Hydrothermal Synthesis of WO3·0.33H2O Nanorod Bundles as a Highly Sensitive Cyclohexene Sensor
Abstract
:1. Introduction
2. Experimental
2.1. Preparation of WO3·0.33H2O Nanorods
2.2. Characterization
2.3. Fabrication of Gas Sensors
3. Results and Discussion
3.1. Structure Characterization of Gas-Sensing Materials
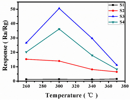
3.2. Gas-Sensing Properties
3.3. Discussion of Gas-Sensing Mechanism
4. Conclusions
Author Contributions
Funding
Conflicts of Interest
References
- Ben, H.L.; Felipe, D.L.-H.; Claudia, M.; Theo, K.; Douglas, R.W.; Joel, A.T. An iodide-adduct high-resolution time-of-flight chemical-ionization mass spectrometer: Application to atmospheric inorganic and organic compounds. Environ. Sci. Technol. 2014, 48, 6309–6317. [Google Scholar]
- Chi, J.W.; Li, W.J.; Zhang, D.Z.; Zhang, J.C.; Lin, Y.T.; Shen, X.J.; Sun, J.Y.; Chen, J.M.; Zhang, X.Y.; Zhang, Y.M. Sea salt aerosols as a reactive surface for inorganic and organic acidic gases in the Arctic troposphere. Atmos. Chem. Phys. 2015, 15, 16715–16745. [Google Scholar] [CrossRef]
- Väliheikki, A.; Petallidou, K.C.; Kalamaras, C.M.; Kolli, T.; Huuhtanen, M.; Maunula, T.; Keiski, R.L.; Efstathiou, A.M. Selective catalytic reduction of NOx by hydrogen (H2-SCR) on WOx-promoted CezZr1−zO2 solids. Appl. Catal. B Environ. 2014, 156–157, 72–83. [Google Scholar]
- Lai, B.; Zhou, Y.; Yang, P.; Wang, K. Comprehensive analysis of the toxic and refractory pollutants in acrylonitrile–butadiene–styrene resin manufacturing wastewater by gas chromatography spectrometry with a mass or flame ionization detector. J. Chromatogr. A 2012, 1244, 161–167. [Google Scholar] [CrossRef] [PubMed]
- Galindo-Cuspinera, V.; Lubran, M.B.; Rankin, S.A. Comparison of volatile compounds in water- and oil-soluble annatto (Bixa orellana L.) extracts. J. Agric. Food Chem. 2002, 50, 2010–2015. [Google Scholar] [CrossRef] [PubMed]
- Bai, S.; Zhang, K.; Wang, L.; Sun, J.; Luo, R.; Li, D.; Chen, A. Synthesis mechanism and gas-sensing application of nanosheet-assembled tungsten oxide microspheres. J. Mater. Chem. A 2014, 2, 7927–7934. [Google Scholar] [CrossRef]
- Gao, X.; Su, X.; Yang, C.; Xiao, F.; Wang, J.; Cao, X.; Wang, S.; Zhang, L. Hydrothermal synthesis of WO3 nanoplates as highly sensitive cyclohexene sensor and high-efficiency MB photocatalyst. Sens. Actuators B Chem. 2013, 181, 537–543. [Google Scholar] [CrossRef]
- Bettina, B.; Michael, J.B.; Miriam, M.U. Geomimetics for green polymer synthesis: Highly ordered polyimides via hydrothermal techniques. Polym. Chem. 2014, 5, 3771–3776. [Google Scholar]
- Bettina, B.; Michael, J.B.; Miriam, M.U. Towards a general understanding of hydrothermal polymerization of polyimides. Polym. Chem. 2015, 6, 5773–5781. [Google Scholar]
- Bettina, B.; Michael, J.B.; Philipp, S.; Miriam, M.U. Design strategies in hydrothermal polymerization of polyimides. Macromol. Chem. Phys. 2016, 217, 485–500. [Google Scholar]
- Bettina, B.; Anastasiya, S.; Johannes, B.; Christian, H.; Martina, M.; Miriam, M.U. Green and highly efficient synthesis of perylene and naphthalene bisimides in nothing but water. Chem. Commun. 2017, 53, 1229–1232. [Google Scholar]
- Miriam, M.U. Geomimetics and extreme biomimetics inspired by hydrothermal systems—What can we learn from nature for materials synthesis. Biomimetics 2017, 2, 12270–12274. [Google Scholar]
- Ritu, M.; Vijay, K.T.; Torben, D.; Yogendra Kumar, M.; Lorenz, K. Cubic mesoporous Pd–WO3 loaded graphitic carbon nitride (g-CN) nanohybrids: Highly sensitive and temperature dependent VOC sensors. J. Mater. Chem. A 2018, 6, 10718–10730. [Google Scholar]
- Vijay, K.T.; Kulvinder, S.; Harmanjit, K.; Munish, S.; Priyanka, S. Rapid acetone detection using Indium loaded WO3/SnO2 nanohybrid sensor. Sens. Actuators B 2017, 253, 703–713. [Google Scholar]
- Ritu, M.; Vijay, K.T.; Vandna, C.; Manjeet, S.D.; Pawan, S.R.; Surender, D. Ordered mesoporous In-(TiO2/WO3) nanohybrid: An ultrasensitive n-butanol sensor. Sens. Actuators B 2017, 239, 364–373. [Google Scholar]
- Kida, T.; Nishiyama, A.; Hua, Z.; Suematsu, K.; Yuasa, M.; Shimanoe, K. WO3 nano lamella gas sensor: Porosity control using SnO2 nanoparticles for enhanced NO2 sensing. Langmuir 2014, 30, 2571–2579. [Google Scholar] [CrossRef]
- Gao, X.; Yang, C.; Xiao, F.; Zhu, Y.; Wang, J.; Su, X. WO₃·0.33H₂O nanoplates: Hydrothermal synthesis, photocatalytic and gas-sensing properties. Mater. Lett. 2012, 84, 151–153. [Google Scholar] [CrossRef]
- Sungpanich, J.; Thongtem, T.; Thongtem, S. Photocatalysis of WO3 nanoplates synthesized by conventional-hydrothermal and microwave-hydrothermal methods and of commercial WO3 nanorods. J. Nanomater. 2014, 2014, 131. [Google Scholar] [CrossRef]
- Hang, C.; Cai, W.; Gao, X.; Luo, J.; Su, X. PABA-assisted hydrothermal fabrication of W18O49 nanowire networks and its transition to WO3 for photocatalytic degradation of methylene blue. Adv. Powder Technol. 2018, 29, 1272–1279. [Google Scholar]
- Su, X.; Xiao, F.; Li, Y.; Jian, J.; Sun, Q.; Wang, J. Synthesis of uniform WO3 square nanoplates via an organic acid-assisted hydrothermal process. Mater. Lett. 2010, 64, 1232–1234. [Google Scholar] [CrossRef]
- Wang, Z.; Dong, W.; Sun, J. Controlled synthesis of defect-rich ultrathin two-dimensional WO3 nanosheets for NO2 gas detection. Sens. Actuators B Chem. 2017, 245, 828–834. [Google Scholar] [CrossRef]
- Zhang, Y.; Xu, J.; Xiang, Q.; Li, H.; Pan, Q.; Xu, P. Brush-like hierarchical ZnO nanostructures: Synthesis, photoluminescence and gas sensor properties. J. Phys. Chem. C 2009, 113, 3430–3435. [Google Scholar] [CrossRef]
- Lu, N.; Gao, X.; Yang, C.; Xiao, F.; Wang, J.; Su, X. Enhanced formic acid gas-sensing property of WO3 nanorod bundles via hydrothermal method. Sens. Actuators B Chem. 2016, 223, 743–749. [Google Scholar] [CrossRef]
- Chao, Y.; Cao, X.; Wang, S.; Lu, Z.; Feng, X.; Su, X.; Wang, J. Complex-directed hybridization of CuO/ZnO nanostructures and their gas sensing and photocatalytic properties. Ceram. Int. 2015, 41, 1749–1756. [Google Scholar]
- Bai, S.; Ma, Y.; Xin, S.; Sun, J.; Feng, Y.; Luo, R.; Li, D.; Chen, A. Doping Metal Elements of WO3 for Enhancement of NO2-Sensing Performance at Room Temperature. Ind. Eng. Chem. Res. 2017, 56, 2616–2623. [Google Scholar] [CrossRef]







© 2019 by the authors. Licensee MDPI, Basel, Switzerland. This article is an open access article distributed under the terms and conditions of the Creative Commons Attribution (CC BY) license (http://creativecommons.org/licenses/by/4.0/).
Share and Cite
Liu, X.; Su, X.; Yang, C.; Ma, K. Hydrothermal Synthesis of WO3·0.33H2O Nanorod Bundles as a Highly Sensitive Cyclohexene Sensor. Sensors 2019, 19, 1257. https://doi.org/10.3390/s19051257
Liu X, Su X, Yang C, Ma K. Hydrothermal Synthesis of WO3·0.33H2O Nanorod Bundles as a Highly Sensitive Cyclohexene Sensor. Sensors. 2019; 19(5):1257. https://doi.org/10.3390/s19051257
Chicago/Turabian StyleLiu, Xiaofei, Xintai Su, Chao Yang, and Kongjun Ma. 2019. "Hydrothermal Synthesis of WO3·0.33H2O Nanorod Bundles as a Highly Sensitive Cyclohexene Sensor" Sensors 19, no. 5: 1257. https://doi.org/10.3390/s19051257
APA StyleLiu, X., Su, X., Yang, C., & Ma, K. (2019). Hydrothermal Synthesis of WO3·0.33H2O Nanorod Bundles as a Highly Sensitive Cyclohexene Sensor. Sensors, 19(5), 1257. https://doi.org/10.3390/s19051257
