Femtosecond-Pulsed Laser Written and Etched Fiber Bragg Gratings for Fiber-Optical Biosensing
Abstract
1. Introduction
2. Materials and Methods
2.1. Materials and Reagents
2.2. Writing of FBGs
2.3. Signal Processing System
2.4. Fiber Etching Process
2.5. Biofunctionalization
2.6. CRP Detection
2.7. Data Analysis
3. Results and Discussion
3.1. Writing of FBGs
3.2. Fiber Etching Process
3.3. Biofunctionalization
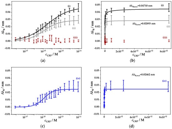
3.4. CRP Detection
4. Conclusions
Author Contributions
Funding
Acknowledgments
Conflicts of Interest
References
- Polanski, M.; Anderson, N.L. A List of Candidate Cancer Biomarkers for Targeted Proteomics. Biomark. Insights 2007, 1, 1–48. [Google Scholar] [CrossRef] [PubMed]
- Blennow, K.; Mattsson, N.; Schöll, M.; Hansson, O.; Zetterberg, H. Amyloid Biomarkers in Alzheimer’s Disease. Trends Pharmacol. Sci. 2015, 36, 297–309. [Google Scholar] [CrossRef] [PubMed]
- Wu, L.; Qu, X. Cancer Biomarker Detection: Recent Achievements and Challenges. Chem. Soc. Rev. 2015, 44, 2963–2997. [Google Scholar] [CrossRef] [PubMed]
- Topalian, S.L.; Taube, J.M.; Anders, R.A.; Pardoll, D.M. Mechanism-Driven Biomarkers to Guide Immune Checkpoint Blockade in Cancer Therapy. Nat. Rev. Cancer 2016, 16, 275–287. [Google Scholar] [CrossRef] [PubMed]
- Vo-Dinh, T.; Cullum, B. Biosensors and Biochips: Advances in Biological and Medical Diagnostics. Fresenius J. Anal. Chem. 2000, 366, 540–551. [Google Scholar] [CrossRef] [PubMed]
- Bohunicky, B.; Mousa, S.A. Biosensors: The New Wave in Cancer Diagnosis. Nanotechnol. Sci. Appl. 2011, 4, 1–10. [Google Scholar]
- Damborský, P.; Švitel, J.; Katrlík, J. Optical Biosensors. Essays Biochem. 2016, 60, 91–100. [Google Scholar] [CrossRef] [PubMed]
- Baldini, F.; Brenci, M.; Chiavaioli, F.; Giannetti, A.; Trono, C. Optical Fibre Gratings as Tools for Chemical and Biochemical Sensing. Anal. Bioanal. Chem. 2012, 402, 109–116. [Google Scholar] [CrossRef] [PubMed]
- Chiavaioli, F.; Baldini, F.; Tombelli, S.; Trono, C.; Giannetti, A. Biosensing with Optical Fiber Gratings. Nanophotonics 2017, 6, 663–679. [Google Scholar] [CrossRef]
- Hill, K.O.; Fujii, Y.; Johnson, D.C.; Kawasaki, B.S. Photosensitivity in Optical Fiber Waveguides: Application to Reflection Filter Fabrication. Appl. Phys. Lett. 1978, 32, 647–649. [Google Scholar] [CrossRef]
- Werneck, M.M.; Allil, R.C.S.B.; Ribeiro, B.A.; de Nazaré, F.V.B. A Guide to Fiber Bragg Grating Sensors. In Current Trends in Short- and Long-Period Fiber Gratings; Cuadrdo-Laborde, C., Ed.; IntechOpen: London, UK, 2013; Chapter 1; pp. 1–24. [Google Scholar]
- Othonos, A. Fiber Bragg Gratings. Rev. Sci. Instrum. 1997, 68, 4309–4341. [Google Scholar] [CrossRef]
- Hill, K.O.; Meltz, G. Fiber Bragg Grating Technology Fundementals and Overview. IEEE J. Lightwave Technol. 1997, 15, 1263–1276. [Google Scholar] [CrossRef]
- Bennion, I.; Williams, J.A.R.; Zhang, L.; Sugden, K.; Doran, N.J. Uv-Written in-Fibre Bragg Gratings. Opt. Quantum Electron. 1996, 28, 93–135. [Google Scholar] [CrossRef]
- Konstantaki, M.; Tamiolakis, Q.; Argyris, A.; Othonos, A.; Ikiades, A. Effects of Ge Concentration, Boron Co-Doping, and Hydrogenation on Fiber Bragg Grating Characteristics. Microw. Opt. Technol. Lett. 2005, 44, 148–152. [Google Scholar] [CrossRef]
- Malo, B.; Albert, J.; Bilodeau, F.; Kitagawa, T.; Johnson, D.C.; Hill, K.O.; Hattori, K.; Hibino, Y.; Gujrathi, S. Photosensitivity in Phosphorus-Doped Silica Glass and Optical Waveguides. Appl. Phys. Lett. 1994, 394, 28–30. [Google Scholar] [CrossRef]
- Martínez, A.; Dubov, M.; Khrushchev, I.; Bennion, I. Femtosecond Inscription of Superimposed, Non-Overlapping Fibre Bragg Gratings. Opt. Express 2004, 2, 124–125. [Google Scholar]
- Martínez, A.; Dubov, M.; Khrushchev, I.; Bennion, I. Point by Point FBG Inscription by a Focused NIR Femtosecond Laser. OSA Trends Opt. Photonics Ser. 2004, 96 A, 393–394. [Google Scholar]
- Martínez, A.; Dubov, M.; Khrushchev, I.; Bennion, I. Direct Writing of Fibre Bragg Gratings by Femtosecond Laser. Electron. Lett. 2004, 40, 1170. [Google Scholar] [CrossRef]
- de Lima Filho, E.S.; Baiad, M.D.; Gagné, M.; Kashyap, R. Fiber Bragg Gratings for Low-Temperature Measurement. Opt. Express 2014, 22, 27681–27694. [Google Scholar] [CrossRef] [PubMed]
- Schroeder, K.; Ecke, W.; Apitz, J.; Lembke, E.; Lenschow, G. A Fibre Bragg Grating Sensor System Monitors Operational Load in a Wind Turbine Rotor Blade. Meas. Sci. Technol. 2006, 17, 1167–1172. [Google Scholar] [CrossRef]
- Chan, T.H.T.; Yu, L.; Tam, H.Y.; Ni, Y.Q.; Liu, S.Y.; Chung, W.H.; Cheng, L.K. Fiber Bragg Grating Sensors for Structural Health Monitoring of Tsing Ma Bridge: Background and Experimental Observation. Eng. Struct. 2006, 28, 648–659. [Google Scholar] [CrossRef]
- Burgmeier, J.; Schippers, W.; Emde, N.; Funken, P.; Schade, W. Femtosecond Laser-Inscribed Fiber Bragg Gratings for Strain Monitoring in Power Cables of Offshore Wind Turbines. Appl. Opt. 2011, 50, 1868–1872. [Google Scholar] [CrossRef] [PubMed]
- Lindner, E. Erzeugung und Eigenschaften Hoch-Temperaturstabiler Faser-Bragg-Gitter. Ph.D. Thesis, Friedrich-Schiller-Universität Jena, Jena, Germany, 15 May 2012. [Google Scholar]
- Yuan, Y.; Wang, L.; Ding, L.; Wu, C. Theory, Experiment, and Application of Optical Fiber Etching. Appl. Opt. 2012, 51, 5845–5849. [Google Scholar] [CrossRef] [PubMed]
- Schroeder, K.; Ecke, W.; Mueller, R.; Willsch, R.; Andreev, A. A Fibre Bragg Grating Refractometer. Meas. Sci. Technol. 2001, 12, 757–764. [Google Scholar] [CrossRef]
- Liao, C.; Wang, Q.; Xu, L.; Liu, S.; He, J.; Zhao, J.; Li, Z.; Wang, Y. D-Shaped Fiber Grating Refractive Index Sensor Induced by an Ultrashort Pulse Laser. Appl. Opt. 2016, 55, 1525. [Google Scholar] [CrossRef] [PubMed]
- Libish, T.M.; Bobby, M.C.; Linslal, C.L.; Mathew, S.; Pradeeep, C.; Indu, S.; Biswas, P.; Bandyopadhyay, S.; Dasgupta, K.; NamPoori, V.P.N.; et al. Etched and DNA Coated Fiber Bragg Grating Based Biosensor for Protein Concentration Measurement. Optoelectron. Electron. Adv. Mater. Rapid Commun. 2015, 9, 1401–1405. [Google Scholar]
- Burgmeier, J.; Feizpour, A.; Schade, W.; Reinhard, B.M. Plasmonic Nanoshell Functionalized Etched Fiber Bragg Grating for Highly Sensitive Refractive Index Measurements. Opt. Lett. 2015, 40, 546–549. [Google Scholar] [CrossRef] [PubMed]
- Warren-Smith, S.C.; Monro, T.M. Exposed Core Microstructured Optical Fiber Bragg Gratings: Refractive Index Sensing. Opt. Express 2014, 22, 1480. [Google Scholar] [CrossRef] [PubMed]
- Flannery, J.; Bappi, G.; Bhaskara, V.; Alshehri, O.; Bajcsy, M. Implementing Bragg Mirrors in a Hollow-Core Photonic-Crystal Fiber. Opt. Mater. Express 2017, 7, 1198. [Google Scholar] [CrossRef]
- Tse, M.L.V.; Chung, K.M.; Dong, L.; Thomas, B.K.; Fu, L.B.; Cheng, K.C.D.; Lu, C.; Tam, H.Y. Observation of Symmetrical Reflection Sidebands in a Silica Suspended-Core Fiber Bragg Grating. Opt. Express 2010, 18, 17373–17381. [Google Scholar] [CrossRef] [PubMed]
- Mazhorova, A.; Markov, A.; Ng, A.; Chinnappan, R.; Skorobogata, O.; Zourob, M.; Skorobogatiy, M. Label-Free Bacteria Detection Using Evanescent Mode of a Suspended Core Terahertz Fiber. Opt. Express 2012, 20, 5344–5355. [Google Scholar] [CrossRef] [PubMed]
- Chah, K.; Voisin, V.; Kinet, D.; Caucheteur, C. Surface Plasmon Resonance in Eccentric Femtosecond-Laser-Induced Fiber Bragg Gratings. Opt. Lett. 2014, 39, 6887–6890. [Google Scholar] [CrossRef] [PubMed]
- Hine, A.V.; Chen, X.; Hughes, M.D.; Zhou, K.; Davies, E.; Sugden, K.; Bennion, I.; Zhang, L. Optical Fibre-Based Detection of DNA Hybridization. Biochem. Soc. Trans. 2009, 37, 445–449. [Google Scholar] [CrossRef] [PubMed]
- DeLisa, M.P.; Zhang, Z.; Shiloach, M.; Pilevar, S.; Davis, C.C.; Sirkis, J.S.; Bentley, W.E. Evanescent Wave Long Period Fiber Bragg Grating as an Immobilized Antibody Biosensor. Anal. Chem. 2000, 72, 2895–2900. [Google Scholar] [CrossRef] [PubMed]
- Marques, L.; Hernandez, F.U.; James, S.W.; Morgan, S.P.; Clark, M.; Tatam, R.P.; Korposh, S. Highly Sensitive Optical Fibre Long Period Grating Biosensor Anchored with Silica Core Gold Shell Nanoparticles. Biosens. Bioelectron. 2016, 75, 222–231. [Google Scholar] [CrossRef] [PubMed]
- Chiavaioli, F.; Biswas, P.; Trono, C.; Jana, S.; Bandyopadhyay, S.; Basumallick, N.; Giannetti, A.; Tombelli, S.; Bera, S.; Mallick, A.; et al. Sol-Gel-Based Titania-Silica Thin Film Overlay for Long Period Fiber Grating-Based Biosensors. Anal. Chem. 2015, 87, 12024–12031. [Google Scholar] [CrossRef] [PubMed]
- Chiavaioli, F.; Zubiate, P.; Del Villar, I.; Zamarreño, C.R.; Giannetti, A.; Tombelli, S.; Trono, C.; Arregui, F.J.; Matias, I.R.; Baldini, F. Femtomolar Detection by Nanocoated Fiber Label-Free Biosensors. ACS Sens. 2018, 3, 936–943. [Google Scholar] [CrossRef] [PubMed]
- Chehura, E.; James, S.W.; Tatam, R.P. Temperature and Strain Discrimination Using a Single Tilted Fibre Bragg Grating. Opt. Commun. 2007, 275, 344–347. [Google Scholar] [CrossRef]
- Ribaut, C.; Loyez, M.; Larrieu, J.-C.; Chevineau, S.; Lambert, P.; Remmelink, M.; Wattiez, R.; Caucheteur, C. Cancer Biomarker Sensing Using Packaged Plasmonic Optical Fiber Gratings: Towards in Vivo Diagnosis. Biosens. Bioelectron. 2017, 92, 449–456. [Google Scholar] [CrossRef] [PubMed]
- Liu, S.; Ren, J.; Wu, X.; Ren, H.; Yan, D.; Wang, G.; Gu, G.; Li, J.; Xia, Q.; Han, G. Preliminary Case-Control Study to Evaluate Diagnostic Values of C-Reactive Protein and Erythrocyte Sedimentation Rate in Differentiating Active Crohn’s Disease From Intestinal Lymphoma, Intestinal Tuberculosis and Behcet’s Syndrome. Am. J. Med. Sci. 2013, 346, 467–472. [Google Scholar] [CrossRef] [PubMed]
- Thompson, D.; Pepys, M.B.; Wood, S.P. The Physiological Structure of Human C-Reactive Protein and Its Complex with Phosphocholine. Structure 1999, 7, 169–177. [Google Scholar] [CrossRef]
- Gabay, C.; Kushner, I. Acute-Phase Proteins and Other Systemic Responses to Inflammation. N. Engl. J. Med. 1999, 340, 448–454. [Google Scholar] [CrossRef] [PubMed]
- Lin, S.; Lee, C.K.; Wang, Y.M.; Huang, L.S.; Lin, Y.H.; Lee, S.Y.; Sheu, B.C.; Hsu, S.M. Measurement of Dimensions of Pentagonal Doughnut-Shaped C-Reactive Protein Using an Atomic Force Microscope and a Dual Polarisation Interferometric Biosensor. Biosens. Bioelectron. 2006, 22, 323–327. [Google Scholar] [CrossRef] [PubMed]
- Vashist, S.K.; Venkatesh, A.G.; Schneider, M.E.; Beaudoin, C.; Luppa, P.B.; Luong, J.H.T. Bioanalytical Advances in Assays for C-Reactive Protein. Biotechnol. Adv. 2016, 34, 272–290. [Google Scholar] [CrossRef] [PubMed]
- Iliuk, A.B.; Hu, L.; Tao, W.A. Aptamer in Bioanalytical Applications. Anal. Chem. 2011, 83, 4440–4452. [Google Scholar] [CrossRef] [PubMed]
- Song, K.-M.; Lee, S.; Ban, C. Aptamers and Their Biological Applications. Sensors 2012, 12, 612–631. [Google Scholar] [CrossRef] [PubMed]
- Menger, M.; Yarman, A.; Erdőssy, J.; Yildiz, H.B.; Gyurcsányi, R.E.; Scheller, F.W.; Yarman, A. MIPs and Aptamers for Recognition of Proteins in Biomimetic Sensing. Biosensors 2016, 6, 35. [Google Scholar] [CrossRef] [PubMed]
- Yang, X.; Wang, Y.; Wang, K.; Wang, Q.; Wang, P.; Lin, M.; Chen, N.; Tan, Y. DNA Aptamer-Based Surface Plasmon Resonance Sensing of Human C-Reactive Protein. RSC Adv. 2014, 4, 30934–30937. [Google Scholar] [CrossRef]
- Lai, Y.; Zhou, K.; Zhang, L.; Bennion, I. Microchannels in Conventional Single-Mode Fibers. Opt. Lett. 2006, 31, 2559. [Google Scholar] [CrossRef] [PubMed]
- Wochner, A.; Menger, M.; Orgel, D.; Cech, B.; Rimmele, M.; Erdmann, V.A.; Glökler, J. A DNA Aptamer with High Affinity and Specificity for Therapeutic Anthracyclines. Anal. Biochem. 2008, 373, 34–42. [Google Scholar] [CrossRef] [PubMed]
- Gattass, R.R.; Mazur, E. Femtosecond Laser Micromachining in Transparent Materials. Nat. Photonics 2008, 2, 219–225. [Google Scholar] [CrossRef]
- Rayner, D.M.; Naumov, A.; Corkum, P.B. Ultrashort Pulse Non-Linear Optical Absorption in Transparent Media. Opt. Express 2005, 13, 3208–3217. [Google Scholar] [CrossRef] [PubMed]
- Jovanovic, N.; Thomas, J.; Williams, R.J.; Steel, M.J.; Marshall, G.D.; Fuerbach, A.; Nolte, S.; Tünnermann, A.; Withford, M.J. Polarization-Dependent Effects in Point-by-Point Fiber Bragg Gratings Enable Simple, Linearly Polarized Fiber Lasers. Opt. Express 2009, 17, 6082–6095. [Google Scholar] [CrossRef] [PubMed]
- Pereira, D.A.; Frazão, O.; Santos, J.L. Fiber Bragg Grating Sensing System for Simultaneous Measurement of Salinity and Temperature. Opt. Eng. 2004, 43, 299–304. [Google Scholar] [CrossRef]
- Tian, Y.; Wang, W.; Wu, N.; Zou, X.; Wang, X. Tapered Optical Fiber Sensor for Label-Free Detection of Biomolecules. Sensors 2011, 11, 3780–3790. [Google Scholar] [CrossRef] [PubMed]
- Marazuela, M.D.; Moreno-Bondi, M.C. Fiber-Optic Biosensors—An Overview. Anal. Bioanal. Chem. 2002, 372, 664–682. [Google Scholar] [CrossRef] [PubMed]
- Malitson, I.H. Interspecimen Comparison of the Refractive Index of Fused Silica. J. Opt. Soc. Am. 1965, 55, 1205–1209. [Google Scholar] [CrossRef]
- Von Sellmeier, W. Zur Erklärung Der Abnormen Farbenfolge Im Spectrum Einiger Substanzen. Ann. Phys. 1871, 219, 272–282. [Google Scholar] [CrossRef]
- Corning® SMF-28e® Optical Fiber. Available online: https://www.corning.com/media/worldwide/coc/documents/PI1463_07-14_English.pdf (accessed on 27 August 2018).
- Renoirt, J.-M.; Zhang, C.; Debliquy, M.; Olivier, M.-G.; Mégret, P.; Caucheteur, C. High-Refractive-Index Transparent Coatings Enhance the Optical Fiber Cladding Modes Refractometric Sensitivity. Opt. Express 2013, 21, 29073–29082. [Google Scholar] [CrossRef] [PubMed]
- Hermanson, G.T. Chapter 13–Silane Coupling Agents. In Bioconjugate Techniques; Hermanson, G.T., Ed.; Academic Press: London, UK, 2013; pp. 535–548. [Google Scholar]
- Sips, R. On the Structure of a Catalyst Surface. J. Chem. Phys. 1948, 16, 490–495. [Google Scholar] [CrossRef]
- Sips, R. On the Structure of a Catalyst Surface. II. J. Chem. Phys. 1950, 18, 1024–1026. [Google Scholar] [CrossRef]
- Barrios, C.A.; Banuls, M.J.; Gonzalez-Pedro, V.; Gylfason, K.B.; Sanchez, B.; Griol, A.; Maquieira, A.; Sohlstrom, H.; Holgado, M.; Casquel, R. Label-Free Optical Biosensing with Slot-Waveguides. Opt. Lett. 2008, 33, 708–710. [Google Scholar] [CrossRef] [PubMed]
- Chen, L.H.; Chan, C.C.; Ni, K.; Hu, P.B.; Li, T.; Wong, W.C.; Balamurali, P.; Menon, R.; Shaillender, M.; Neu, B.; et al. Label-Free Fiber-Optic Interferometric Immunosensors Based on Waist-Enlarged Fusion Taper. Sens. Actuators B Chem. 2013, 178, 176–184. [Google Scholar] [CrossRef]
- Maguis, S.; Laffont, G.; Ferdinand, P.; Carbonnier, B.; Kham, K.; Mekhalif, T.; Millot, M.-C. Biofunctionalized Tilted Fiber Bragg Gratings for Label-Free Immunosensing. Opt. Express 2008, 16, 19049–19062. [Google Scholar] [CrossRef] [PubMed]
- Chiavaioli, F.; Gouveia, C.A.J.; Jorge, P.A.S.; Baldini, F. Towards a Uniform Metrological Assessment of Grating-Based Optical Fiber Sensors: From Refractometers to Biosensors. Biosensors 2017, 7, 23. [Google Scholar] [CrossRef] [PubMed]
- Clyne, B.; Olshaker, J.S. The C-Reactive Protein. J. Emerg. Med. 1999, 17, 1019–1025. [Google Scholar] [CrossRef]
- Krebs, H.A. Chemical Composition of Blood Plasma and Serum. Annu. Rev. Biochem. 1950, 19, 409–430. [Google Scholar] [CrossRef] [PubMed]
- Sridevi, S.; Vasu, K.S.; Asokan, S.; Sood, A.K. Sensitive Detection of C-Reactive Protein Using Optical Fiber Bragg Gratings. Biosens. Bioelectron. 2015, 65, 251–256. [Google Scholar] [CrossRef] [PubMed]
- Zubiate, P.; Zamarreno, C.R.; Sanchez, P.; Matias, I.R.; Arregui, F.J. High Sensitive and Selective C-Reactive Protein Detection by Means of Lossy Mode Resonance Based Optical Fiber Devices. Biosens. Bioelectron. 2017, 93, 176–181. [Google Scholar] [CrossRef] [PubMed]
- Aray, A.; Chiavaioli, F.; Arjmand, M.; Trono, C.; Tombelli, S.; Giannetti, A.; Cennamo, N.; Soltanolkotabi, M.; Zeni, L.; Baldini, F. SPR-Based Plastic Optical Fibre Biosensor for the Detection of C-Reactive Protein in Serum. J. Biophotonics 2016, 9, 1077–1084. [Google Scholar] [CrossRef] [PubMed]
- Vance, S.A.; Sandros, M.G. Zeptomole Detection of C-Reactive Protein in Serum by a Nanoparticle Amplified Surface Plasmon Resonance Imaging Aptasensor. Sci. Rep. 2014, 4, 1–7. [Google Scholar] [CrossRef] [PubMed]
- Lee, W.-B.; Chen, Y.-H.; Lin, H.-I.; Shiesh, S.-C.; Lee, G.-B. An Integrated Microfluidic System for Fast, Automatic Detection of C-Reactive Protein. Sens. Actuators B Chem. 2011, 157, 710–721. [Google Scholar] [CrossRef]
- Islam, M.S.; Yu, H.; Lee, H.G.; Kang, S.H. Molecular Switching Fluorescence Based High Sensitive Detection of Label-Free C-Reactive Protein on Biochip. Biosens. Bioelectron. 2010, 26, 1028–1035. [Google Scholar] [CrossRef] [PubMed]
- Sridevi, S.; Vasu, K.S.; Sampath, S.; Asokan, S.; Sood, A.K. Optical Detection of Glucose and Glycated Hemoglobin Using Etched Fiber Bragg Gratings Coated with Functionalized Reduced Graphene Oxide. J. Biophotonics 2016, 9, 760–769. [Google Scholar] [CrossRef] [PubMed]
- Sridevi, S.; Vasu, K.S.; Jayaraman, N.; Asokan, S.; Sood, A.K. Optical Bio-Sensing Devices Based on Etched Fiber Bragg Gratings Coated with Carbon Nanotubes and Graphene Oxide along with a Specific Dendrimer. Sens. Actuators B Chem. 2014, 195, 150–155. [Google Scholar]
- Pilla, P.; Sandomenico, A.; Malachovská, V.; Borriello, A.; Giordano, M.; Cutolo, A.; Ruvo, M.; Cusano, A. A Protein-Based Biointerfacing Route toward Label-Free Immunoassays with Long Period Gratings in Transition Mode. Biosens. Bioelectron. 2012, 31, 486–491. [Google Scholar] [CrossRef] [PubMed]
- Miura, K.; Qiu, J.; Inouye, H.; Mitsuyu, T.; Hirao, K. Photowritten Optical Waveguides in Various Glasses with Ultrashort Pulse Laser. Appl. Phys. Lett. 1997, 71, 3329–3331. [Google Scholar] [CrossRef]
- Caucheteur, C.; Guo, T.; Albert, J. Review of Plasmonic Fiber Optic Biochemical Sensors: Improving the Limit of Detection. Anal. Bioanal. Chem. 2015, 407, 3883–3897. [Google Scholar] [CrossRef] [PubMed]
- Srinivasan, R.; Umesh, S.; Murali, S.; Asokan, S.; Siva Gorthi, S. Bare Fiber Bragg Grating Immunosensor for Real-Time Detection of Escherichia Coli Bacteria. J. Biophotonics 2017, 10, 224–230. [Google Scholar] [CrossRef] [PubMed]
- Das, A.P.; Kumar, P.S.; Swain, S. Recent Advances in Biosensor Based Endotoxin Detection. Biosens. Bioelectron. 2014, 51, 62–75. [Google Scholar] [CrossRef] [PubMed]
- Ławniczek-Wałczyk, A.; Górny, R.L. Endotoxins and β-Glucans as Markers of Microbiological Contamination—Characteristics, Detection, and Environmental Exposure. Ann. Agric. Environ. Med. 2010, 17, 193–208. [Google Scholar] [PubMed]











| Type of Biosensor * | Detected Analyte | Detection Limit DLBS | Concentration Limit clim # | Ref. |
|---|---|---|---|---|
| FOB based on eFBG and immobilized CRP-specific aptamer | CRP | 164–313 pg/mm2 | 0.8–27.6 pg/L | this work |
| FOB based on LMR and immobilized CRP-specific aptamer | CRP | 62.5 µg/L | [73] | |
| FOB based on eFBG and immobilized CRP-specific antibody | CRP | 10 µg/L | [72] | |
| FOB-based SPR-sensor and immobilized CRP-specific antibody | CRP | 9 µg/L | [74] | |
| SPRi-aptasensor based on immobilized CRP-specific aptamer | CRP | 5 pg/L | [75] | |
| Microfluidic chemiluminescent assay based on CRP-specific aptamer and antibody | CRP | 12.5 µg/L | [76] | |
| TIRFM-assay based on molecular switching fluorescence of FAI-PEA interaction | CRP | 800 aM (92 pg/L) | [77] | |
| FOB based on eFBG and coated APBA-RGO | D-glucose Hemoglobin HbA1c | 1 nM (180 ng/L) 86 nM (1.5 mg/L) | [78] | |
| FOB based on LPG and biotin-coated NP | Streptavidin | 19 pg/mm2 | 195 µg/L | [37] |
| FOB based on eFBG and coated SWNT and dendrimer polymers | Concanavalin A | 1 nM (110 µg/L) | [79] | |
| FOB based on WEFT and immobilized IgG | IgG antibody | 0.73 pg/mm2 3.38 pg/mm2 | 0.2 nM (1.2 µg/L) 4.9 nM (31.6 µg/L) | [67] |
| FOB based on LPG and immobilized IgG | IgG antibody | 5 pg/mm2 | [80] | |
| FOB based on tilted FBG and immobilized BSA | BSA antibody | 12–13 pg/mm2 | 86–525 µg/L | [68] |
| Optical biosensor based on slot-waveguide microring resonator and coated BSA antibody/BSA | BSA BSA antibody | 16 pg/mm2 28 pg/mm2 | [66] |
© 2018 by the authors. Licensee MDPI, Basel, Switzerland. This article is an open access article distributed under the terms and conditions of the Creative Commons Attribution (CC BY) license (http://creativecommons.org/licenses/by/4.0/).
Share and Cite
Schulze, S.; Wehrhold, M.; Hille, C. Femtosecond-Pulsed Laser Written and Etched Fiber Bragg Gratings for Fiber-Optical Biosensing. Sensors 2018, 18, 2844. https://doi.org/10.3390/s18092844
Schulze S, Wehrhold M, Hille C. Femtosecond-Pulsed Laser Written and Etched Fiber Bragg Gratings for Fiber-Optical Biosensing. Sensors. 2018; 18(9):2844. https://doi.org/10.3390/s18092844
Chicago/Turabian StyleSchulze, Sven, Michel Wehrhold, and Carsten Hille. 2018. "Femtosecond-Pulsed Laser Written and Etched Fiber Bragg Gratings for Fiber-Optical Biosensing" Sensors 18, no. 9: 2844. https://doi.org/10.3390/s18092844
APA StyleSchulze, S., Wehrhold, M., & Hille, C. (2018). Femtosecond-Pulsed Laser Written and Etched Fiber Bragg Gratings for Fiber-Optical Biosensing. Sensors, 18(9), 2844. https://doi.org/10.3390/s18092844
