InGaAs Diodes for Terahertz Sensing—Effect of Molecular Beam Epitaxy Growth Conditions
Abstract
:1. Introduction
2. Grown Structures and Experimental Techniques
3. Low-Frequency Noise Measurement Results and Discussion
3.1. Investigation of the Resistivity of the Detectors
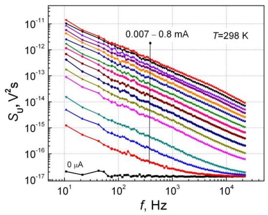
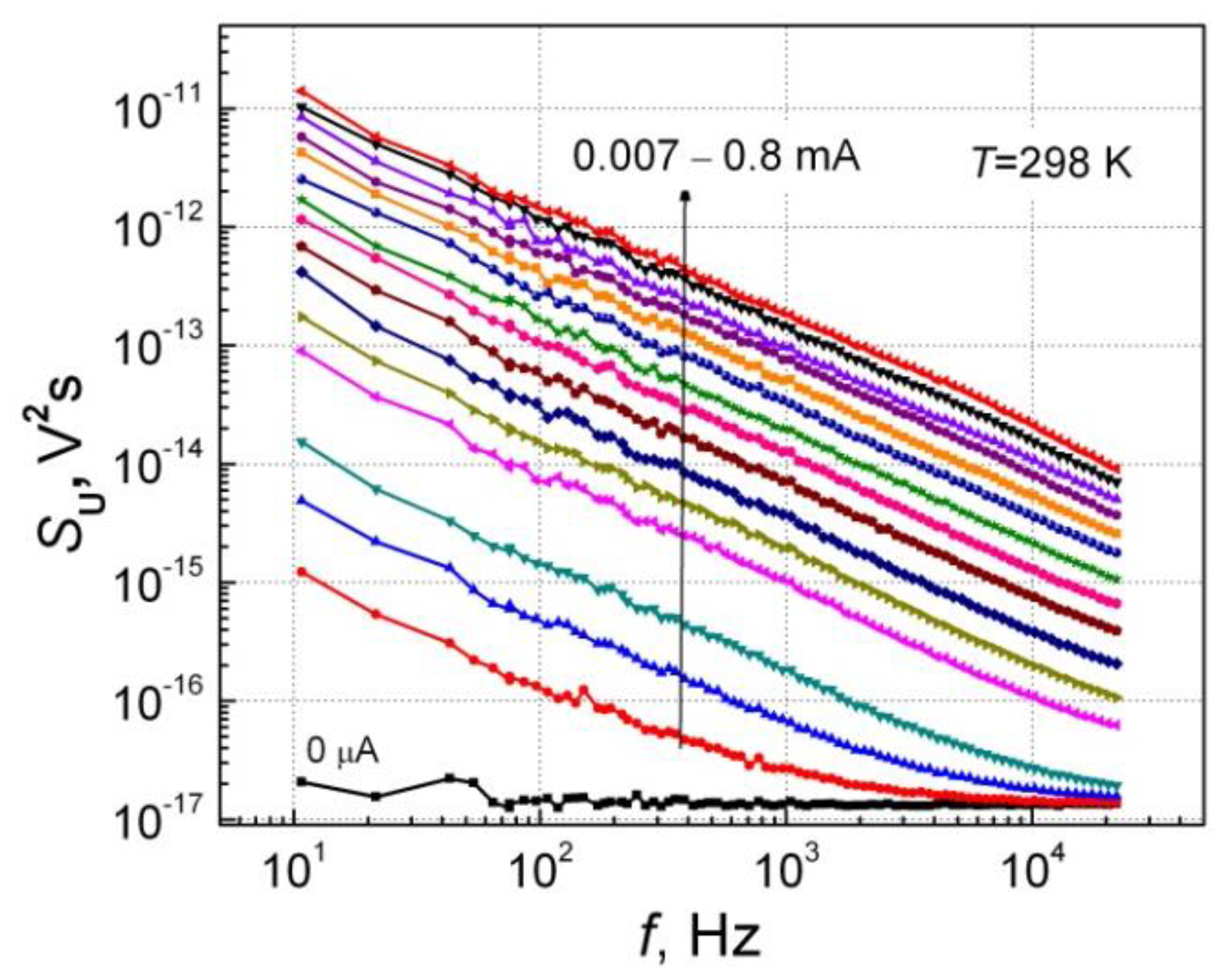
3.2. Investigation of the Low-Frequency Noise of the Detectors
4. Terahertz Sensitivity Measurement Results and Discussion
5. Conclusions
Supplementary Materials
Author Contributions
Funding
Acknowledgments
Conflicts of Interest
References
- Carmody, C.; Tan, H.H.; Jagadish, C.; Gaarder, A.; Marcinkevičius, S. Ion-implanted InGaAs for ultrafast optoelectronic applications. Appl. Phys. Lett. 2003, 82, 3913–3915. [Google Scholar] [CrossRef]
- Dziuba, Z.; Przesławski, T.; Dybko, K.; Górska, M.; Marczewski, J.; Regiński, K. Negative magnetoresistance and impurity band conduction in an In0.53Ga0.47As/InP heterostructure. J. Appl. Phys. 1999, 85, 6619–6624. [Google Scholar] [CrossRef]
- Przesławski, T.; Wolkenberg, A.; Regiński, K.; Kaniewski, J. Sensitive In0.53Ga0.47As/InP (SI) magnetic field sensors. Phys. Status Solidi 2004, 1, 242–246. [Google Scholar] [CrossRef]
- Molis, G.; Krotkus, A.; Vaičaitis, V. Intervalley separation in the conduction band of InGaAs measured by terahertz excitation spectroscopy. Appl. Phys. Lett. 2009, 94, 091104. [Google Scholar] [CrossRef]
- Krotkus, A. Semiconductors for terahertz photonics. J. Phys. D Appl. Phys. 2010, 43, 273001. [Google Scholar] [CrossRef]
- Mangeney, J.; Merigault, A.; Zerounian, N.; Crozat, P.; Blary, K.; Lampin, J.F. Continuous wave terahertz generation up to 2 THz by photomixing on ion-irradiated InGaAs at 1.55 µm wavelengths. Appl. Phys. Lett. 2007, 91, 241102. [Google Scholar] [CrossRef]
- Baker, C.; Gregory, I.S.; Evans, M.J.; Tribe, W.R.; Linfield, E.H.; Missous, M. All-optoelectronic terahertz system using low-temperature-grown InGaAs photomixers. Opt. Express 2005, 13, 9639–9644. [Google Scholar] [CrossRef] [PubMed]
- Kim, N.; Han, S.-P.; Ko, H.; Leem, Y.A.; Ryu, H.-C.; Lee, C.W.; Lee, D.; Jeon, M.Y.; Noh, S.K.; Park, K.H. Tunable continuous-wave terahertz generation/detection with compact 1.55 μm detuned dual-mode laser diode and InGaAs based photomixer. Opt. Express 2011, 19, 15397–15403. [Google Scholar] [CrossRef] [PubMed]
- Lusakowski, J.; Knap, W.; Dyakonova, N.; Varani, L.; Mateos, J.; Gonzalez, T.; Roelens, Y.; Bollaert, S.; Cappy, A.; Karpierz, K. Voltage tuneable terahertz emission from a ballistic nanometer InGaAs/ InAlAs transistor. J. Appl. Phys. 2005, 97, 064307. [Google Scholar] [CrossRef]
- El Fatimy, A.; Teppe, F.; Dyakonova, N.; Knap, W.; Seliuta, D.; Valušis, G.; Shchepetov, A.; Roelens, Y.; Bollaert, S.; Cappy, A.; et al. Resonant and voltage-tunable terahertz detection in InGaAs/ InP nanometer transistors. Appl. Phys. Lett. 2007, 89, 131926. [Google Scholar] [CrossRef]
- Seliuta, D.; Kašalynas, I.; Tamošiūnas, V.; Balakauskas, S.; Martūnas, Z.; Ašmontas, S.; Valušis, G.; Lisauskas, A.; Roskos, H.G.; Köhler, K. Silicon lens-coupled bow-tie InGaAs-based broadband terahertz sensor operating at room temperature. Electron. Lett. 2006, 42, 825–827. [Google Scholar] [CrossRef]
- Kašalynas, I.; Seliuta, D.; Simniškis, R.; Tamošiūnas, V.; Köhler, K.; Valušis, G. Terahertz imaging with bow-tie InGaAs-based diode with broken symmetry. Electron. Lett. 2009, 45, 833–835. [Google Scholar] [CrossRef]
- Minkevičius, L.; Tamošiūnas, V.; Kašalynas, I.; Seliuta, D.; Valušis, G.; Lisauskas, A.; Boppel, S.; Roskos, H.G.; Köhler, K. Terahertz heterodyne imaging with InGaAs-based bow-tie diodes. Appl. Phys. Lett. 2011, 99, 131101. [Google Scholar] [CrossRef]
- Kašalynas, I.; Venckevičius, R.; Seliuta, D.; Grigelionis, I.; Valušis, G. InGaAs-based bow-tie diode for spectroscopic terahertz imaging. J. Appl. Phys. 2011, 110, 114505. [Google Scholar] [CrossRef]
- Kašalynas, I.; Venckevičius, R.; Valušis, G. Continuous wave spectroscopic terahertz imaging with InGaAs bow-tie diodes at room temperature. IEEE Sens. J. 2013, 13, 50–54. [Google Scholar] [CrossRef]
- Minkevičius, L.; Tamošiūnas, V.; Kojelis, M.; Žąsinas, E.; Bukauskas, V.; Šetkus, A.; Butkutė, R.; Kašalynas, I.; Valušis, G. Influence of Field Effects on the Performance of InGaAs-Based Terahertz Radiation Detectors. J. Infrared Millim. Terahertz Waves 2017, 38, 689–707. [Google Scholar] [CrossRef]
- Sužiedėlis, A.; Ašmontas, S.; Gradauskas, J.; Valušis, G.; Roskos, H.G. Giga- and terahertz frequency band detector based on an asymmetrically-necked n-n+-GaAs planar structure. J. Appl. Phys. 2003, 93, 3034–3038. [Google Scholar] [CrossRef]
- Seliuta, D.; Širmulis, E.; Tamošiūnas, V.; Balakauskas, S.; Ašmontas, S.; Sužiedėlis, A.; Gradauskas, J.; Valušis, G.; Lisauskas, A.; Roskos, H.G.; et al. Detection of terahertz/sub-terahertz radiation by asymmetrically-shaped 2DEG layers. Electron Lett. 2004, 40, 631–632. [Google Scholar] [CrossRef]
- Boppel, S.; Lisauskas, A.; Krozer, V.; Roskos, H.G. Performance and performance variations of sub-1 THz detectors fabricated with 0.15 µm CMOS foundry process. Electron. Lett. 2011, 47, 661–662. [Google Scholar] [CrossRef]
- Jones, B.K. Electrical noise as a reliability indicator in electronic devices and components. IEE Proc. Circuits Dev. Syst. 2002, 149, 13–22. [Google Scholar] [CrossRef]
- Pralgauskaitė, S.; Palenskis, V.; Matukas, J.; Šaulys, B.; Kornijčuk, V.; Verdingovas, V. Analysis of mode-hopping effect in Fabry-Pérot multiple-quantum well laser diodes via low frequency noise investigation. Solid State Electron. 2013, 79, 104–110. [Google Scholar] [CrossRef]
- Dobbert, J.; Tran, L.; Hatami, F.; Masselink, W.T.; Kunets, V.T.; Kunets, V.P.; Salamo, G.J. Low frequency noise in InSb/GaAs and InSb/Si channels. Appl. Phys. Lett. 2010, 97, 102101. [Google Scholar] [CrossRef]
- Chisum, J.D.; Grossman, E.N.; Popović, Z. A general approach to low noise readout of terahertz imaging arrays. Rev. Sci. Instrum. 2011, 82, 065106. [Google Scholar] [CrossRef] [PubMed]
- Minkevičius, L.; Ragauskas, M.; Matukas, J.; Palenskis, V.; Pralgauskaitė, S.; Seliuta, D.; Kašalynas, I.; Valušis, G. InGaAs Bow-tie Diodes for Terahertz Imaging: Low Frequency Noise Characterization. In Proceedings of the SPIE Terahertz Emitters, Receivers, and Applications III, San Diego, CA, USA, 12–13 August 2012; Razeghi, M., Baranov, A.N., Everitt, H.O., Zavada, J.M., Manzur, T., Eds.; Volume 8496, p. 849612. [Google Scholar] [CrossRef]
- Shen, H.; Dutta, M. Franz-Keldysh oscillations in modulation spectroscopy. J. Appl. Phys. 1995, 78, 2151–2176. [Google Scholar] [CrossRef]
- Čechavičius, B.; Kavaliauskas, J.; Krivaitė, G.; Seliuta, D.; Valušis, G.; Halsall, M.P.; Steer, M.J.; Harrison, P. Photoreflectance and surface photovoltage spectroscopy of beryllium-doped GaAs/AlAs multiple quantum wells. J. Appl. Phys. 2005, 98, 023508. [Google Scholar] [CrossRef]
- Mott, N.F.; Davis, E.A. Electronic Processes in Non-Crystalline Materials, 2nd ed.; Oxford University Press: New York, NY, USA, 2012; ISBN 978-0-19-964533-6. [Google Scholar]
- Ambegaokar, V.; Halperin, B.I.; Langer, J.S. Hopping Conductivity in Disordered Systems. Phys. Rev. B 1971, 4, 2612–2620. [Google Scholar] [CrossRef]
- Palenskis, V.; Maknys, K. Nature of low frequency noise in homogeneous semiconductors. Sci. Rep. 2015, 5, 18305. [Google Scholar] [CrossRef] [PubMed]
- Palenskis, V. The charge carrier capture-emission process—The main source of the low-frequency noise in homogeneous semiconductors. Lith. J. Phys. 2016, 56, 200–206. [Google Scholar] [CrossRef]
- Palenskis, V.; Glemza, J.; Vysniauskas, J.; Matukas, J. Carrier density and mobility fluctuations due to carrier retrapping process in homogeneous semiconductors. In Proceedings of the 24th International Conference on Noise and Fluctuations (ICNF), Vilnius, Lithuania, 20–23 June 2017. [Google Scholar]
- Kirton, M.J.; Uren, M.J. Noise in solid-state microstructures: A new perspective in individual defects, interface states and low-frequency (1/f) noise. Adv. Phys. 1989, 38, 367–468. [Google Scholar] [CrossRef]
- Venckevičius, R.; Minkevičius, L.; Reklaitis, A.; Tamošiūnas, V.; Kašalynas, I.; Jokubauskis, D.; Seliuta, D.; Voisiat, B.; Račiukaitis, G.; Valušis, G. Compact solutions for spectroscopic solid-state based terahertz imaging systems. In Proceedings of the SPIE Terahertz Emitters, Receivers, and Applications VIII, San Diego, CA, USA, 6–10 August 2017; Razeghi, M., Baranov, A.N., Pavlidis, D., Zavada, J.M., Eds.; Volume 10383, p. 103830S. [Google Scholar] [CrossRef]











| Samples | B197 | B203 | B204 |
|---|---|---|---|
| BEP ratio In/Ga | 2.04 | 2.06 | 2.08 |
| ∆2θ, deg. | −0.07 | −0.064 | 0 |
| In, % | 47.0 | 52.5 | 53.2 |
| InGaAs layer thickness, d, nm | 540 | 540 | 540 |
| rms, nm | 0.167 | 0.322 | 0.166 |
| R, Ω | 470–500 | 850–900 | 770–780 |
| E, eV | 0.739 | 0.736 | 0.735 |
© 2018 by the authors. Licensee MDPI, Basel, Switzerland. This article is an open access article distributed under the terms and conditions of the Creative Commons Attribution (CC BY) license (http://creativecommons.org/licenses/by/4.0/).
Share and Cite
Palenskis, V.; Minkevičius, L.; Matukas, J.; Jokubauskis, D.; Pralgauskaitė, S.; Seliuta, D.; Čechavičius, B.; Butkutė, R.; Valušis, G. InGaAs Diodes for Terahertz Sensing—Effect of Molecular Beam Epitaxy Growth Conditions. Sensors 2018, 18, 3760. https://doi.org/10.3390/s18113760
Palenskis V, Minkevičius L, Matukas J, Jokubauskis D, Pralgauskaitė S, Seliuta D, Čechavičius B, Butkutė R, Valušis G. InGaAs Diodes for Terahertz Sensing—Effect of Molecular Beam Epitaxy Growth Conditions. Sensors. 2018; 18(11):3760. https://doi.org/10.3390/s18113760
Chicago/Turabian StylePalenskis, Vilius, Linas Minkevičius, Jonas Matukas, Domas Jokubauskis, Sandra Pralgauskaitė, Dalius Seliuta, Bronislovas Čechavičius, Renata Butkutė, and Gintaras Valušis. 2018. "InGaAs Diodes for Terahertz Sensing—Effect of Molecular Beam Epitaxy Growth Conditions" Sensors 18, no. 11: 3760. https://doi.org/10.3390/s18113760
APA StylePalenskis, V., Minkevičius, L., Matukas, J., Jokubauskis, D., Pralgauskaitė, S., Seliuta, D., Čechavičius, B., Butkutė, R., & Valušis, G. (2018). InGaAs Diodes for Terahertz Sensing—Effect of Molecular Beam Epitaxy Growth Conditions. Sensors, 18(11), 3760. https://doi.org/10.3390/s18113760

