
Abstract
1. Introduction
2. Measurement Principles of Stress in Mine Rock
2.1. Relationship Between Stresses in Rock and Borehole Deformations
2.2. Measurement Methods of Stresses in Coal Mine Rock
3. FBG Borehole Deformation Sensor
3.1. Principle of the FBG Sensing Ring
3.2. Sensor Design
3.3. Two Built-in Checks on Test Data
3.4. Accuracy Calibration
- (1)
- As shown in Figure 6, the sensor was placed into the calibration setup, which can apply different displacement on the pistons, and was wired to the interrogation system. The interrogation system used in this study was based on a Fabry–Perot laser light source and had a resolution of 1.0 pm. An initial displacement was applied onto the two pistons, and the wavelengths of FBGs for the initial conditions were recorded.
- (2)
- A certain amount of displacement is applied onto the pistons in the d1 direction (Figure 4), step by step, until the predesigned displacement was reached (0.1 mm for each step and a total of 1.0 mm). For each step, the displacement was maintained for 5 min, and the wavelengths of FBGs were recorded twice. The first was recorded immediately after the displacement was applied, and the second was recorded after 5 min. The stability of the wavelengths was checked.
- (3)
- Backing out of the applied displacement step by step (0.1 mm for each step). Similarly, for each step, the wavelengths of FBGs were recorded twice, and the stability of wavelengths were checked as well. This procedure was continued with the same increments until the initial point on the micrometer was reached. This zero displacement will be the zero-displacement reading for the second run.
- (4)
- The relationship between the applied displacement and the wavelength shift of FBG can be obtained.
- (5)
- The above calibration procedure is then repeated for the other transducer rings. Since each ring of the sensor is calibrated separately, the predefined spacing between transducer rings inside the sensor has no effect on the accuracy of the sensor.
3.5. Temperature Compensation
4. Laboratory Tests on the FBG Sensor
4.1. Description of the Model Test
- (1)
- Since the plexiglass is homogeneous and isotropic, as shown in Figure 9, a Plexiglass block (300 mm × 300 mm × 250 mm) was prepared. The Plexiglass has a Young’s modulus of 3.1 GPa and a Poisson’s ratio of 0.23.
- (2)
- A small hole with a diameter of 36.5 mm was drilled at the center of one face. The sensor was then placed into the small hole and wired to the interrogation system.
- (3)
- The Plexiglass block containing the sensor was placed on the stiff servo-controlled testing machine. For the tests in this study, only the vertical load (p) was applied by the vertical actuator, and the wavelengths of the FBGs were monitored.
- (4)
- The stresses in the plane perpendicular to the hole axis were calculated by the wavelength shifts of FBGs, and the normal stress (σxx) in the vertical direction was compared with the applied load (p).
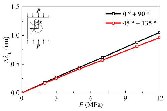
4.2. Test Results
5. Application in a Coal Mine
5.1. Description of the Coal Mine
5.2. Test Procedure
5.3. Stresses in Rock
6. Conclusions
- (1)
- The sensor converts borehole deformations into optical fiber strain by means of four transducer rings. For each ring, two FBGs are bonded with the ring to measure the strain in the transducer ring, and a reference FBG subjected to the same thermal load but free from mechanical load is introduced to remove the influence of temperature. The wavelength shift of the bonded FBG with applied diametral displacement or temperature is perfectly linear, and the sensor has an accuracy of approximately 0.3–0.5 × 10−3 mm, which corresponds to a sufficient stress accuracy for a mine rock.
- (2)
- The sensor contains two built-in checks on the accuracy of the test. First, the wavelength shifts of two bonded FBGs on each ring vary equally when the borehole deforms. Second, the sum of the diametral displacements recorded by the first and the third rings are equal to the sum recorded by the other two rings. The two checks on the tests data are easily to perform, and they can ensure the reliability and accuracy of test results.
- (3)
- The developed sensor can withstand downhole conditions in coal mines, and it performed well in the field over the whole mining process. By using the presented sensor, the in situ stresses in the roof of a coal mine were determined, and the long-term stress changes in the roof were also monitored. These results may help in the design of the roadway supporting and the prevention of rock bursts.
Author Contributions
Funding
Conflicts of Interest
References
- Fairhurst, C. Stress estimation in rock: A brief history and review. Int. J. Rock Mech. Min. Sci. 2003, 40, 957–973. [Google Scholar] [CrossRef]
- Amadei, B.; Stephansson, O. Rock Stress and Its Measurement; Springer Science and Business Media LLC: Berlin/Heidelberg, Germany, 1997. [Google Scholar]
- Feng, C.; Zhang, P.; Qin, X.; Meng, W.; Tan, C.; Qun-Ce, C. Near-surface stress measurements in the Longmenshan fault belt after the 2008 Wenchuan Ms8.0 earthquake. Int. J. Rock Mech. Min. Sci. 2015, 77, 358–377. [Google Scholar] [CrossRef]
- Kang, H.; Zhang, X.; Si, L.; Wu, Y.; Gao, F. In-situ stress measurements and stress distribution characteristics in underground coal mines in China. Eng. Geol. 2010, 116, 333–345. [Google Scholar] [CrossRef]
- Leeman, E. The determination of the complete state of stress in rock in a single borehole—Laboratory and underground measurements. Int. J. Rock Mech. Min. Sci. Géoméch. Abstr. 1968, 5, 31–38. [Google Scholar] [CrossRef]
- Worotnicki, G. CSIRO Triaxial Stress Measurement Cell. In Rock Testing and Site Characterization; Elsevier BV: Amsterdam, The Netherlands, 1993; Volume 3, pp. 329–394. [Google Scholar]
- Obert, L.; Merrill, R.H.; Morgan, T.A. Borehole deformation gauge for determining the stress in mine rock. In US Bureau of Mines Report of Investigation; US Department of the Interior: Washington, DC, USA, 1962; p. 5978. [Google Scholar]
- Thompson, P. Borehole deformation gauge for stress determination in deep boreholes. In Proceedings of the Rock Mechanics Contributions and Challenges: Proceedings 31st US Symposium, Golden, CO, USA, 18–20 June 1990; pp. 579–586. [Google Scholar]
- Wang, C.; Wang, Y.; Han, Z.; Wang, J.; Zou, X. A system for measuring borehole diametric deformation based on mechanical contact and micro-optical imaging. Measurement 2018, 130, 191–197. [Google Scholar] [CrossRef]
- Ljunggren, C.; Chang, Y.; Janson, T.; Christiansson, R. An overview of rock stress measurement methods. Int. J. Rock Mech. Min. Sci. 2003, 40, 975–989. [Google Scholar] [CrossRef]
- Sjöberg, J.; Christiansson, R.; Hudson, J. ISRM Suggested Methods for rock stress estimation—Part 2: Overcoring methods. Int. J. Rock Mech. Min. Sci. 2003, 40, 999–1010. [Google Scholar] [CrossRef]
- Han, H.X.; Yin, S. Determination of In-Situ Stress and Geomechanical Properties from Borehole Deformation. Energies 2018, 11, 131. [Google Scholar] [CrossRef]
- Lingle, R.; Nelson, P.H. In situ measurements of stress change induced by thermal load: A case history in granitic rock. In Proceedings of the 23rd Symposium on Rock Mechanics, Berkeley, CA, USA, 25–27 August 1982; pp. 837–845. [Google Scholar]
- Mihailov, S.J. Fiber Bragg Grating Sensors for Harsh Environments. Sensors 2012, 12, 1898–1918. [Google Scholar] [CrossRef]
- Wu, G.; Chen, W.; Dai, Y.; Yang, J.; Tan, X.; Tian, H. Application of a type of strain block FBG sensor for strain measurements of squeezing rock in a deep-buried tunnel. Meas. Sci. Technol. 2017, 28, 115001. [Google Scholar] [CrossRef]
- Kuang, K.; Cantwell, W.J.; Scully, P.J. An evaluation of a novel plastic optical fiber sensor for axial strain and bend measurements. Meas. Sci. Technol. 2002, 13, 1523–1534. [Google Scholar] [CrossRef]
- Li, Y.; Wang, H.; Cai, W.; Li, S.; Zhang, Q. Stability monitoring of surrounding rock mass on a forked tunnel using both strain gauges and FBG sensors. Measurement 2020, 153, 107449. [Google Scholar] [CrossRef]
- Zhao, Y.; Zhang, N.; Si, G.; Li, X. Study on the Optimal Groove Shape and Glue Material for Fiber Bragg Grating Measuring Bolts. Sensors 2018, 18, 1799. [Google Scholar] [CrossRef] [PubMed]
- Guo, X.; Wang, B.; Ma, Z.; Wang, Z. Testing Mechanical Properties of Rock Bolt under Different Supports Using Fiber Bragg Grating Technology. Sensors 2019, 19, 4098. [Google Scholar] [CrossRef] [PubMed]
- Metje, N.; Chapman, D.; Rogers, C.; Henderson, P.; Beth, M. An Optical Fiber Sensor System for Remote Displacement Monitoring of Structures — Prototype Tests in the Laboratory. Struct. Heal. Monit. 2008, 7, 51–63. [Google Scholar] [CrossRef]
- Wu, Q.; Semenova, Y.; Wang, P.; Hatta, A.; Farrell, G. Experimental demonstration of a simple displacement sensor based on a bent single-mode–multimode–single-mode fiber structure. Meas. Sci. Technol. 2011, 22, 25203. [Google Scholar] [CrossRef]
- Xu, N.; Yin, J.-H.; Liu, H. A new measurement approach for deflection monitoring of large-scale bored piles using distributed fiber sensing technology. Measurement 2018, 117, 444–454. [Google Scholar] [CrossRef]
- Kim, N.S.; Cho, N.S. Estimating deflection of a simple beam model using fiber optic Bragg-grating sensors. Exp. Mech. 2004, 44, 433–439. [Google Scholar] [CrossRef]
- Yin, J.-H.; Zhou, W.-H. Influence of Grouting Pressure and Overburden Stress on the Interface Resistance of a Soil Nail. J. Geotech. Geoenviron. Eng. 2009, 135, 1198–1208. [Google Scholar] [CrossRef]
- Markowski, K.; Araszkiewicz, P.; Bojarczuk, J.; Perlicki, K. High-sensitivity chirped tapered fiber-Bragg-grating-based Fabry–Perot cavity for strain measurements. Opt. Lett. 2020, 45, 2838. [Google Scholar] [CrossRef]
- Albert, J.; Caucheteur, C.; Shao, L. Tilted fiber Bragg grating sensors. Laser Photon. Rev. 2012, 7, 83–108. [Google Scholar] [CrossRef]
- Hudson, J.A.; Cornet, F.; Christiansson, R. ISRM Suggested Methods for rock stress estimation—Part 1: Strategy for rock stress estimation. Int. J. Rock Mech. Min. Sci. 2003, 40, 991–998. [Google Scholar] [CrossRef]
- Haran, F.M.; Rew, J.K.; Foote, P.D. A strain-isolated fibre Bragg grating sensor for temperature compensation of fibre Bragg grating strain sensors. Meas. Sci. Technol. 1998, 9, 1163–1166. [Google Scholar] [CrossRef]















| Load, p MPa | σxx MPa | σyy MPa | τxy MPa | Deviation % |
|---|---|---|---|---|
| 2.0 | 2.11 | −0.01 | −0.03 | 5.33 |
| 3.0 | 3.18 | −0.05 | −0.03 | 6.12 |
| 5.0 | 5.26 | −0.08 | −0.05 | 5.23 |
| 7.0 | 7.26 | −0.19 | −0.08 | 3.74 |
| 10.0 | 10.38 | −0.31 | −0.13 | 3.75 |
| 12.0 | 12.40 | −0.40 | −0.13 | 3.31 |
| 0° | 45° | 90° | 135° | 0° + 90° | 45° + 135° | |
|---|---|---|---|---|---|---|
| No.1 (left) | −0.108 | −0.029 | −0.070 | −0.138 | −0.178 | −0.167 |
| No.2 (right) | −0.110 | −0.039 | −0.066 | −0.138 | −0.176 | −0.177 |
| Average | −0.109 | −0.034 | −0.068 | −0.138 | −0.177 | −0.172 |
| 0° | 45° | 90° | 135° | 0° + 90° | 45° + 135° | |
|---|---|---|---|---|---|---|
| No.1 (left) | −0.128 | −0.063 | −0.039 | −0.109 | −0.170 | −0.172 |
| No.2 (right) | −0.124 | −0.061 | −0.031 | −0.107 | −0.158 | −0.168 |
| Average | −0.126 | −0.062 | −0.035 | −0.108 | −0.161 | −0.170 |
| 0° | 45° | 90° | 135° | 0° + 90° | 45° + 135° | |
|---|---|---|---|---|---|---|
| No.1 (left) | −0.126 | −0.107 | −0.065 | −0.068 | −0.191 | −0.175 |
| No.2 (right) | −0.130 | −0.109 | −0.057 | −0.078 | −0.187 | −0.187 |
| Average | −0.128 | −0.108 | −0.061 | −0.073 | −0.189 | −0.181 |
| Stress Components | σxx | σyy | σzz | τxy | τyz | τxz |
|---|---|---|---|---|---|---|
| Magnitude/MPa | 13.82 | 29.35 | 20.32 | −2.73 | 0.03 | 2.77 |
© 2020 by the authors. Licensee MDPI, Basel, Switzerland. This article is an open access article distributed under the terms and conditions of the Creative Commons Attribution (CC BY) license (http://creativecommons.org/licenses/by/4.0/).
Share and Cite
Zhao, W.; Zhong, K.; Chen, W. A Fiber Bragg Grating Borehole Deformation Sensor for Stress Measurement in Coal Mine Rock. Sensors 2020, 20, 3267. https://doi.org/10.3390/s20113267
Zhao W, Zhong K, Chen W. A Fiber Bragg Grating Borehole Deformation Sensor for Stress Measurement in Coal Mine Rock. Sensors. 2020; 20(11):3267. https://doi.org/10.3390/s20113267
Chicago/Turabian StyleZhao, Wusheng, Kun Zhong, and Weizhong Chen. 2020. "A Fiber Bragg Grating Borehole Deformation Sensor for Stress Measurement in Coal Mine Rock" Sensors 20, no. 11: 3267. https://doi.org/10.3390/s20113267
APA StyleZhao, W., Zhong, K., & Chen, W. (2020). A Fiber Bragg Grating Borehole Deformation Sensor for Stress Measurement in Coal Mine Rock. Sensors, 20(11), 3267. https://doi.org/10.3390/s20113267
