Practical Adaptation of a Low-Cost Voltage Transducer with an Open Feedback Loop for Precise Measurement of Distorted Voltages
Abstract
1. Introduction
2. The System of a Voltage Signal Forming from a Voltage Transducer with a Hall-Effect Sensor
- An additional impedance in which the part associated with the inductive reactance introduces a phase-shift angle between the measured voltage ux and the current i1 (see Figure 1);
- A phase-shift angle due to the relationship between the magnetic flux density B and the magnetic field strength H (which, in modeling for AC signals, is most often taken into account by the real and imaginary parts of the magnetic permeability μ; see Equation (1)).
3. Determination of Self and Leakage Inductances of the Measurement Winding
3.1. Formal Analysis
3.2. Simulations of Leakage Inductance of Measuring Winding Using FEMM
4. Experimental Investigations
4.1. Laboratory Tests
- The power amplifier operating in the bridge configuration with two integrated circuits STK4050II;
- Two power supplies with adjustable voltages of 0–360 V;
- A Hamag HMF 2525 generator with adjustable frequency and amplitude sine signals;
- A set of constructed transducers for voltage measurement (and currents);
- A Tektronix MSO 3014 digital oscilloscope.
- Channel 1—open-loop transducer (see Figure 1) with Rd = 5.6 kΩ;
- Channel 2—open-loop transducer (see Figure 1) with Rd = 22 kΩ;
- Channel 3—voltage transducer with compensation winding (LV 25-P manufactured by LEM with Rd = 5.6 kΩ), an overall accuracy of ±0.9% (primary nominal root mean square (RMS) current IPN = 10 mA, Tair = 25 °C, and supply voltage ±15 V), a linearity error of <0.2%, and a step response time of 40 µs to 90% of IPN (with Rd = 25 kΩ) [10];
- Channel 4—passive voltage probe P2220 (Tektronix) with an attenuation ratio of 1:1 and a DC bandwidth to 200 MHz. The probe was connected to the output of the power amplifier (reference voltage signal) and to the reference resistor with the 1:3 divider.
- THDux—in the voltage at the output of the amplifier (the reference voltage);
- The voltage amplitudes at the output of the tested transducers decrease. This is to a small extent due to the increase in the reactance of the measurement circuit that results in the reduction of the current I1 and, above all, the reduction of magnetic flux density in the core (and in the air gap where Hall sensor A3515LUA is located) caused by the phenomenon of the epidermal magnetic field in the core;
- The phase-shift angle between the measured voltage and the voltage at the output from the Hall sensor A3515LUA increases, which is affected by both the influence of the measuring circuit reactance and the phase shift between the magnetic flux density B and the magnetic field strength H, causing the angle of the phase shift to increase above 180°.
- An increase of more than twice in the range of 1–10 kHz THDu (Table 1);
- Smaller amplitude changes in the range of 2–15 kHz in the tested transducer without feedback than in the transducer with feedback (LEM);
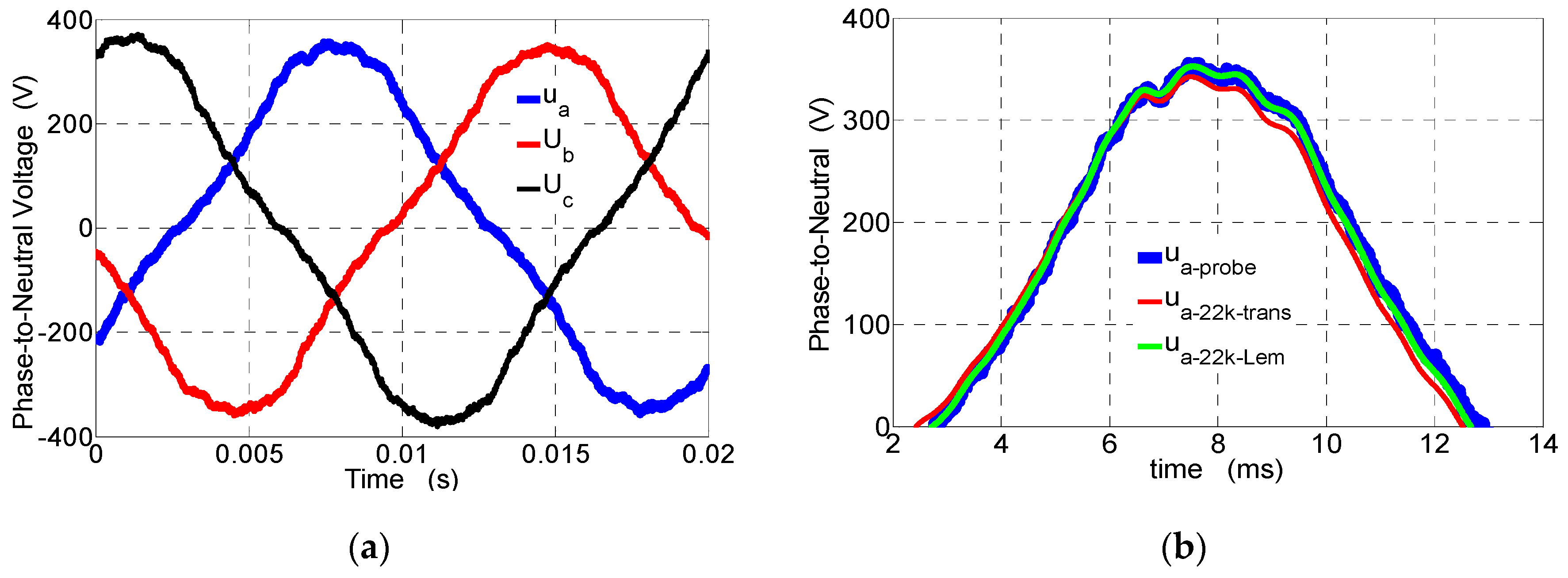
- On the one hand, an improvement in the quotient of the resistance to the reactance of the measuring circuit, but, on the other hand, a decrease in the value of the current of the measuring winding, which results in additional noise and distortion of the measurement signal (see Figure 5a). The maximum frequency of the measured voltage and the practical application of the designed open-loop transducer is 20 kHz (see Figure 5—channels 1 and 2), and, up to this frequency, amplitudes at the output and its waveform are the most similar to the reference voltage (see Figure 5—channel 4).
4.2. Practical Utilization of Voltage Transducers in Electrical Machine Diagnostics
5. Conclusions
Author Contributions
Funding
Conflicts of Interest
References
- Sun, X.; Lui, K.S.; Wong, K.K.Y.; Lee, W.K.; Hou, Y.; Huang, Q.; Pong, P.W.T. Novel Application of Magnetoresistive Sensors for High-Voltage Transmission-Line Monitoring. IEEE Trans. Magn. 2011, 47, 2608–2611. [Google Scholar] [CrossRef]
- Feng, Y.X.; Yang, G.; Ding, X.; Zhang, W.; Jiang, D. Behaviors of the Voltage Transducer in Harmonic Measurements and Its Automatic Calibration. In Proceedings of the Fifth International Conference on Intelligent Networks and Intelligent Systems, Tianjin, China, 1–3 November 2012; pp. 65–68. [Google Scholar]
- Electric Field Meter. Phywe Systeme GmbH 11500.10. Available online: https://fys.kuleuven.be/pradem/handleidingen/1150010e.pdf (accessed on 11 January 2019).
- Voltage Transducer LV 25-P. LEM, Datasheet, 12 August 2014/version 19. Available online: https://www.lem.com/sites/default/files/products_datasheets/lv_25-p.pdf (accessed on 11 January 2019).
- Pyrhönen, J.; Jokinen, T.; Hrabcová, V.P. Design of Rotating Electrical Machines; John Wiley & Sons: Hoboken, NJ, USA, 2014. [Google Scholar]
- Schmitt, M.; Dreßel, B.; Ackva, A. Requirements for current and voltage measurement systems in direct current controlled industrial power inverters. In Proceedings of the 2015 IEEE 13th Brazilian Power Electronics Conference and 1st Southern Power Electronics Conference (COBEP/SPEC), Fortaleza, Brazil, 29 November–2 December 2015; pp. 1–6. [Google Scholar]
- Shenil, P.S.; Arjun, R.; George, B. Feasibility study of a non-contact AC voltage measurement system. In Proceedings of the 2015 IEEE International Instrumentation and Measurement Technology Conference (I2MTC), Pisa, Italy, 11–14 May 2015; pp. 399–404. [Google Scholar]
- Balsamo, D.; Porcarelli, D.; Benini, L.; Davide, B. A new non-invasive voltage measurement method for wireless analysis of electrical parameters and power quality. In Proceedings of the 2013 IEEE Sensors, Baltimore, MD, USA, 3–6 November 2013; pp. 1–4. [Google Scholar]
- Kang, S.; Yang, S.; Kim, H. Non-intrusive voltage measurement of ac power lines for smart grid system based on electric field energy harvesting. Electron. Lett. 2017, 53, 181–183. [Google Scholar] [CrossRef]
- Rahmatian, F. Brief Overview of Optical Current and Voltage Sensors in the Electric Power Industry; NuGrid Power Corp, NASPI Distribution Task Team: Burnaby, BC, Canada, 2017. [Google Scholar]
- Pan, F.; Xiao, X.; Xu, Y.; Ren, S. An Optical AC Voltage Sensor Based on the Transverse Pockels Effect. Sensors 2011, 11, 6593–6602. [Google Scholar] [CrossRef] [PubMed]
- Deng, W.; Li, H.; Zhang, C.; Wang, P. Optimization of Detection Accuracy of Closed-Loop Optical Voltage Sensors Based on Pockels Effect. Sensors 2017, 17, 1723. [Google Scholar] [CrossRef] [PubMed]
- Su, X.; Xu, Q.; Chen, H. A New Optical Voltage Sensor for Linear Measurement. In Proceedings of the 2nd International Conference on Integrated Circuits and Microsystems, Nanjing, China, 8–11 November 2017; pp. 147–150. [Google Scholar]
- Gillette, L.; Gaborit, G.; Volat, C.; Dahdah, J.; Lecoche, F. Optical Sensor for the diagnostic of high voltage equipment. In Proceedings of the 2014 Electrical Insulation Conference, Philadelphia, PA, USA, 8–11 June 2014; pp. 142–146. [Google Scholar]
- Tomczyk, K. Impact of uncertainties in accelerometer modeling on the maximum values of absolute dynamic error. Measurement 2016, 80, 71–78. [Google Scholar] [CrossRef]
- Kachniarz, M.; Petruk, O.; Strupinski, W.; Ciuk, T.; Bienkowski, A.; Szewczyk, R.; Salach, J. Quasi-Free-Standing Bilayer Graphene Hall-Effect Sensor. IEEE Trans. Magn. 2019, 55, 1–4. [Google Scholar] [CrossRef]
- Itzke, A.; Weiss, R.; Weigel, R. Influence of the Conductor Position on a Circular Array of Hall Sensors for Current Measurement. IEEE Trans. Ind. Electron. 2019, 66, 580–585. [Google Scholar] [CrossRef]
- Liu, C.; Liu, J.G. Error Correction of Automatic Testing Systems for Hall Effect Current Sensors. In Proceedings of the Sensors and Measuring Systems 2014: 17. ITG/GMA Symposium, Nuremberg, Germany, 3–4 June 2014; pp. 1–5. [Google Scholar]
- George, N.; Gopalakrishna, S. Detailed study on error characteristics of core-less hall-effect current transducer. In Proceedings of the 2017 Eleventh International Conference on Sensing Technology (ICST), Sydney, Australia, 4–6 December 2017; pp. 1–6. [Google Scholar]
- Addabbo, T.; Fort, A.; Mugnaini, M.; Panzardi, E.; Pozzebon, A.; Tani, M.; Vignoli, V. A low cost distributed measurement system based on Hall effect sensors for structural crack monitoring in monumental architecture. Measurement 2018, 116, 652–657. [Google Scholar] [CrossRef]
- Tomo, T.P.; Somlor, S.; Schmitz, A.; Jamone, L.; Huang, W.; Kristanto, H.; Sugano, S. Design and Characterization of a Three-Axis Hall Effect-Based Soft Skin Sensor. Sensors 2016, 16, 491. [Google Scholar] [CrossRef] [PubMed]
- Liu, J.G.; Sanli, A.; Wang, Y.; Liu, C. Error Compensation of Closed-loop Hall Effect Current Sensors. In Proceedings of the 2012 IEEE International Workshop on Applied Measurements for Power Systems (AMPS), Aachen, Germany, 26–28 September 2012; pp. 1–6. [Google Scholar]
- Yatchev, I.; Sen, M.; Balabozov, I.; Kostov, I. Modelling of a Hall Effect-Based Current Sensor with an Open Core Magnetic Concentrator. Sensors 2018, 18, 1260. [Google Scholar] [CrossRef] [PubMed]
- Li, Z.; Zhang, S.; Wu, Z.; Abu-Siada, A.; Tao, Y. Study of Current Measurement Method Based on Circular Magnetic Field Sensing Array. Sensors 2018, 18, 1439. [Google Scholar] [CrossRef] [PubMed]
- Dybkowski, M.; Klimkowski, K. Artificial Neural Network Application for Current Sensors Fault Detection in the Vector Controlled Induction Motor Drive. Sensors 2019, 19, 571. [Google Scholar] [CrossRef] [PubMed]
- Ripka, P. Electric Current Sensors: A Review. Meas. Sci. Technol. 2010, 21, 1–23. [Google Scholar] [CrossRef]
- Tumański, S. Handbook of Magnetic Measurements; CRC Press Taylor & Francis Group: Boca Raton, FL, USA, 2011. [Google Scholar]
- Ludwinek, K. Measurement of Momentary Currents by Hall Linear Sensor. Prz. Elektrotechniczny 2009, 10, 182–187. [Google Scholar]
- Ludwinek, K. Practical Application of a Linear Hall-Effect Sensor in Contactless Measuring of Current Temporary Values. Int. Rev. Electr. Eng. 2013, 8, 1631–1640. [Google Scholar]
- Li, Y.J. Research of Three-Dimensional Magnetic Reluctivity Tensor Based on Measurement of Magnetic Properties. IEEE Trans. Appl. Supercond. 2010, 20, 1932–1935. [Google Scholar]
- Li, Z.; Zhao, Z.; Yang, Q.; Zhu, J.; Wang, Y. Tensor Magnetic Reluctivity Properties of Soft Magnetic Composite Materials. In Proceedings of the Sixth International Conference on Electromagnetic Field Problems and Applicat Electricions (ICEF), Dalian, China, 19–21 June 2012; pp. 1–4. [Google Scholar]
- Cuellar, C.; Tan, W.; Margueron, X.; Benabou, A.; Idir, N. Measurement Method of the Complex Magnetic Permeability of Ferrites in High Frequency. In Proceedings of the IEEE International Instrumentation and Measurement Technology Conference (I2MTC), Graz, Austria, 13–16 May 2012; pp. 63–68. [Google Scholar]
- RTP Cores—Toroidal Iron Powder Cores. Available online: http://feryster.pl/rdzenie-proszkowe-rtp (accessed on 11 January 2019).
- Zurek, S. FEM Simulation of Effect of Non-Uniform Air Gap on Apparent Permeability of Cut Cores. IEEE Trans. Magn. 2012, 48, 1520–1523. [Google Scholar] [CrossRef]
- A315LUA and A3156LUA Ratiometric, Linear Hall-Effect Sensors. Datasheet & Application Note. Available online: http://allegromicro.com/sf/3515/ (accessed on 11 January 2019).
- Bastos, J.P.A.; Sadowski, N. Electromagnetic Modeling by Finite Element Methods; Marcel Dekker: New York, NY, USA, 2003. [Google Scholar]
- Salas, R.A.; Pleite, J. Simple Procedure to Compute the Inductance of a Toroidal Ferrite Core from the Linear to the Saturation Regions. Materials 2013, 6, 2452–2463. [Google Scholar] [CrossRef] [PubMed]
- Meeker, D. Finite Element Method Magnetics: OctaveFEMM; Version 1.2. User’s Manual; Foster Miller, Inc.: Waltham, MA, USA, 2013. [Google Scholar]
- International Standard IEC 61000-3-2:2014. Electromagnetic Compatibility (EMC)—Part 3-2: Limits—Limits for Harmonic Current Emissions (Equipment Input Current ≤ 16 A per Phase); International Standard IEC: Geneva, Switzerland, 2014. [Google Scholar]













| f (Hz) | THDux (%) | THDuRd1 Rd1 = 5.6 kΩ (%) | THDuRd2 Rd2 = 22 kΩ (%) |
|---|---|---|---|
| 100 | 0.43 | 1.59 | 2.16 |
| 500 | 0.89 | 1.89 | 4.85 |
| 1000 | 0.88 | 1.49 | 5.17 |
| 5000 | 1.34 | 1.37 | 4.03 |
| 10,000 | 2.14 | 2.19 | 4.26 |
| 15,000 | 1.82 | 2.29 | 3.73 |
| 20,000 | 1.77 | 3.49 | 2.97 |
| 25,000 | 0.67 | 1.94 | 2.59 |
| Frequency (Hz) | Phase shift angle for different Rd (°) | Amplitude for different Rd (p.u.) | ||||||
|---|---|---|---|---|---|---|---|---|
| Figure 1 5.6 kΩ | Figure 1 22 kΩ | LEM 5.6 kΩ | LEM 22 kΩ | Figure 1 5.6 kΩ | Figure 1 22 kΩ | LEM 5.6 kΩ | LEM 22 kΩ | |
| 100 | ~0.1 | ~0 | ~0.1 | ~0.1 | 1.00 | 1.00 | 1.00 | 1.000 |
| 300 | 2.6 | 0.2 | 3.7 | 1.5 | 0.98 | 0.99 | 0.99 | 0.990 |
| 500 | 5.1 | 0.4 | 4.7 | 2.5 | 0.95 | 0.96 | 0.98 | 0.985 |
| 1000 | 10.2 | 2.1 | 13.4 | 6.2 | 0.90 | 0.94 | 0.97 | 0.975 |
| 3000 | 35.3 | 24.7 | 37.4 | 19.4 | 0.80 | 0.9 | 0.76 | 0.820 |
| 5000 | 60.1 | 40.9 | 53.3 | 32.8 | 0.70 | 0.85 | 0.56 | 0.680 |
| 7000 | 84.0 | 58.2 | 64.0 | 40.5 | 0.6 | 0.79 | 0.50 | 0.600 |
| 10,000 | 105.5 | 77.7 | 69.5 | 48.9 | 0.48 | 0.70 | 0.38 | 0.450 |
| 15,000 | 137.9 | 107.6 | 70.8 | 55.6 | 0.27 | 0.60 | 0.27 | 0.300 |
| 20,000 | 164.4 | 146.7 | 71.9 | 59.5 | 0.17 | 0.45 | 0.17 | 0.190 |
| 25,000 | 194.2 | 190.1 | 73.3 | 62.8 | 0.10 | 0.38 | 0.10 | 0.110 |
| Harmonic | Probe | Transducer (Figure 1) Rd = 22 kΩ | Transducer (Figure 1) after correction Rd = 22 kΩ | Transducer (LEM) Rd = 22 kΩ | Transducer (LEM) after correction Rd = 22 kΩ | ||||
|---|---|---|---|---|---|---|---|---|---|
| (k) | (%) | Amplitude (%) | Phase shift (°) | Amplitude (%) | Phase shift (°) | Amplitude (%) | Phase shift (°) | Amplitude (%) | Phase shift (°) |
| 3 | 11.33 | 11.22 | 1.19 | 11.32 | 0.29 | 11.31 | 2.79 | 11.33 | 0.23 |
| 5 | 2.65 | 2.59 | 24.67 | 2.64 | 0.56 | 2.64 | 20.64 | 2.65 | 0.51 |
| 7 | 1.60 | 1.57 | 56.37 | 1.60 | 0.79 | 1.58 | 40.16 | 1.60 | 0.78 |
| 9 | 0.47 | 0.45 | 109.56 | 0.47 | 0.91 | 0.46 | 56.23 | 0.47 | 0.90 |
| - | Passive voltage probe | Transducer (Figure 1) Rd = 22 kΩ | Transducer (Figure 1) after correction Rd = 22 kΩ | Transducer (LEM) Rd = 22 kΩ | Transducer (LEM) after correction Rd = 22 kΩ |
|---|---|---|---|---|---|
| THD (%) | 12.13 | 11.81 | 12.11 | 11.96 | 12.12 |
| Error (%) | - | 2.64 | 0.16 | 1.40 | 0.08 |
| - | Passive voltage probe | Transducer (Figure 1) Rd = 22 kΩ | Transducer (Figure 1) after correction Rd = 22 kΩ | Transducer (LEM) Rd = 22 kΩ | Transducer (LEM) after correction Rd = 22 kΩ |
|---|---|---|---|---|---|
| THD (%) | 45.93 | 41.34 | 45.87 | 40.16 | 45.55 |
| Error (%) | - | 9.99 | 0.13 | 12.78 | 0.83 |
© 2019 by the authors. Licensee MDPI, Basel, Switzerland. This article is an open access article distributed under the terms and conditions of the Creative Commons Attribution (CC BY) license (http://creativecommons.org/licenses/by/4.0/).
Share and Cite
Sulowicz, M.; Ludwinek, K.; Tulicki, J.; Depczynski, W.; Nowakowski, L. Practical Adaptation of a Low-Cost Voltage Transducer with an Open Feedback Loop for Precise Measurement of Distorted Voltages. Sensors 2019, 19, 1071. https://doi.org/10.3390/s19051071
Sulowicz M, Ludwinek K, Tulicki J, Depczynski W, Nowakowski L. Practical Adaptation of a Low-Cost Voltage Transducer with an Open Feedback Loop for Precise Measurement of Distorted Voltages. Sensors. 2019; 19(5):1071. https://doi.org/10.3390/s19051071
Chicago/Turabian StyleSulowicz, Maciej, Krzysztof Ludwinek, Jaroslaw Tulicki, Wojciech Depczynski, and Lukasz Nowakowski. 2019. "Practical Adaptation of a Low-Cost Voltage Transducer with an Open Feedback Loop for Precise Measurement of Distorted Voltages" Sensors 19, no. 5: 1071. https://doi.org/10.3390/s19051071
APA StyleSulowicz, M., Ludwinek, K., Tulicki, J., Depczynski, W., & Nowakowski, L. (2019). Practical Adaptation of a Low-Cost Voltage Transducer with an Open Feedback Loop for Precise Measurement of Distorted Voltages. Sensors, 19(5), 1071. https://doi.org/10.3390/s19051071

