HABITAT: An IoT Solution for Independent Elderly
Abstract
:1. Introduction
2. Materials and Methods
2.1. User-Centered Design Methodology
- Definition of primary users, secondary users and stakeholders, and analysis of the relative needs concerning the design of the smart objects and the system within the HABITAT project, in collaboration with ASC Insieme (Azienda Servizi per la Cittadinanza-Agency for Services of the Citizenship).
- Definition of constraints deriving from both the technologies developed by the partners of the HABITAT project, and the individuation of the features of the smart objects to be designed;
- Application of the Quality Function Deployment [41], for the definition of project priorities and hierarchy of the most important needs to be met, and for an interpretation of its results.
- Ideation of design concepts based on the results of the previous stages and the realization of rough prototypes.
- Iterative process of test and redesign of the devices: the smart objects were tested at co-design workshops where the elderly could use the smart objects and give feedbacks on different aspects, from the functional to the emotive ones.
- Realization and test of final prototypes to define the gained Technology Readiness Level.
2.2. HABITAT Architecture and Overall System
- Wall light for indoor localization.
- Armchair for sitting posture monitoring.
- Belt for movement information.
- Wall panel and mobile devices as user interface.
2.3. Smart Objects
2.3.1. Wall Light for Indoor localization
2.3.2. Armchair for Sitting Posture Monitoring
2.3.3. Belt for Movement Information
2.3.4. Wall Panel and Mobile Devices as User Interface
2.4. SPARQL Event Processing Architecture
2.5. Artificial Intelligence Module
- The support to interval-based logical operators [83]: operators that define the logical relation between two time intervals. These operators are: before, equal, meets, overlaps, during, starts, finishes, and their inverse.
- The possibility to declare objects as “events”, removing them when they are no longer necessary.
- (1)
- A PositionEvent with a certain timestamp $ts referring to a user $u is read from the event stream, as to indicate that $u is in position ($X,$Y) on the environment map;
- (2)
- The working memory contains a UserPositionFluent reporting the same ($X,$Y) coordinates on the map for user $u;
- (3)
- These UserPositionFluent coordinates are unchanged since a certain period of time dependent on user specific configurations ($ts - $since > $u.getTooStaticTriggerTime()).
3. Results
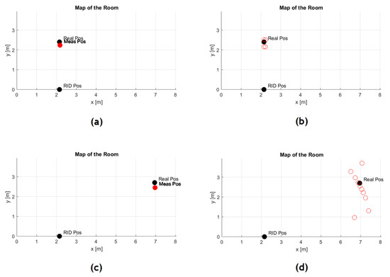
3.1. Wall Light for Indoor Localization
3.2. Armchair for Sitting Posture Monitoring
3.3. Belt for Movement Information
3.4. Wall Panel and Mobile Devices as User Interface
3.5. User-Centered Design Assessment
4. Conclusions
- Indoor localization system: two or more RFID readers can be employed in the same environment in order to cross-reference their outcomes to improve the accuracy; at the same time, another on-going activity is the design of a bi-dimensional electronic beam steering with the aim of detecting also the fall of a person in a restricted area. The recognition tags were designed to monitor the movement of the elderly without creating intrusive elements that may produce anxiety or a sense of guilt. At the moment, the dimension of the recognition tag is still in an early phase of the study. Moreover, the idea for its future evolution is to integrate the antenna directly into textile materials as the clothes of the users, miniaturizing in this way the electronic circuitry and leading, by extension, to a significant decrease of the overall dimensions and weight of the tag.
- Smart armchair: the functions of the smart armchair could be enhanced by providing automatic movement of the seat. In particular, motorized actuators could be controlled directly by the HABITAT system in order to customize the behavior of the chair according to the profile of each user.
- Belt for movement information: the belt was used in the HABITAT system to obtain quantitative information on the physical activity performed during the day (number of steps, time spent in activity and time spent at rest). However, by positioning the sensor on the lower back, it is possible to extend the number of parameters mainly of clinical interest. In our future work it will be interesting to integrate the inertial sensor, in a lumbar band or common belt, in order to improve its acceptability and usability.
- SEPA: future works will be directed towards the definition of precise benchmarking of semantic publish-subscribe architectures, along with the development of a more performant algorithm for the semantic subscription engine. This will enable the research over new approaches to the IoT, such as the (semantic) Web of Things.
Author Contributions
Funding
Acknowledgments
Conflicts of Interest
References
- Thomas, V.S.; Darvesh, S.; MacKnight, C.; Rockwood, K. Estimating the prevalence of dementia in elderly people: A comparison of the Canadian Study of Health and Aging and National Population Health Survey approaches. Int. Psychogeriatr. 2001, 13 (Supp. 1), 169–175. [Google Scholar] [CrossRef] [PubMed]
- Kalache, A.; Gatti, A. Active ageing: A policy framework. Adv. Gerontol. 2003, 11, 7–18. [Google Scholar] [PubMed]
- Kulik, C.T.; Ryan, S.; Harper, S.; George, G. From the editors—Aging populations and management. Acad. Manag. J. 2014, 57, 929–935. [Google Scholar] [CrossRef]
- WHO. Are You Ready? What You Need to Know about Ageing. Available online: https://www.who.int/world-health-day/2012/toolkit/background/en/ (accessed on 15 January 2019).
- van Kasteren, Y.; Bradford, D.; Zhang, Q.; Karunanithi, M.; Ding, H. Understanding Smart Home Sensor Data for Ageing in Place Through Everyday Household Routines: A Mixed Method Case Study. JMIR Mhealth Uhealth 2017, 5, e52. [Google Scholar] [CrossRef] [PubMed]
- Reports & Data. Available online: https://www.aihw.gov.au/reports-data (accessed on 15 January 2019).
- Roth, M. Problems of an Ageing Population. Br. Med. J. 1960, 1, 1226–1230. [Google Scholar] [CrossRef]
- Caprara, M.; Molina, M.Á.; Schettini, R.; Santacreu, M.; Orosa, T.; Mendoza-Núñez, V.M.; Rojas, M.; Fernández-Ballesteros, R. Active aging promotion: Results from the vital aging program. Curr. Gerontol. Geriatr. Res. 2013, 2013, 817813. [Google Scholar] [PubMed]
- Fernández Ballesteros, R. Active Aging: The Contribution of Psychology; Hogrefe: Cambridge, MA, USA, 2008; ISBN 978-0-88937-360-0. [Google Scholar]
- Mattimore, T.J.; Wenger, N.S.; Desbiens, N.A.; Teno, J.M.; Hamel, M.B.; Liu, H.; Califf, R.; Connors, A.F.; Lynn, J.; Oye, R.K. Surrogate and physician understanding of patients’ preferences for living permanently in a nursing home. J. Am. Geriatr. Soc. 1997, 45, 818–824. [Google Scholar] [CrossRef]
- Wood, D.H. The Pros and Cons of Nursing Homes|Hardison Wood Legal Blog. Available online: https://www.hardisonwood.com/blog/the-pros-and-cons-of-nursing-homes/ (accessed on 15 January 2019).
- Majumder, S.; Aghayi, E.; Noferesti, M.; Memarzadeh-Tehran, H.; Mondal, T.; Pang, Z.; Deen, M.J. Smart Homes for Elderly Healthcare-Recent Advances and Research Challenges. Sensors 2017, 17, 2496. [Google Scholar] [CrossRef]
- van Hoof, J.; Demiris, G.; Wouters, E. (Eds.) Handbook of Smart Homes, Health Care and Well-Being; Springer: Cham, Switzerland, 2017; Available online: https://www.springer.com/la/book/9783319015828 (accessed on 15 January 2019).
- Blackman, S.; Matlo, C.; Bobrovitskiy, C.; Waldoch, A.; Fang, M.L.; Jackson, P.; Mihailidis, A.; Nygård, L.; Astell, A.; Sixsmith, A. Ambient Assisted Living Technologies for Aging Well: A Scoping Review. J. Intell. Syst. 2015, 25, 55–69. [Google Scholar] [CrossRef]
- Sixsmith, A.; Mueller, S.; Lull, F.; Klein, M.; Bierhoff, I.; Delaney, S.; Byrne, P.; Sproll, S.; Savage, R.; Avatangelou, E.; et al. A User-Driven Approach to Developing Ambient Assisted Living Systems for Older People: The SOPRANO Project. In Intelligent Technologies for Bridging the Grey Digital Divide; Soar, J., Swindell, R., Tsang, P., Eds.; IGI Global: Hershey, PA, USA, 2011; pp. 30–45. [Google Scholar] [CrossRef]
- Deen, M.J. Information and communications technologies for elderly ubiquitous healthcare in a smart home. Pers. Ubiquit. Comput. 2015, 19, 573–599. [Google Scholar] [CrossRef]
- Machado, A.; Maran, V.; Augustin, I.; Wives, L.K.; de Oliveira, J.P.M. Reactive, proactive, and extensible situation-awareness in ambient assisted living. Expert Syst. Appl. 2017, 76, 21–35. [Google Scholar] [CrossRef]
- Wickramasinghe, A.; Shinmoto Torres, R.L.; Ranasinghe, D.C. Recognition of falls using dense sensing in an ambient assisted living environment. Pervasive Mob. Comput. 2017, 34, 14–24. [Google Scholar] [CrossRef]
- Cedillo, P.; Sanchez, C.; Campos, K.; Bermeo, A. A Systematic Literature Review on Devices and Systems for Ambient Assisted Living: Solutions and Trends from Different User Perspectives. In Proceedings of the 2018 International Conference on eDemocracy eGovernment (ICEDEG), Ambato, Ecuador, 4–6 April 2018; pp. 59–66. [Google Scholar]
- Leotta, F.; Mecella, M.; Mendling, J. Applying Process Mining to Smart Spaces: Perspectives and Research Challenges. In Proceedings of the Advanced Information Systems Engineering Workshops; Persson, A., Stirna, J., Eds.; Springer International Publishing: Cham, Switzerland, 2015; pp. 298–304. [Google Scholar]
- Dimaggio, M.; Leotta, F.; Mecella, M.; Sora, D. Process-Based Habit Mining: Experiments and Techniques. In Proceedings of the 2016 International IEEE Conferences on Ubiquitous Intelligence Computing, Advanced and Trusted Computing, Scalable Computing and Communications, Cloud and Big Data Computing, Internet of People, and Smart World Congress (UIC/ATC/ScalCom/CBDCom/IoP/SmartWorld), Toulouse, France, 18–21 July 2016; pp. 145–152. [Google Scholar]
- Sztyler, T.; Völker, J.; Carmona, J.; Meier, O.; Stuckenschmidt, H. Discovery of Personal Processes from Labeled Sensor Data—An Application of Process Mining to Personalized Health Care. In Proceedings of the International Workshop on Algorithms & Theories for the Analysis of Event Data, Brussels, Belgium, 22–23 June 2015; pp. 31–46. [Google Scholar]
- Tax, N.; Sidorova, N.; Haakma, R.; van der Aalst, W.M.P. Mining Process Model Descriptions of Daily Life Through Event Abstraction. Stud. Comput. Intell. 2018, 751, 83–104. [Google Scholar]
- Tax, N.; Sidorova, N.; Haakma, R.; van der Aalst, W.M.P. Event Abstraction for Process Mining using Supervised Learning Techniques. In Proceedings of the SAI Intelligent Systems Conference, London, UK, 21–22 September 2016. [Google Scholar]
- Anguita, D.; Ghio, A.; Oneto, L.; Parra, X.; Reyes-Ortiz, J.L. Human Activity Recognition on Smartphones Using a Multiclass Hardware-Friendly Support Vector Machine. In Ambient Assisted Living and Home Care; Bravo, J., Hervás, R., Rodríguez, M., Eds.; Springer: Berlin/Heidelberg, Germany, 2012; Volume 7657, pp. 216–223. ISBN 978-3-642-35394-9. [Google Scholar]
- Anguita, D.; Ghio, A.; Oneto, L.; Parra, X.; Reyes-Ortiz, J.L. A Public Domain Dataset for Human Activity Recognition Using Smartphones. In Proceedings of the 2013 European Symposium on Artificial Neural Networks, Computational Intelligence and Machine Learning (ESANN), Bruges, Belgium, 24–26 April 2013; Volume 6. [Google Scholar]
- Fleury, A.; Vacher, M.; Noury, N. SVM-Based Multimodal Classification of Activities of Daily Living in Health Smart Homes: Sensors, Algorithms, and First Experimental Results. IEEE Trans. Inf. Technol. Biomed. 2010, 14, 274–283. [Google Scholar] [CrossRef] [PubMed]
- Fleury, A.; Vacher, M.; Portet, F.; Chahuara, P.; Noury, N. A french corpus of audio and multimodal interactions in a health smart home. J. Multimodal User Interfaces 2013, 7, 93–109. [Google Scholar] [CrossRef]
- Atzori, L.; Iera, A.; Morabito, G. Internet of Things: A survey. Comput. Netw. 2010. [Google Scholar] [CrossRef]
- Costanzo, A.; Bartolini, S.; Benini, L.; Farella, E.; Masotti, D.; Milosevic, B.; Di Stefano, L.; Franchi, A.; Salmon Cinotti, T.; Mattarozzi, S.; et al. Merging RFID, visual and gesture recognition technologies to generate and manage smart environments. In Proceedings of the 2011 IEEE International Conference on RFID-Technologies and Applications, Sitges, Spain, 15–16 September 2011; pp. 521–526. [Google Scholar]
- Mincolelli, G.; Imbesi, S.; Giacobone, G.A.; Marchi, M. Internet of Things and Elderly: Quantitative and Qualitative Benchmarking of Smart Objects. In Proceedings of the Advances in Design for Inclusion; Di Bucchianico, G., Ed.; Springer International Publishing: Cham, Switzerland, 2019; pp. 335–345. [Google Scholar]
- Mincolelli, G. Customer/User Centered Design. Analisi di un caso Applicativo; Maggioli Editore: Rimini, Italy, 2009; ISBN 978-88-387-4264-4. [Google Scholar]
- Gould, J.D.; Lewis, C. Designing for Usability: Key Principles and What Designers Think. Commun. ACM 1985, 28, 300–311. [Google Scholar] [CrossRef]
- Rizzo, A.; Marti, P.; Bagnara, S. L’Interazione Uomo-Macchina [Human-Machine Interaction]. In Manuale di Intelligenza Artificiale, Roma; Burattini, E., Cordeschi, D., Eds.; Carocci: Roma, Italy, 2001. [Google Scholar]
- ISO 9241-210:2010 Ergonomics of Human-System Interaction—Part 210: Human-Centred Design for Interactive Systems. Available online: https://www.iso.org/standard/52075.html (accessed on 1 March 2019).
- 14:00-17:00 ISO 9241-11:1998. Available online: http://www.iso.org/cms/render/live/en/sites/isoorg/contents/data/standard/01/68/16883.html (accessed on 19 February 2019).
- Norman, D.A. The Design of Everyday Things; Revised and Expanded Edition; Basic Books: New York, NY, USA, 2013; ISBN 978-0-465-05065-9. [Google Scholar]
- Nielsen, J. Usability Engineering; Morgan Kaufmann Publishers Inc.: San Francisco, CA, USA, 1993; ISBN 978-0-12-518405-2. [Google Scholar]
- Mincolelli, G.; Marchi, M.; Chiari, L.; Costanzo, A.; Borelli, E.; Mellone, S.; Masotti, D.; Paolini, G.; Imbesi, S. Inclusive Design of Wearable Smart Objects for Older Users: Design Principles for Combining Technical Constraints and Human Factors. In Proceedings of the Advances in Design for Inclusion; Di Bucchianico, G., Ed.; Springer International Publishing: Cham, Switzerland, 2019; pp. 324–334. [Google Scholar]
- Mincolelli, G. Design Accessibile, Esperienze Progettuali e Didattiche sul Tema del Design for All; Maggioli Editore: Rimini, Italy, 2008. [Google Scholar]
- Akao, Y. Quality Function Deployment: Integrating Customer Requirements into Product Design—CRC Press Book; Productivity Press: New York, NY, USA, 2004. [Google Scholar]
- Costanzo, A.; Masotti, D.; Ussmueller, T.; Weigel, R. Tag, You’re It: Ranging and Finding via RFID Technology. IEEE Microw. Mag. 2013, 14, 36–46. [Google Scholar] [CrossRef]
- Del Prete, M.; Masotti, D.; Arbizzani, N.; Costanzo, A. Remotely Identify and Detect by a Compact Reader with Mono-Pulse Scanning Capabilities. IEEE Trans. Microw. Theory Tech. 2013, 61, 641–650. [Google Scholar] [CrossRef]
- Costanzo, A.; Masotti, D.; Bartolini, S.; Cinotti, T.S.; Montanari, E.; Arbizzani, N. Design and test of a smart-space interaction device combining RFID and electromagnetic interferometry. In Proceedings of the 2011 IEEE MTT-S International Microwave Symposium, Baltimore, MD, USA, 5–10 June 2011; pp. 1–4. [Google Scholar]
- Costanzo, A.; Masotti, D.; Francia, P.; Fantuzzi, M. Detection and movement estimation of items by a smart microwave hand-held reader. In Proceedings of the 2014 IEEE RFID Technology and Applications Conference (RFID-TA), Tampere, Finland, 8–9 September 2014; pp. 214–218. [Google Scholar]
- Paolini, G.; Masotti, D.; Costanzo, A.; Borelli, E.; Chiari, L.; Imbesi, S.; Marchi, M.; Mincolelli, G. Human-centered design of a smart “wireless sensor network environment” enhanced with movement analysis system and indoor positioning qualifications. In Proceedings of the 2017 IEEE MTT-S International Microwave Workshop Series on Advanced Materials and Processes for RF and THz Applications (IMWS-AMP), Pavia, Italy, 20–22 September 2017; pp. 1–3. [Google Scholar]
- Masotti, D.; Costanzo, A.; Adami, S. Design and realization of a wearable multi-frequency RF energy harvesting system. In Proceedings of the Proceedings of the 5th European Conference on Antennas and Propagation (EUCAP), Rome, Italy, 11–15 April 2011; pp. 517–520. [Google Scholar]
- Aldrigo, M.; Costanzo, A.; Masotti, D.; Galassi, C. Exploitation of a novel magneto-dielectric substrate for miniaturization of wearable UHF antennas. Mater. Lett. 2012, 87, 127–130. [Google Scholar] [CrossRef]
- Aldrigo, M.; Costanzo, A.; Masotti, D.; Baldisserri, C.; Dumitru, I.; Galassi, C. Numerical and experimental characterization of a button-shaped miniaturized UHF antenna on magneto-dielectric substrate. Int. J. Microw. Wirel. Technol. 2013, 5, 231–239. [Google Scholar] [CrossRef]
- Costanzo, A.; Masotti, D. Smart Solutions in Smart Spaces: Getting the Most from Far-Field Wireless Power Transfer. IEEE Microw. Mag. 2016, 17, 30–45. [Google Scholar] [CrossRef]
- Liang, P.C.; Krause, P. Smartphone-Based Real-Time Indoor Location Tracking With 1-m Precision. IEEE J. Biomed. Health Inform. 2016, 20, 756–762. [Google Scholar] [CrossRef] [PubMed]
- Leach, J.M.; Mancini, M.; Peterka, R.J.; Hayes, T.L.; Horak, F.B. Validating and calibrating the Nintendo Wii balance board to derive reliable center of pressure measures. Sensors 2014, 14, 18244–18267. [Google Scholar] [CrossRef] [PubMed]
- Changizi, M.; Kaveh, M.H. Effectiveness of the mHealth technology in improvement of healthy behaviors in an elderly population—A Systematic review. Mhealth 2017, 3, 51. [Google Scholar] [CrossRef] [PubMed]
- Nemati, E.; Batteate, C.; Jerrett, M. Opportunistic Environmental Sensing with Smartphones: A Critical Review of Current Literature and Applications. Curr. Environ. Health Rep. 2017, 4, 306–318. [Google Scholar] [CrossRef]
- Reyes-Muñoz, A.; Domingo, M.C.; López-Trinidad, M.A.; Delgado, J.L. Integration of Body Sensor Networks and Vehicular Ad-hoc Networks for Traffic Safety. Sensors 2016, 16, 107. [Google Scholar] [CrossRef]
- Taraldsen, K.; Chastin, S.F.M.; Riphagen, I.I.; Vereijken, B.; Helbostad, J.L. Physical activity monitoring by use of accelerometer-based body-worn sensors in older adults: A systematic literature review of current knowledge and applications. Maturitas 2012, 71, 13–19. [Google Scholar] [CrossRef]
- Ancoli-Israel, S.; Cole, R.; Alessi, C.; Chambers, M.; Moorcroft, W.; Pollak, C.P. The role of actigraphy in the study of sleep and circadian rhythms. Sleep 2003, 26, 342–392. [Google Scholar] [CrossRef]
- Tudor-Locke, C.; Williams, J.E.; Reis, J.P.; Pluto, D. Utility of pedometers for assessing physical activity: Convergent validity. Sports Med. 2002, 32, 795–808. [Google Scholar] [CrossRef]
- Zijlstra, W.; Aminian, K. Mobility assessment in older people: New possibilities and challenges. Eur. J. Ageing 2007, 4, 3–12. [Google Scholar] [CrossRef]
- Zijstra, W.; Becker, C.; Pfeiffer, K. Wearable systems for monitoring mobility related activities; from technology to application for healthcare services—DSHS. In E-Health, Assistive Technologies and Applications for Assisted Living: Challenges and Solutions; Carsten Röcker, C., Ziefle, M., Eds.; IGI Global: Hershey, PA, USA, 2011; pp. 244–267. [Google Scholar]
- Keranen, A.; Ersue, M.; Bormann, C. Terminology for Constrained-Node Networks. Available online: https://tools.ietf.org/html/rfc7228 (accessed on 30 March 2018).
- Eugster, P.T.; Felber, P.A.; Guerraoui, R.; Kermarrec, A.-M. The many faces of publish/subscribe. ACM Comput. Surv. 2003, 35, 114–131. [Google Scholar] [CrossRef]
- Bizer, C.; Heath, T.; Berners-Lee, T. Linked Data—The Story So Far. Int. J. Semant. Web Inf. Syst. 2019, 5, 1–22. [Google Scholar] [CrossRef]
- Roffia, L.; Azzoni, P.; Aguzzi, C.; Viola, F.; Antoniazzi, F.; Cinotti, T. Dynamic linked data: A SPARQL event processing architecture. Future Internet 2018, 10, 36. [Google Scholar] [CrossRef]
- SPARQL 1.1 Secure Event Protocol. Available online: http://mml.arces.unibo.it/TR/sparql11-se-protocol.html (accessed on 16 January 2019).
- SPARQL 1.1 Overview. Available online: https://www.w3.org/TR/sparql11-overview/ (accessed on 30 March 2018).
- SPARQL 1.1 Protocol. Available online: https://www.w3.org/TR/sparql11-protocol/ (accessed on 30 March 2018).
- SPARQL 1.1 Update. Available online: https://www.w3.org/TR/sparql11-update/ (accessed on 30 March 2018).
- SPARQL 1.1 Query Language. Available online: https://www.w3.org/TR/sparql11-query/ (accessed on 30 March 2018).
- SPARQL 1.1 Subscribe Language. Available online: http://mml.arces.unibo.it/TR/sparql11-subscribe.html (accessed on 16 January 2019).
- A JAVA Implementation of the SPARQL Event Processing Architecture including the Engine, APIs and Tools: Arces-Wot/SEPA; Dynamic Linked Data & Web of Things—University of Bologna: Cesena, Italy, 2019.
- Leach, P.J.; Berners-Lee, T.; Mogul, J.C.; Masinter, L.; Fielding, R.T.; Gettys, J. Hypertext Transfer Protocol—HTTP/1.1. Available online: https://tools.ietf.org/html/rfc2616 (accessed on 30 March 2018).
- Dierks, T. The Transport Layer Security (TLS) Protocol Version 1.2. Available online: https://tools.ietf.org/html/rfc5246 (accessed on 30 March 2018).
- Fette, I. The WebSocket Protocol. Available online: https://tools.ietf.org/html/rfc6455 (accessed on 30 March 2018).
- SPARQL Event Processing Architecture (SEPA). Available online: http://mml.arces.unibo.it/TR/sepa.html (accessed on 16 January 2019).
- MQTT Version 3.1.1 Errata 01. Available online: http://docs.oasis-open.org/mqtt/mqtt/v3.1.1/errata01/os/mqtt-v3.1.1-errata01-os.html (accessed on 30 March 2018).
- Shelby, Z.; Hartke, K.; Bormann, C. The Constrained Application Protocol (CoAP). Available online: https://tools.ietf.org/html/rfc7252 (accessed on 30 March 2018).
- Vinoski, S. Advanced Message Queuing Protocol. IEEE Internet Comput. 2006, 10, 87–89. [Google Scholar] [CrossRef]
- Ontology (Computer Science)—Definition in Encyclopedia of Database Systems. Available online: http://tomgruber.org/writing/ontology-definition-2007.htm (accessed on 30 March 2018).
- JSON SPARQL Application Profile (JSAP). Available online: http://mml.arces.unibo.it/TR/jsap.html (accessed on 16 January 2019).
- Buchmann, A.; Koldehofe, B. Complex Event Processing. Inf. Technol. Methoden Innov. Anwend. Inform. Inf. 2009, 51, 241–242. [Google Scholar] [CrossRef]
- Kowalski, R.; Sadri, F. Reconciling the event calculus with the situation calculus. J. Log. Program. 1997, 31, 39–58. [Google Scholar] [CrossRef]
- Allen, J.F. Maintaining Knowledge About Temporal Intervals. Commun. ACM 1983, 26, 832–843. [Google Scholar] [CrossRef]
- Bragaglia, S.; Chesani, F.; Mello, P.; Montali, M.; Torroni, P. Reactive Event Calculus for Monitoring Global Computing Applications. In Logic Programs, Norms and Action; Lecture Notes in Computer Science; Springer: Berlin/Heidelberg, Germany, 2012; pp. 123–146. ISBN 978-3-642-29413-6. [Google Scholar]
- Franceschini, F. Quality Function Deployment—Franceschini Fiorenzo—Il Sole 24 Ore—Libro—HOEPLI.it; Il Sole 24 Ore; HOELPI: Milano, Italy, 2003. [Google Scholar]
- Pallot, M.; Trousse, B.; Senach, B.; Scapin, D. Living Lab Research Landscape: From User Centred Design and User Experience towards User Cocreation; INRIA: Paris, France, 2010. [Google Scholar]
- Héder, M. From NASA to EU: The evolution of the TRL scale in Public Sector Innovation. Innov. J. 2017, 22, 1–23. [Google Scholar]













| Smart Object | Users’ Opinion About Acceptability |
|---|---|
| Wall light for indoor localization | Easy to install, does not require much maintenance and adaptable to different domestic context. |
| Armchair for sitting posture monitoring | Excellent comfort and easy to personalize changing materials or colors |
| Belt for movement information | Pleasantness to wear and on tactile feel |
| Wall Panel and mobile devices as user interface | Pleasantness to the visual perception and easy to personalize with different colors and textures |
© 2019 by the authors. Licensee MDPI, Basel, Switzerland. This article is an open access article distributed under the terms and conditions of the Creative Commons Attribution (CC BY) license (http://creativecommons.org/licenses/by/4.0/).
Share and Cite
Borelli, E.; Paolini, G.; Antoniazzi, F.; Barbiroli, M.; Benassi, F.; Chesani, F.; Chiari, L.; Fantini, M.; Fuschini, F.; Galassi, A.; et al. HABITAT: An IoT Solution for Independent Elderly. Sensors 2019, 19, 1258. https://doi.org/10.3390/s19051258
Borelli E, Paolini G, Antoniazzi F, Barbiroli M, Benassi F, Chesani F, Chiari L, Fantini M, Fuschini F, Galassi A, et al. HABITAT: An IoT Solution for Independent Elderly. Sensors. 2019; 19(5):1258. https://doi.org/10.3390/s19051258
Chicago/Turabian StyleBorelli, Elena, Giacomo Paolini, Francesco Antoniazzi, Marina Barbiroli, Francesca Benassi, Federico Chesani, Lorenzo Chiari, Massimiliano Fantini, Franco Fuschini, Andrea Galassi, and et al. 2019. "HABITAT: An IoT Solution for Independent Elderly" Sensors 19, no. 5: 1258. https://doi.org/10.3390/s19051258
APA StyleBorelli, E., Paolini, G., Antoniazzi, F., Barbiroli, M., Benassi, F., Chesani, F., Chiari, L., Fantini, M., Fuschini, F., Galassi, A., Giacobone, G. A., Imbesi, S., Licciardello, M., Loreti, D., Marchi, M., Masotti, D., Mello, P., Mellone, S., Mincolelli, G., ... Costanzo, A. (2019). HABITAT: An IoT Solution for Independent Elderly. Sensors, 19(5), 1258. https://doi.org/10.3390/s19051258

