Functionalized Fiber End Superstructure Fiber Bragg Grating Refractive Index Sensor for Heavy Metal Ion Detection
Abstract
:1. Introduction
2. Theory
2.1. Fiber End Reflection
2.2. Superstructure Fiber Bragg Grating
2.3. SSFBG-Fiber End Fabry–Perot Cavity
2.4. Sensing Scheme
2.5. Chelating Agent for the Formation of Metal Chelates
3. Sensor Fabrication and Experiment
3.1. Superstructure Bragg Grating Inscription
3.2. EDTA Coating for Heavy Metal Sensitivity
4. Experiment and Results
4.1. Refractive Index Characterization
4.2. Heavy Metal Detection Response
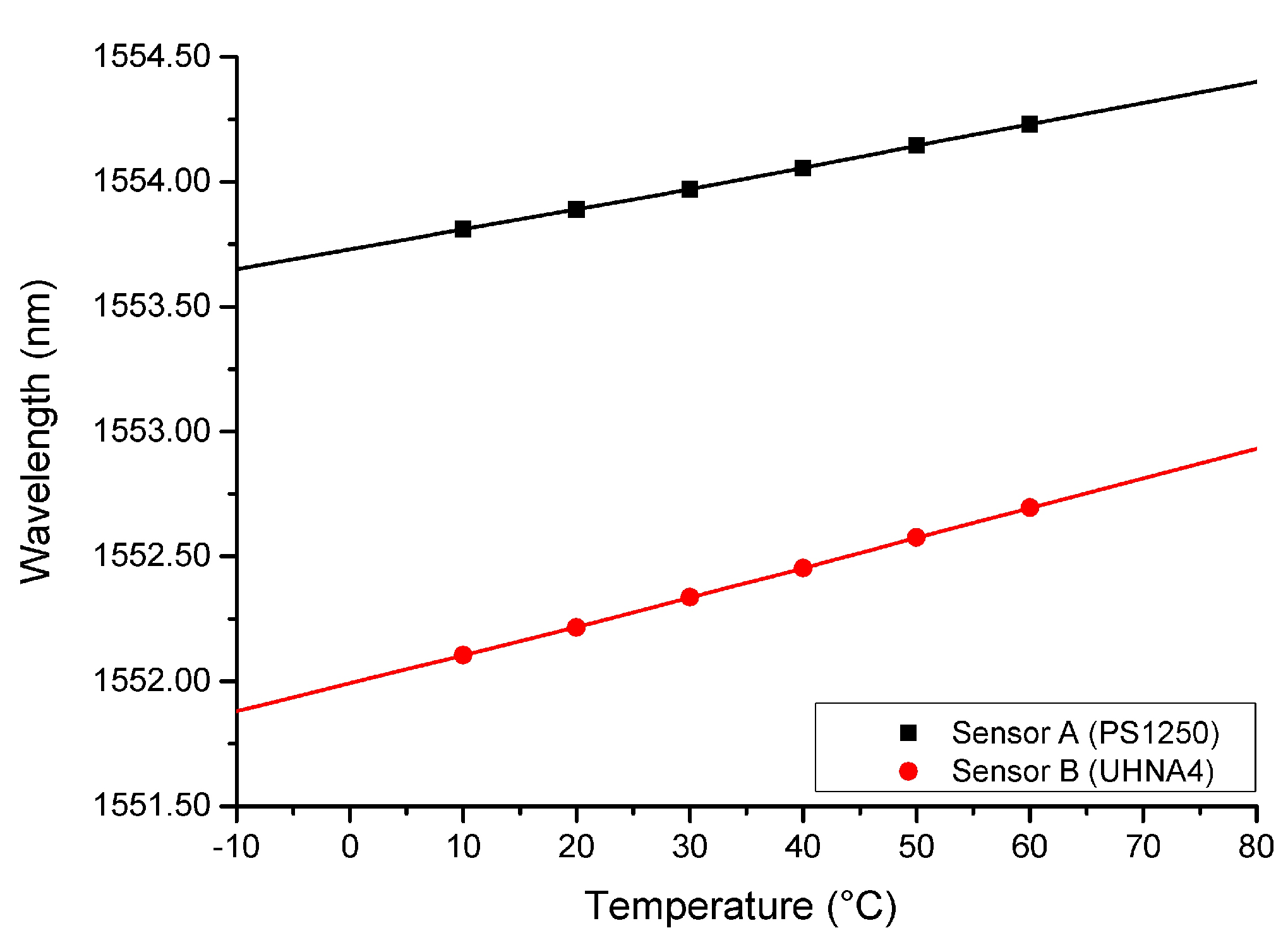
4.3. Temperature Response of EDTA Coated Fiber Sensor
5. Conclusions
Author Contributions
Acknowledgments
Conflicts of Interest
Abbreviations
| FBG | Fiber Bragg grating |
| RI | Refractive index |
| RIU | Refractive index unit |
| SSFBG | Superstructure fiber Bragg grating |
References
- Wang, R.; Qiao, X. Intrinsic fabry-perot interferometeric sensor based on microfiber created by chemical etching. Sensors 2014, 14, 16808–16815. [Google Scholar] [CrossRef] [PubMed]
- Ji, W.; Lin, B.; Tjin, S.C.; Liu, Y.P.; Zhang, B. Non-adiabatically tapered microfiber refractometric sensors and its potential applications in environmental detection. In Bragg Gratings, Photosensitivity, and Poling in Glass Waveguides; Optical Society of America: Washington, DC, USA, 2014; p. JM5A.60. [Google Scholar]
- Zhou, K.; Chen, X.; Zhang, L.; Bennion, I. High-sensitivity optical chemsensor based on etched D-fibre Bragg gratings. Electron. Lett. 2004, 40, 232–234. [Google Scholar] [CrossRef]
- Bhatia, V.; Vengsarkar, A.M. Optical fiber long-period grating sensors. Opt. Lett. 1996, 21, 692–694. [Google Scholar] [CrossRef] [PubMed]
- Matias, I.R.; Ikezawa, S.; Corres, J. Fiber Optic Sensors: Current Status and Future Possibilities; Springer: Berlin, Germany, 2016; Volume 21. [Google Scholar]
- Kersey, A.D.; Davis, M.A.; Patrick, H.J.; LeBlanc, M.; Koo, K.; Askins, C.; Putnam, M.; Friebele, E.J. Fiber grating sensors. J. Lightwave Technol. 1997, 15, 1442–1463. [Google Scholar] [CrossRef]
- Melle, S.M.; Alavie, A.T.; Karr, S.; Coroy, T.; Liu, K.; Measures, R.M. A Bragg grating-tuned fiber laser strain sensor system. IEEE Photonics Technol. Lett. 1993, 5, 263–266. [Google Scholar] [CrossRef]
- Huang, S.; LeBlanc, M.; Ohn, M.; Measures, R. Bragg intragrating structural sensing. Appl. Opt. 1995, 34, 5003–5009. [Google Scholar] [CrossRef] [PubMed]
- Alberto, N.J.; Marques, C.A.; Pinto, J.L.; Nogueira, R.N. Three-parameter optical fiber sensor based on a tilted fiber Bragg grating. Appl. Opt. 2010, 49, 6085–6091. [Google Scholar] [CrossRef]
- Gu, B.; Qi, W.; Zheng, J.; Zhou, Y.; Shum, P.P.; Luan, F. Simple and compact reflective refractometer based on tilted fiber Bragg grating inscribed in thin-core fiber. Opt. Lett. 2014, 39, 22–25. [Google Scholar] [CrossRef] [PubMed]
- Wang, Y.; Shen, C.; Lou, W.; Shentu, F.; Zhong, C.; Dong, X.; Tong, L. Fiber optic relative humidity sensor based on the tilted fiber Bragg grating coated with graphene oxide. Appl. Phys. Lett. 2016, 109, 031107. [Google Scholar] [CrossRef]
- Wang, T.; Liu, K.; Jiang, J.; Xue, M.; Chang, P.; Liu, T. Temperature-insensitive refractive index sensor based on tilted moiré FBG with high resolution. Opt. Express 2017, 25, 14900–14909. [Google Scholar] [CrossRef] [PubMed]
- Chen, C.; Yu, Y.S.; Yang, R.; Wang, C.; Guo, J.C.; Xue, Y.; Chen, Q.D.; Sun, H.B. Reflective optical fiber sensors based on tilted fiber Bragg gratings fabricated with femtosecond laser. J. Lightwave Technol. 2013, 31, 455–460. [Google Scholar] [CrossRef]
- Meng, H.; Shen, W.; Zhang, G.; Tan, C.; Huang, X. Fiber Bragg grating-based fiber sensor for simultaneous measurement of refractive index and temperature. Sens. Actuators B Chem. 2010, 150, 226–229. [Google Scholar] [CrossRef]
- Yang, J.; Dong, X.; Zheng, Y.; Ni, K.; Chan, C.C.; Shum, P.P. Magnetic field sensing with reflectivity ratio measurement of fiber Bragg grating. IEEE Sens. J. 2015, 15, 1372–1376. [Google Scholar] [CrossRef]
- Asseh, A.; Sandgren, S.; Ahlfeldt, H.; Sahlgren, B.; Stubbe, R.; Edwall, G. Fiber optical Bragg grating refractometer. Fiber Integr. Opt. 1998, 17, 51–62. [Google Scholar]
- Zhou, K.; Chen, X.; Zhang, L.; Bennion, I. Optical chemsensors based on etched fibre Bragg gratings in D-shape and multimode fibres. In Proceedings of the 17th International Conference on Optical Fibre Sensors (SPIE), Bruges, Belgium, 23–27 May 2005; Volume 5855, pp. 158–162. [Google Scholar]
- Bao, W.; Qiao, X.; Rong, Q.; Hu, N.; Yang, H.; Feng, Z.; Hu, M. Sensing characteristics for a Fiber Bragg grating inscribed over a fiber core and cladding. IEEE Photonics Technol. Lett. 2015, 27, 709–712. [Google Scholar] [CrossRef]
- Silva, S.F.; Frazão, O.; Caldas, P.; Santos, J.L.; Araújo, F.; Ferreira, L.A. Optical fiber refractometer based on a Fabry-Pérot interferometer. Opt. Eng. 2008, 47, 054403. [Google Scholar] [CrossRef]
- Gouveia, C.; Jorge, P.; Baptista, J.M.; Frazao, O. Fabry–Pérot cavity based on a high-birefringent fiber Bragg grating for refractive index and temperature measurement. IEEE Sens. J. 2012, 12, 17–21. [Google Scholar] [CrossRef]
- Kim, C.B.; Su, C.B. Measurement of the refractive index of liquids at 1.3 and 1.5 micron using a fibre optic Fresnel ratio meter. Meas. Sci. Technol. 2004, 15, 1683. [Google Scholar] [CrossRef]
- Ji, W.B.; Yap, S.H.K.; Panwar, N.; Zhang, L.L.; Lin, B.; Yong, K.T.; Tjin, S.C.; Ng, W.J.; Majid, M.B.A. Detection of low-concentration heavy metal ions using optical microfiber sensor. Sens. Actuators B Chem. 2016, 237, 142–149. [Google Scholar] [CrossRef]
- Hill, K.; Fujii, Y.; Johnson, D.C.; Kawasaki, B. Photosensitivity in optical fiber waveguides: Application to reflection filter fabrication. Appl. Phys. Lett. 1978, 32, 647–649. [Google Scholar] [CrossRef]
- Eggleton, B.; Krug, P.; Poladian, L.; Ouellette, F. Long periodic superstructure Bragg gratings in optical fibres. Electron. Lett. 1994, 30, 1620–1622. [Google Scholar] [CrossRef]
- Othonos, A.; Kalli, K. Fiber Bragg Gratings: Fundamentals and Applications in Telecommunications and Sensing; Artech House: Norwood, MA, USA, 1999. [Google Scholar]
- Morgan, G.T.; Drew, H.D.K. CLXII.—Researches on residual affinity and co-ordination. Part II. Acetylacetones of selenium and tellurium. J. Chem. Soc. Trans. 1920, 117, 1456–1465. [Google Scholar] [CrossRef]
- Flora, S.J.; Pachauri, V. Chelation in metal intoxication. Int. J. Environ. Res. Public Health 2010, 7, 2745–2788. [Google Scholar] [CrossRef] [PubMed]
- Mohammadi, Z.; Shalavi, S.; Jafarzadeh, H. Ethylenediaminetetraacetic acid in endodontics. Eur. J. Dent. 2013, 7, S135–S142. [Google Scholar] [PubMed]










© 2018 by the authors. Licensee MDPI, Basel, Switzerland. This article is an open access article distributed under the terms and conditions of the Creative Commons Attribution (CC BY) license (http://creativecommons.org/licenses/by/4.0/).
Share and Cite
Tan, R.X.; Yap, S.H.K.; Tan, Y.C.; Tjin, S.C.; Ibsen, M.; Yong, K.T.; Lai, W.J. Functionalized Fiber End Superstructure Fiber Bragg Grating Refractive Index Sensor for Heavy Metal Ion Detection. Sensors 2018, 18, 1821. https://doi.org/10.3390/s18061821
Tan RX, Yap SHK, Tan YC, Tjin SC, Ibsen M, Yong KT, Lai WJ. Functionalized Fiber End Superstructure Fiber Bragg Grating Refractive Index Sensor for Heavy Metal Ion Detection. Sensors. 2018; 18(6):1821. https://doi.org/10.3390/s18061821
Chicago/Turabian StyleTan, Rex Xiao, Stephanie Hui Kit Yap, Yung Chuen Tan, Swee Chuan Tjin, Morten Ibsen, Ken Tye Yong, and Wenn Jing Lai. 2018. "Functionalized Fiber End Superstructure Fiber Bragg Grating Refractive Index Sensor for Heavy Metal Ion Detection" Sensors 18, no. 6: 1821. https://doi.org/10.3390/s18061821
APA StyleTan, R. X., Yap, S. H. K., Tan, Y. C., Tjin, S. C., Ibsen, M., Yong, K. T., & Lai, W. J. (2018). Functionalized Fiber End Superstructure Fiber Bragg Grating Refractive Index Sensor for Heavy Metal Ion Detection. Sensors, 18(6), 1821. https://doi.org/10.3390/s18061821

