Broadband Dual-Polarized Base Station Antenna for Fifth-Generation (5G) Applications
Abstract
1. Introduction
2. Antenna Structure
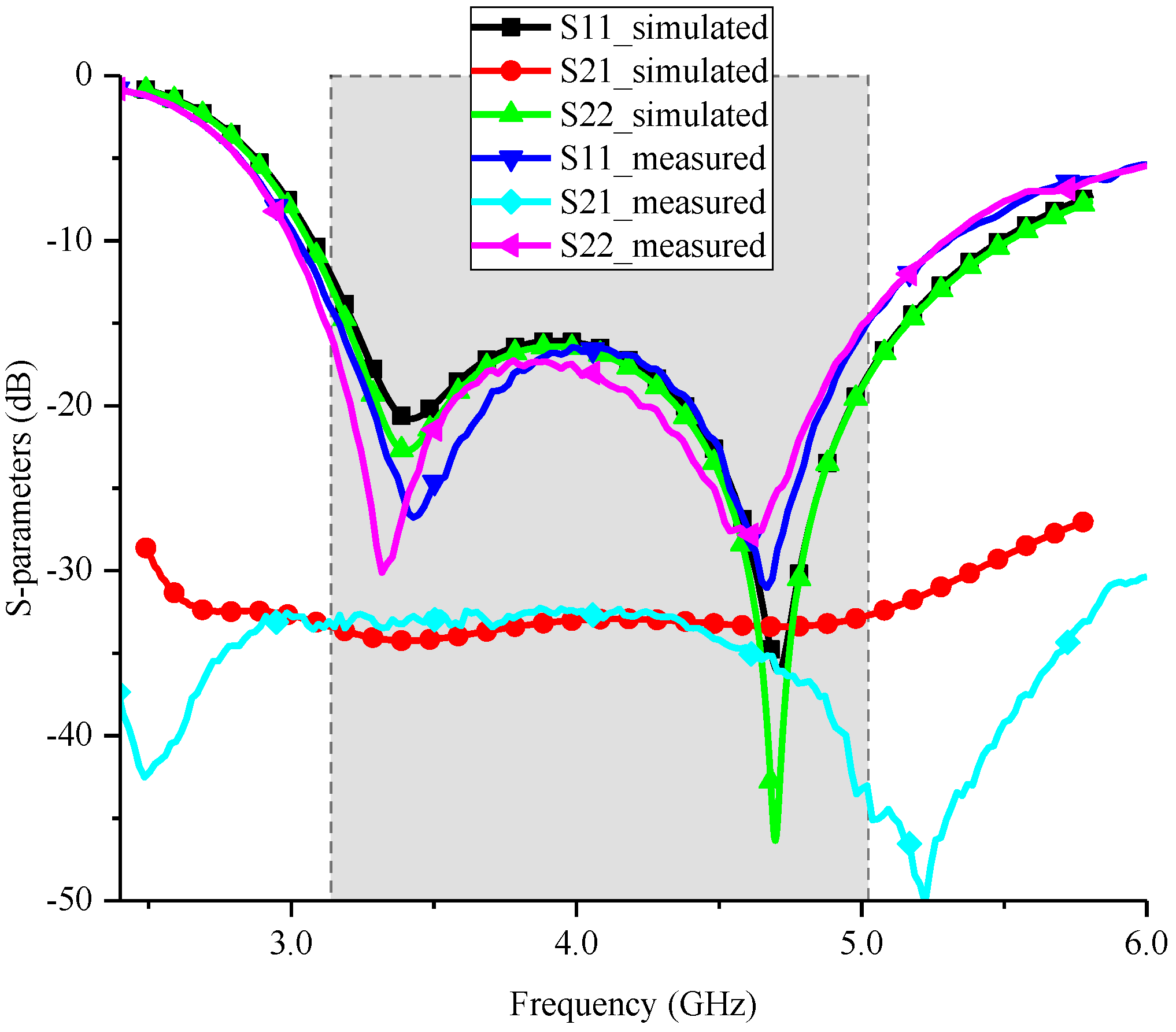
3. Results and Discussion
4. Conclusions
Author Contributions
Funding
Conflicts of Interest
References
- 5G Spectrum Public Policy Position, Huawei Technologies. Available online: http://www-file.huawei.com/-/media/CORPORATE/PDF/public-policy/public_policy_position_5g_spectrum.pdf?la=en (accessed on 14 November 2017).
- Wu, B.Q.; Luk, K.M. A Broadband Dual-Polarized Magneto-Electric Dipole Antenna with Simple Feeds. IEEE Antennas Wirel. Propag. Lett. 2009, 8, 60–63. [Google Scholar]
- Bao, Z.; Nie, Z.P.; Zong, X.Z. A Novel Broadband Dual-Polarization Antenna Utilizing Strong Mutual Coupling. IEEE Antennas Wirel. Propag. Lett. 2014, 62, 450–454. [Google Scholar] [CrossRef]
- Larsson, E.G.; Poor, H.V. Joint Beamforming and Broadcasting in Massive MIMO. IEEE Trans. Wirel. Commun. 2016, 15, 3058–3070. [Google Scholar] [CrossRef]
- Tang, H.; Nie, Z.P. RMV Antenna Selection Algorithm for Massive MIMO. IEEE Signal Process. Lett. 2018, 25, 239–242. [Google Scholar] [CrossRef]
- Tang, H.; Nie, Z.P. Massive MIMO Antenna Selection Algorithms Based on Iterative Swapping. IET Electron. Lett. 2018, 54, 190–192. [Google Scholar] [CrossRef]
- Mahmoud, K.R.; Montaser, A.M. Performance of Tri-Band Multi-Polarized Array Antenna for 5G Mobile Base Station Adopting Polarization and Directivity Control. IEEE Access 2018, 6, 8682–8694. [Google Scholar] [CrossRef]
- Chu, H.; Guo, Y.X. A Filtering Dual-Polarized Antenna Subarray Targeting for Base Stations in Millimeter-Wave 5G Wireless Communications. IEEE Trans. Compon. Packag. Manuf. Technol. 2017, 7, 964–973. [Google Scholar] [CrossRef]
- Gao, Y.; Ma, R.; Wang, Y.; Zhang, Q.; Parini, C. Stacked Patch Antenna with Dual-Polarization and Low Mutual Coupling for Massive MIMO. IEEE Trans. Antennas Propag. 2016, 64, 4544–4549. [Google Scholar] [CrossRef]
- Saxena, S.; Kanaujia, B.K.; Dwari, S.; Kumar, S.; Tiwari, R. MIMO antenna with built-in circular shaped isolator for sub-6 GHz 5G applications. IET Electron. Lett. 2018, 54, 478–480. [Google Scholar] [CrossRef]
- Huang, H.; Li, X.; Liu, Y. 5G MIMO Antenna Based on Vector Synthetic Mechanism. IEEE Antennas Wirel. Propag. Lett. 2018, 17, 1052–1055. [Google Scholar] [CrossRef]
- An, W.; Li, Y.; Fu, H.; Ma, J.; Chen, W.; Feng, B. Low-Profile and Wideband Microstrip Antenna with Stable Gain for 5G Wireless Applications. IEEE Antennas Wirel. Propag. Lett. 2018, 17, 621–624. [Google Scholar] [CrossRef]








| Operating Frequency (GHz) | Bandwidth (GHz, %) | Minimum Port Isolation (dB) | Peak Gain (dBi) | HPBW (°) | |
|---|---|---|---|---|---|
| [9] | 3.65–3.81 | 0.16, 4.3% @RL > 10 dB | 31 | 10.5 | 53.5 ± 1.5 |
| [10] | 3.4–3.8 | 0.4, 11.1% @RL > 15 dB | 11.5 | 4.1 | - |
| [11] | 3.2–3.9 | 0.7, 19.7% @RL > 15 dB | 25 | 7.9 | 69 ± 1 |
| [12] | 2.84–5.17 | 2.33, 58.3% @RL > 10 dB | - | 6.2 | - |
| Proposed antenna | 3.14–5.04 | 1.9, 46.5% @RL > 15 dB | 32.5 | 8.6 | 71.8 ± 2.5 |
| Parameter | Value (mm) | Parameter | Value (mm) |
|---|---|---|---|
| La | 12.8 | Hs | 18 |
| Ta | 2.0 | Ts | 1.0 |
| Ra | 2.7 | Lc | 8.5 |
| Ga | 1.5 | Wc | 1.5 |
| Tp | 0.2 | Tc | 0.3 |
| Rp | 2.0 | Gc | 0.5 |
| Ws | 3.9 | Wc1 | 1.0 |
| H-Plane | V-Plane | ||
|---|---|---|---|
| Frequency (GHz) | HPBW (°) | Frequency (GHz) | HPBW (°) |
| 3.3 | 70.5 | 3.3 | 70.9 |
| 4.15 | 69.3 | 4.15 | 71.5 |
| 5.0 | 73.2 | 5.0 | 74.3 |
© 2018 by the authors. Licensee MDPI, Basel, Switzerland. This article is an open access article distributed under the terms and conditions of the Creative Commons Attribution (CC BY) license (http://creativecommons.org/licenses/by/4.0/).
Share and Cite
Tang, H.; Zong, X.; Nie, Z. Broadband Dual-Polarized Base Station Antenna for Fifth-Generation (5G) Applications. Sensors 2018, 18, 2701. https://doi.org/10.3390/s18082701
Tang H, Zong X, Nie Z. Broadband Dual-Polarized Base Station Antenna for Fifth-Generation (5G) Applications. Sensors. 2018; 18(8):2701. https://doi.org/10.3390/s18082701
Chicago/Turabian StyleTang, Hua, Xianzheng Zong, and Zaiping Nie. 2018. "Broadband Dual-Polarized Base Station Antenna for Fifth-Generation (5G) Applications" Sensors 18, no. 8: 2701. https://doi.org/10.3390/s18082701
APA StyleTang, H., Zong, X., & Nie, Z. (2018). Broadband Dual-Polarized Base Station Antenna for Fifth-Generation (5G) Applications. Sensors, 18(8), 2701. https://doi.org/10.3390/s18082701

