Sign in to use this feature.

Years

Between: -

Subjects

remove_circle_outline
remove_circle_outline
remove_circle_outline
remove_circle_outline
remove_circle_outline
remove_circle_outline
remove_circle_outline
remove_circle_outline
remove_circle_outline

Journals

Article Types

Countries / Regions

remove_circle_outline
remove_circle_outline
remove_circle_outline

Search Results (255)

Search Parameters:
Keywords = leakage inductance

Order results
Result details
Results per page
Select all
Export citation of selected articles as:
16 pages, 4985 KB  
Article
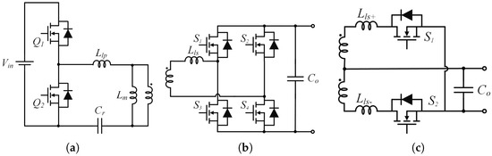
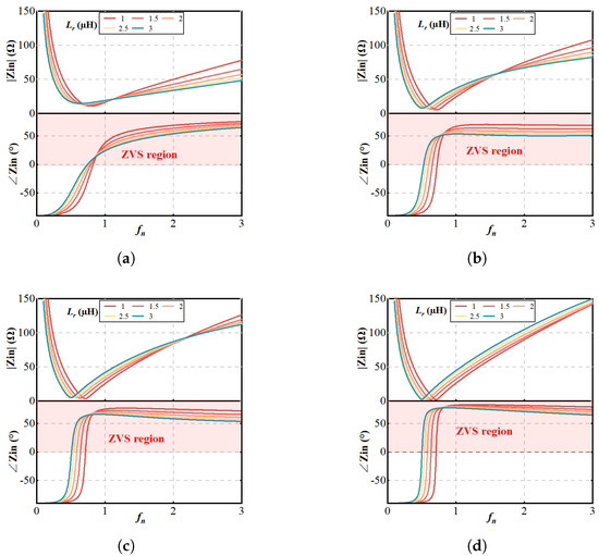
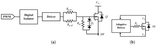
Impact of Asymmetrical Leakage Inductance on a 380 V–12 V LLC Converter with Synchronous Rectifier for DC Transformer Application
by Jinshu Lin, Hui Li, Shan Yin, Chen Song, Xi Liu, Honglang Zhang and Minghai Dong
Energies 2026, 19(2), 382; https://doi.org/10.3390/en19020382 - 13 Jan 2026
Abstract
High-density 380 V–12 V LLC resonant converters typically employ planar transformers with integrated leakage inductance. To achieve Zero-Voltage Switching (ZVS), an air gap is introduced to adjust the magnetizing inductance (Lm). However, this gap alters the internal magnetic [...] Read more.
High-density 380 V–12 V LLC resonant converters typically employ planar transformers with integrated leakage inductance. To achieve Zero-Voltage Switching (ZVS), an air gap is introduced to adjust the magnetizing inductance (Lm). However, this gap alters the internal magnetic field (H) distribution. In Center-Tapped (CT) structures, this alteration leads to asymmetric leakage inductances between the positive and negative half-cycles, causing resonant frequency mismatch and performance degradation, particularly under light-load conditions. In this work, the asymmetrical leakage inductance effect in a CT transformer for a 380 V–12 V LLC resonant converter is systematically investigated. A mathematical model is derived to quantify the leakage inductance distribution, revealing that the relative position between the air gap and the windings significantly affects the symmetry. Based on this modeling analysis, the centralized assembly method is identified as the optimal solution to ensure impedance symmetry. The accuracy of the proposed model and the effectiveness of this structure are validated through Finite Element Analysis (FEA) simulations and a hardware prototype of a 250-W, 600-kHz LLC converter. Results demonstrate that this method eliminates the approximately 11% leakage inductance discrepancy (1.8 μH vs. 1.6 μH), ensuring stable operation across the full load range. Full article
(This article belongs to the Section F3: Power Electronics)
Show Figures

Figure 1

18 pages, 3068 KB  
Article
Identification of Grounding Impulse Impedance Based on a Combined Improved Hanning Window and RLS Algorithm in Power System
by Jialin Wan, Jiayuan Hu, Zikang Yang, Fan Yang, Sen Liu, Shiying Hou, Yanzhi Wu and Xiaohan Wen
Processes 2026, 14(2), 253; https://doi.org/10.3390/pr14020253 - 11 Jan 2026
Viewed by 67
Abstract
To enhance the accuracy and timeliness of field testing for grounding impulse impedance in complex soil environments, this paper addresses the limitations of traditional peak-ratio methods—such as susceptibility to noise interference and the inability to reflect dynamic impedance variations—by proposing an identification method [...] Read more.
To enhance the accuracy and timeliness of field testing for grounding impulse impedance in complex soil environments, this paper addresses the limitations of traditional peak-ratio methods—such as susceptibility to noise interference and the inability to reflect dynamic impedance variations—by proposing an identification method that combines an improved Hanning window with recursive least squares (RLS). During signal preprocessing, an improved Hanning window with adjustable parameters and energy normalization is employed to enhance the main-lobe energy concentration of impulse voltage and current signals while effectively suppressing high-frequency sidelobe leakage. In the parameter estimation stage, a low-order discrete linear model is established and an RLS algorithm with a forgetting factor is introduced to achieve full-time adaptive estimation of impulse impedance. Using a simulated surge test circuit, 18 sets of typical operating conditions with varying inductance and resistance parameters are designed. The same voltage and current data are processed using three processing methods: no windowing, standard Hanning windowing, and improved Hanning windowing. Results show that the average relative error of surge impedance is 9.16% without windowing, the standard Hanning window reduced the error to 3.78%, and the modified Hanning window further decreased the error to approximately 1.51%. Comparative analysis of different forgetting factor settings indicates that a value of approximately λ = 0.98 achieves an optimal trade-off between dynamic tracking capability and steady-state smoothness. The research results demonstrate that the proposed method achieves high identification accuracy for impact impedance and exhibits satisfactory parameter robustness under strong noise and multiple operating conditions, providing a reference for grounding impact characteristic testing and lightning protection design. Full article
(This article belongs to the Section Energy Systems)
Show Figures

Figure 1

14 pages, 4161 KB  
Article
Influences of Leakage Inductances in Integrated Transformer of Input-Series Flyback Converter
by Shengze Liu, Wentao Huang, Tao Meng, Hongqi Ben and Chunyan Li
Electronics 2026, 15(1), 229; https://doi.org/10.3390/electronics15010229 - 4 Jan 2026
Viewed by 150
Abstract
In this paper, the influences of leakage inductances are investigated for the integrated transformer of an input-series flyback converter, in which each input-series circuit is based on the single-switch flyback topology. First, the configuration of this converter is introduced, and a novel multiple-inductor [...] Read more.
In this paper, the influences of leakage inductances are investigated for the integrated transformer of an input-series flyback converter, in which each input-series circuit is based on the single-switch flyback topology. First, the configuration of this converter is introduced, and a novel multiple-inductor coupling model is proposed for its flyback integrated transformer. Second, the operational process of this converter is analyzed by considering the leakage inductances between the primary and secondary windings of its integrated transformer. Third, the influences of these leakage inductances are analyzed; on this basis, the essential design considerations of the flyback integrated transformer are summarized. Finally, an experimental prototype of this input-series converter is built. Based on this, the analysis is verified by the experimental comparisons among three flyback integrated transformers with various winding layouts. Full article
(This article belongs to the Section Power Electronics)
Show Figures

Figure 1

21 pages, 9852 KB  
Article
Multivariate Statistical Analysis of Solidago canadensis L. Essential Oil and Its Antifungal Mechanism Against Mulberry Sclerotinia Diseases
by Jia-Xin Yang, Zhen-Zhen Lu, Sen Chen, Shi-Yi Lin, Xiao-Hui Yao, Tao Chen and Dong-Yang Zhang
Int. J. Mol. Sci. 2026, 27(1), 49; https://doi.org/10.3390/ijms27010049 - 20 Dec 2025
Viewed by 237
Abstract
Ciboria shiraiana (C. shiraiana), a pathogenic fungus, is a major threat to mulberry trees, causing mulberry sclerotinia diseases. Current control strategies primarily rely on chemical pesticides, whose long-term use leads to adverse effects such as pesticide residues, environmental pollution, and pathogen [...] Read more.
Ciboria shiraiana (C. shiraiana), a pathogenic fungus, is a major threat to mulberry trees, causing mulberry sclerotinia diseases. Current control strategies primarily rely on chemical pesticides, whose long-term use leads to adverse effects such as pesticide residues, environmental pollution, and pathogen resistance. This study aimed to develop a green pesticide derived from the essential oil (EOs) of Solidago canadensis L. (S. canadensis L.) and to analyze its antifungal mechanism. SLEOs were extracted from flowers, leaves, and stems of S. canadensis L. via hydro-distillation. Their chemical composition was analyzed by GC-MS. Multivariate statistical analysis was used to assess compositional differences among SLEOs from various plant parts and evaluate the correlation between their chemical components and antifungal efficacy. The antifungal mechanism of SLEOs against C. shiraiana was investigated using an integrated approach combining transcriptomics with physiological and biochemical analyses. The EO yield varied with plant part: flowers yielded the most (1.00% ± 0.07%), followed by leaves (0.76% ± 0.04%) and stems (0.05% ± 0.01%). Flower EOs (FEOs) strongly inhibited C. shiraiana, with an EC50 value of 0.642 μL/mL. α-pinene and myrcene showed the highest correlation with antifungal activity. Transcriptomic and physiological data revealed that SLEOs compromise cell wall and membrane integrity, infiltrate cells, and trigger leakage of intracellular contents. Additionally, SLEOs inhibited activities of antioxidant enzymes (SOD, CAT, and POD), leading to intracellular ROS accumulation, oxidative stress, lipid peroxidation, and DNA damage. SLEOs constitute a promising natural and environmentally sustainable antifungal agent. Their activity is linked to specific components and a multi-target mechanism involving membrane disruption and oxidative stress induction. This study provides a foundation for developing plant-based agents to manage mulberry sclerotinia diseases. Full article
(This article belongs to the Section Molecular Plant Sciences)
Show Figures

Graphical abstract

15 pages, 4175 KB  
Article
Low-Frequency Transient Model of Single-Phase Four-Limb Converter Transformer Considering the Nonlinear Excitation Characteristics of the Iron Core
by Xichen Pei, Lan Xiong, Zhanlong Zhang, Zijian Dong, Yu Yang, Jiatai Gao and Tao Feng
Appl. Sci. 2026, 16(1), 16; https://doi.org/10.3390/app16010016 - 19 Dec 2025
Viewed by 140
Abstract
Transformer modeling is a crucial method for analyzing transient phenomena such as inrush currents. The primary characteristic of a transformer transient model is its ability to reflect how the transformer’s structure and material properties influence the magnetic and electric fields. In high-voltage direct [...] Read more.
Transformer modeling is a crucial method for analyzing transient phenomena such as inrush currents. The primary characteristic of a transformer transient model is its ability to reflect how the transformer’s structure and material properties influence the magnetic and electric fields. In high-voltage direct current (HVDC), the single-phase converter adopts a double-core-limb and double-side-limb configuration, whose core structure, magnetic flux distribution, and ferromagnetic materials differ from conventional power transformers. This paper conducts research on low-frequency transient modeling of single-phase four-limb converter transformers. This study first determines the magnetic field distribution of the single-phase converter transformer with the inclusion of leakage flux. Subsequently, a corresponding model is derived from the principle of duality. Due to the laminated structure, the iron core exhibits different excitation characteristics from those of a single silicon steel sheet. For the excitation branch, AC-DC hybrid excitation is used to measure incremental excitation inductance and the nonlinear excitation curve is calculated based on this inductance. Furthermore, the allocation method of this curve in the core limb, side limb, and yoke is proposed to establish the converter transformer model. The results of no-load and inrush current tests based on the scaled model validate the effectiveness of this model, which can accurately calculate the inrush current under different remanence and closing conditions. Full article
(This article belongs to the Section Electrical, Electronics and Communications Engineering)
Show Figures

Figure 1

37 pages, 2504 KB  
Review
Molecular Biochemistry and Physiology of Postharvest Chilling Injury in Fruits: Mechanisms and Mitigation
by Hansika Sati, Priyanka Kataria, Sunil Pareek and Daniel Alexandre Neuwald
Agronomy 2025, 15(12), 2914; https://doi.org/10.3390/agronomy15122914 - 18 Dec 2025
Viewed by 702
Abstract
Postharvest chilling injury (PCI) is a significant limitation in the storage of temperature-sensitive fruits, leading to quality deterioration and reduced marketability. However, low temperatures delay senescence—consistent with the Q10 principle, where metabolic reaction rates change 2–3-fold per 10 °C—and chilling-sensitive fruits experience membrane [...] Read more.
Postharvest chilling injury (PCI) is a significant limitation in the storage of temperature-sensitive fruits, leading to quality deterioration and reduced marketability. However, low temperatures delay senescence—consistent with the Q10 principle, where metabolic reaction rates change 2–3-fold per 10 °C—and chilling-sensitive fruits experience membrane destabilization, oxidative imbalances, and structural degradation under cold stress. Physiological assessments consistently report elevated electrolyte leakage, increased malondialdehyde accumulation, and reduced membrane fluidity, coupled with disruptions in respiration and cellular energy metabolism. Biochemically, PCI is characterized by enhanced ROS production and a 20–50% decline in key antioxidant enzymes, along with disturbances in calcium signaling and hormone regulation. At the molecular level, chilling-responsive transcription factors such as CBF, CAM, HSF, and WRKY show strong induction, while lipid remodeling and epigenetic modifications further shape cold adaptation responses. Advances in multi-omics, including transcriptomics, proteomics, metabolomics, lipidomics, and volatilomics, have revealed chilling-associated metabolic shifts and regulatory cascades, enabling the identification of potential biomarkers of tolerance. Emerging mitigation strategies, including physical and chemical treatments, as well as CRISPR-based interventions, have shown a 30–60% reduction in PCI in controlled studies. This review synthesizes recent progress in physiology, molecular biochemistry, and postharvest technology to support future research and practical PCI management. Full article
(This article belongs to the Section Plant-Crop Biology and Biochemistry)
Show Figures

Figure 1

17 pages, 5942 KB  
Article
Accurate Calculation of High-Frequency Transformer Leakage Inductance Based on Dowell’s Model and Analysis of Influencing Factors
by Yangyang Ma, Wenle Song, Junlei Zhao, Lei Wang, Shenghui Mu, Jing Wu, Hang Zhang and Peng Su
Electronics 2025, 14(22), 4548; https://doi.org/10.3390/electronics14224548 - 20 Nov 2025
Viewed by 578
Abstract
The leakage inductance of high-frequency transformers (HFTs) is a critical parameter affecting the performance of power electronic equipment, such as DC-DC converters. During the transformer design phase, by precisely calculating and retaining an appropriate amount of leakage inductance, the independent inductors in the [...] Read more.
The leakage inductance of high-frequency transformers (HFTs) is a critical parameter affecting the performance of power electronic equipment, such as DC-DC converters. During the transformer design phase, by precisely calculating and retaining an appropriate amount of leakage inductance, the independent inductors in the original topology can be replaced, thereby reducing the size of the converter. This paper derives the analytical expression for the magnetic field distribution in the core window, based on Dowell’s one-dimensional model system. A leakage inductance calculation model is established using the square integral of the magnetic field strength. The study investigates the effects of winding spatial distribution and operating frequency on leakage inductance. Finally, the model’s accuracy is verified through experimental measurements, with the results aligning closely with those obtained from the analytical method, and the error falling within a reasonable range. Full article
Show Figures

Figure 1

13 pages, 1573 KB  
Article
Role of Lipocalin-2 in Brain Injury After Subarachnoid Hemorrhage in Female Mice
by Hao Zhao, Yingfeng Wan, Sravanthi Koduri, Ya Hua, Guohua Xi and Richard F. Keep
Cells 2025, 14(22), 1770; https://doi.org/10.3390/cells14221770 - 12 Nov 2025
Viewed by 603
Abstract
Subarachnoid hemorrhage (SAH) is a devastating cerebrovascular disorder with high mortality and long-term disability. It is more prevalent in women than men, but most preclinical research has been performed in male animals. Upregulation of lipocalin-2 (Lcn2), an acute-phase protein involved in iron homeostasis [...] Read more.
Subarachnoid hemorrhage (SAH) is a devastating cerebrovascular disorder with high mortality and long-term disability. It is more prevalent in women than men, but most preclinical research has been performed in male animals. Upregulation of lipocalin-2 (Lcn2), an acute-phase protein involved in iron homeostasis and neuroinflammation, has been implicated in hemorrhagic brain injury in male animals. The purpose of this study was to examine whether genetic deletion of Lcn2 also reduces early brain injury after SAH in female mice. Adult female wild-type (WT) and Lcn2 knockout (KO) mice were subjected to endovascular perforation to induce SAH. Lcn2 expression was assessed by immunohistochemistry and Western blotting, while brain injury was evaluated using MRI T2 lesion measurement, blood–brain barrier (BBB) permeability assays, Fluoro-Jade C staining, and Garcia’s neurological scoring. We found that Lcn2 expression was upregulated in multiple brain regions after SAH, particularly in astrocytes. Compared with WT mice, Lcn2 KO mice exhibited significantly reduced oxidative stress, attenuated ferritin induction, smaller T2 lesions, decreased BBB leakage, reduced neuronal degeneration, and improved neurological recovery over 7 days. These findings identify Lcn2 as a critical mediator of early brain injury after SAH in female mice. These results further support targeting Lcn2 as a therapeutic strategy to reduce brain damage and improve outcomes in SAH patients. Full article
Show Figures

Figure 1

22 pages, 10609 KB  
Article
Fault Diagnosis and Location Method for Stator-Winding Single-Phase Grounding of Large Generator Based on Stepped-Frequency Pulse Injection
by Binghui Lei, Shuai Xu, Yang Liu, Weiguo Zu, Mingtao Yu, Yanxun Guo, Lianghui Dong and Zhiping Cheng
Sensors 2025, 25(22), 6875; https://doi.org/10.3390/s25226875 - 11 Nov 2025
Viewed by 439
Abstract
Ensuring the safe operation of large hydro-generators is essential for energy supply and economic development. Stator-winding single-phase grounding faults are among the most common failures in such generators. Conventional protection methods—such as fundamental voltage protection, third-harmonic voltage saturation, and low-frequency injection—lack fault location [...] Read more.
Ensuring the safe operation of large hydro-generators is essential for energy supply and economic development. Stator-winding single-phase grounding faults are among the most common failures in such generators. Conventional protection methods—such as fundamental voltage protection, third-harmonic voltage saturation, and low-frequency injection—lack fault location capability and cannot assess the fault severity. This paper proposes a stepwise variable-frequency pulse injection method for fault diagnosis and location in large hydro-generator stator windings. A finite element model of a salient-pole hydro-generator is established to analyze magnetic flux density and electromotive force distributions under normal and fault conditions, from which fault characteristics are derived. Equivalent circuit models suitable for low- and high-frequency pulse injection are developed. A bidirectional pulse injection circuit and algorithm are designed to identify the fault phase via terminal current vector characteristics, diagnose the faulty branch based on leakage loop equivalent inductance, and locate the fault point using voltage–current signal slopes. Simulation results validate the effectiveness of the proposed diagnostic approach. Full article
(This article belongs to the Section Fault Diagnosis & Sensors)
Show Figures

Figure 1

13 pages, 1438 KB  
Article
Cold Tolerance Differences Between the Widely Used Model S. lycopersicum Cultivars and the Wild Species S. lycopersicoides: Role of Fatty Acid Profile and CBF Genes
by Irina Milovskaya, Alexander Voronkov, Tatiana Ivanova, Vladimir Kuznetsov and Pavel Pashkovskiy
Horticulturae 2025, 11(11), 1342; https://doi.org/10.3390/horticulturae11111342 - 7 Nov 2025
Viewed by 494
Abstract
Late spring frosts and transient cold spells constrain tomato productivity. This study presents a comparative analysis of the chilling response of two Solanum lycopersicum cultivars, MoneyMaker (MM) and Micro-Tom (MT), and the wild relative S. lycopersicoides. The assessment integrated physiological parameters, such [...] Read more.
Late spring frosts and transient cold spells constrain tomato productivity. This study presents a comparative analysis of the chilling response of two Solanum lycopersicum cultivars, MoneyMaker (MM) and Micro-Tom (MT), and the wild relative S. lycopersicoides. The assessment integrated physiological parameters, such as electrolyte leakage and PSII efficiency, expression levels of CBF1–3 genes (via qPCR), and fatty acid composition dynamics of membrane lipids (via gas-liquid chromatography-mass spectrometry). The results revealed distinct response strategies. S. lycopersicoides exhibited comprehensive tolerance and was coordinated across biological levels. Its key mechanisms include superior membrane integrity, sustained PSII photochemical efficiency, stable upregulation of CBF genes (with predominant CBF3 induction), and consistently high α-linolenic acid content. This integration prevented membrane damage and sustained photosynthesis. Conversely, the MM cultivar displayed high sensitivity, characterized by transient CBF1 upregulation, an absence of adaptive lipid remodelling, rapid membrane damage, and severe photoinhibition, explaining its poor recovery. The MT genotype demonstrated an intermediate phenotype, featuring delayed but persistent CBF activation, and the partial lipid profile shifted toward the wild-type pattern, indicating a partial adaptive capacity for membrane adjustment. These findings establish S. lycopersicoides as a vital genetic resource for breeding cold-tolerant tomatoes, while MT provides a model for studying adaptation mechanisms in cultivated varieties. Full article
Show Figures

Figure 1

18 pages, 4668 KB  
Article
Streptozotocin Causes Blood–Brain Barrier and Astrocytic Dysfunction In Vitro
by Sarah A. Habib, Mohamed M. Kamal, Mohamed H. Aly, Heba R. Ghaiad, Sherine M. Rizk, William A. Banks and Michelle A. Erickson
Cells 2025, 14(21), 1745; https://doi.org/10.3390/cells14211745 - 6 Nov 2025
Viewed by 962
Abstract
Streptozotocin (STZ) is an alkylating agent that has neurotoxic effects when injected into the cerebral ventricles (ICV) and also models many other features of Alzheimer’s disease. However, the mechanisms of STZ neurotoxicity are not well understood. In this study, we hypothesized that some [...] Read more.
Streptozotocin (STZ) is an alkylating agent that has neurotoxic effects when injected into the cerebral ventricles (ICV) and also models many other features of Alzheimer’s disease. However, the mechanisms of STZ neurotoxicity are not well understood. In this study, we hypothesized that some of the neurotoxic effects of STZ could be due to direct activities on brain endothelial cells and astrocytes, which are key in forming and supporting the functions of the blood–brain barrier (BBB), respectively. To test this hypothesis, we characterized the changes induced by STZ either in cultures of human-induced pluripotent stem cell (iPSC)-derived brain endothelial-like cells (iBECs), which form an in vitro BBB model, or in primary human astrocytes. We found that STZ at a dosage of 5 mM caused a delayed reduction in the transendothelial electrical resistance (TEER) of iBECs at 7–11 days post-treatment, indicating induction of BBB leakage. Additionally, we observed significant increases in albumin leakage across the monolayer, altered iBEC morphology, and reductions in tight junction proteins, suggesting that STZ causes BBB disruption. We further found that the BBB glucose transporter GLUT-1 was reduced in iBECs, as was the total number of iBECs. In astrocytes, the 5 mM dose of STZ reduced the GFAP signal and total number of cells, suggesting that STZ has anti-proliferative and/or toxic effects on astrocytes. Together, these data support that STZ’s neurotoxic effects could be due, in part, to its direct toxic activities on brain endothelial cells and astrocytes. Full article
Show Figures

Figure 1

19 pages, 7223 KB  
Article
Analysis of Failure Cause in Steel Wire-Reinforced Thermoplastic Composite Pipes for Sour Gas Field Water Transportation
by Zhiming Yu, Shaomu Wen, Jie Wang, Jianwei Lin, Chuan Xie and Dezhi Zeng
Materials 2025, 18(21), 4865; https://doi.org/10.3390/ma18214865 - 24 Oct 2025
Viewed by 612
Abstract
Steel-reinforced thermoplastic pipe is widely used for water transportation in sour gas fields. However, under the combined effects of corrosive media, internal high pressure, and long-term environmental aging, premature failures such as leakage and bursting often occur. To clarify the failure causes and [...] Read more.
Steel-reinforced thermoplastic pipe is widely used for water transportation in sour gas fields. However, under the combined effects of corrosive media, internal high pressure, and long-term environmental aging, premature failures such as leakage and bursting often occur. To clarify the failure causes and primary contributing factors of the composite pipes, this study conducted a comprehensive analysis through microscopic morphology examination of different typical failure cases, differential scanning calorimetry, Fourier transform infrared spectroscopy, and mechanical property testing. The main failure mechanisms were investigated, and targeted protective measures are proposed. Key findings reveal that the typical failure modes are ductile cracking, aging-induced brittle cracking, and aging creep cracking. These failures follow a mechanism of degradation of the inner and outer polyethylene protective layers, penetration of the medium and corrosion of the steel wires, reduction in pressure-bearing capacity, and eventual structural damage or leakage propagation through the pipe wall. Notably, oxidation induction time values dropped as low as 1.4–17 min—far below the standard requirement of >20 min—indicating severe antioxidant depletion and material aging. The main controlling factors are poor material quality, external stress or mechanical damage, and long-term aging. The polyethylene used for the inner and outer protective layers is critical to the overall pipe performance; therefore, emphasis should be placed on evaluating its anti-aging properties and on protecting the pipe body during installation to ensure the long-term safety and stable operation of the pipeline system. Full article
Show Figures

Figure 1

20 pages, 8476 KB  
Article
Three-Phase Space Vector PWM Inverter for Induction Motor Drive with Leakage Current Reduction
by Gerardo Vazquez-Guzman, Panfilo R. Martinez-Rodriguez, Julio C. Rosas-Caro, Emmanuel Rivera-Perez, Juan A. Verdin-Cruz, Christopher J. Rodriguez-Cortes and Diego Langarica-Cordoba
Sustainability 2025, 17(20), 9317; https://doi.org/10.3390/su17209317 - 20 Oct 2025
Viewed by 1041
Abstract
Several industrial applications rely on induction motors to carry out processes essential for product manufacturing. Speed control of an induction motor commonly requires a pulse width modulated inverter capable of driving a system with long cables, suppression of common mode voltage, reduction in [...] Read more.
Several industrial applications rely on induction motors to carry out processes essential for product manufacturing. Speed control of an induction motor commonly requires a pulse width modulated inverter capable of driving a system with long cables, suppression of common mode voltage, reduction in common mode current, and suppression of electromagnetic interference. This paper proposes a three-phase motor drive aimed at maintaining a constant common-mode voltage. The proposed system consists of two three-phase conventional full bridge inverters connected in parallel and having as an input two separate direct current sources. The proposed system is controlled by using the space vector pulse width modulation technique. By properly designing the switching signal sequences for both converters, the common-mode voltage can be maintained constant, thereby reducing the associated common-mode current to an RMS value of 92.3 mA and enhancing the overall reliability of the system. The proposed system is validated through numerical simulations and by the implementation of an experimental prototype. Full article
(This article belongs to the Special Issue Power Electronics on Recent Sustainable Energy Conversion Systems)
Show Figures

Figure 1

26 pages, 1351 KB  
Review
Trends and Limitations in Transformer-Based BCI Research
by Maximilian Achim Pfeffer, Johnny Kwok Wai Wong and Sai Ho Ling
Appl. Sci. 2025, 15(20), 11150; https://doi.org/10.3390/app152011150 - 17 Oct 2025
Cited by 1 | Viewed by 1874
Abstract
Transformer-based models have accelerated EEG motor imagery (MI) decoding by using self-attention to capture long-range temporal structures while complementing spatial inductive biases. This systematic survey of Scopus-indexed works from 2020 to 2025 indicates that reported advances are concentrated in offline, protocol-heterogeneous settings; inconsistent [...] Read more.
Transformer-based models have accelerated EEG motor imagery (MI) decoding by using self-attention to capture long-range temporal structures while complementing spatial inductive biases. This systematic survey of Scopus-indexed works from 2020 to 2025 indicates that reported advances are concentrated in offline, protocol-heterogeneous settings; inconsistent preprocessing, non-standard data splits, and sparse efficiency frequently reporting cloud claims of generalization and real-time suitability. Under session- and subject-aware evaluation on the BCIC IV 2a/2b dataset, typical performance clusters are in the high-80% range for binary MI and the mid-70% range for multi-class tasks with gains of roughly 5–10 percentage points achieved by strong hybrids (CNN/TCN–Transformer; hierarchical attention) rather than by extreme figures often driven by leakage-prone protocols. In parallel, transformer-driven denoising—particularly diffusion–transformer hybrids—yields strong signal-level metrics but remains weakly linked to task benefit; denoise → decode validation is rarely standardized despite being the most relevant proxy when artifact-free ground truth is unavailable. Three priorities emerge for translation: protocol discipline (fixed train/test partitions, transparent preprocessing, mandatory reporting of parameters, FLOPs, per-trial latency, and acquisition-to-feedback delay); task relevance (shared denoise → decode benchmarks for MI and related paradigms); and adaptivity at scale (self-supervised pretraining on heterogeneous EEG corpora and resource-aware co-optimization of preprocessing and hybrid transformer topologies). Evidence from subject-adjusting evolutionary pipelines that jointly tune preprocessing, attention depth, and CNN–Transformer fusion demonstrates reproducible inter-subject gains over established baselines under controlled protocols. Implementing these practices positions transformer-driven BCIs to move beyond inflated offline estimates toward reliable, real-time neurointerfaces with concrete clinical and assistive relevance. Full article
(This article belongs to the Special Issue Brain-Computer Interfaces: Development, Applications, and Challenges)
Show Figures

Figure 1

19 pages, 2192 KB  
Article
Robust Online Rotor Time Constant Tuning Method with High-Frequency Current Injection for Indirect Field-Oriented Induction Motor Drives
by Yongsu Han
Symmetry 2025, 17(10), 1729; https://doi.org/10.3390/sym17101729 - 14 Oct 2025
Viewed by 404
Abstract
For an induction motor operating as a symmetric three-phase system, the performance of indirect field-oriented vector control relies heavily on the accuracy of the rotor time constant. Any inaccuracies result in severe torque errors and compromise dynamic performance because of the coupling between [...] Read more.
For an induction motor operating as a symmetric three-phase system, the performance of indirect field-oriented vector control relies heavily on the accuracy of the rotor time constant. Any inaccuracies result in severe torque errors and compromise dynamic performance because of the coupling between the flux and torque controls. Although conventional IFOC methods are intended to compensate for the rotor time constant error, they rely on induction machine parameters such as the mutual and leakage inductances. This paper proposes an online method for tuning the rotor time constant independent of other parameters. First, an active power model of three-phase symmetric induction motor is selected to estimate the stator resistance based on a model reference adaptive system, which requires only the rotor time constant. Additionally, high-frequency current injection and torque ripple estimation without phase delay or amplitude decay are introduced to compensate for the rotor time constant. When a high-frequency current is injected, the rotor time constant and stator resistance can be simultaneously tuned without depending on other parameters. A high-frequency current is injected only when a rotor time constant error is detected from the estimated stator resistance. This behavior is enabled by the correlation between the stator resistance and the rotor time constant. Simulation results using MATLAB/Simulink regarding the symmetric three-phase induction motor validate the proposed method. Full article
(This article belongs to the Special Issue Applications of Symmetry Three-Phase Electrical Power Systems)
Show Figures

Figure 1

Back to TopTop