A Differential Reflective Intensity Optical Fiber Angular Displacement Sensor
Abstract
:1. Introduction
2. Operating Principle of the Sensor
2.1. Structure of the Sensor
2.2. Differential Reflective Intensity-Modulated of Sensor
2.3. Light Intensity-Voltage Converter
3. Modeling and Simulation of the Sensor
3.1. Model of Sensor
3.2. Simulation of Optical Fiber Probe Design Parameters Influence on Sensor Measurement Features
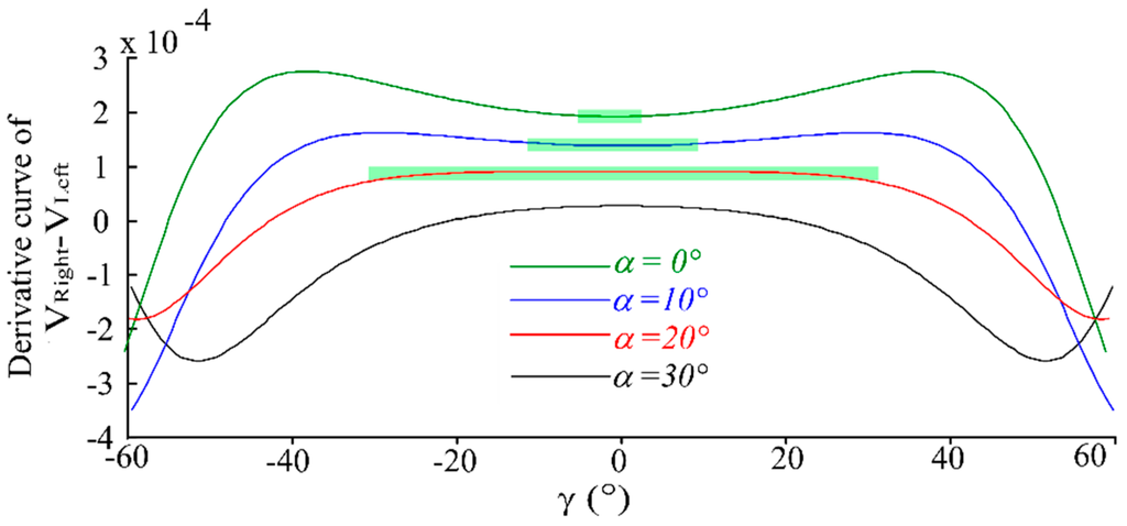
3.2.1. Effect of α on Output Character of RFLeft and RFRight Fiber Bundle
3.2.2. Effect of p on the Output Characteristics of the RFLeft and RFRight Fiber Bundle
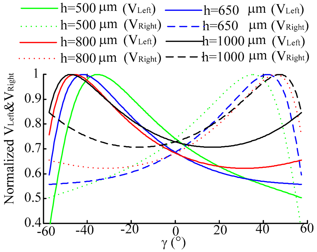
3.2.3. Effect of h on Output Character of RFLeft and RFRight Fiber Bundle
4. Experimental Results and Discussion
4.1. System Configuration
4.2. The Calibration Experiment Results
4.2.1. Displacement Measurement Calibration Experiment Results
4.2.2. Angular Displacement Measurement Calibration Experiment Results
5. Conclusions
Acknowledgments
Author Contributions
Conflicts of Interest
References
- Yasin, M.; Harun, S.W.; Arof, H. Fiber Optic Sensors; InTech: Rijeka, Croatia, 2012. [Google Scholar]
- Doyle, C.T.M.; Fernando, G.F. An intensity-based fiber optic vibration sensor. Proc. SPIE 1996, 2718, 94–102. [Google Scholar]
- Lee, B. Review of the present status of optical fiber sensors. Opt. Fiber Technol. 2003, 9, 57–79. [Google Scholar] [CrossRef]
- Sastikumar, D.; Gobi, G.; Renganathan, B. Determination of the thickness of a transparent plate using a reflective fiber optic displacement sensor. Opt. Laser Technol. 2010, 42, 911–917. [Google Scholar] [CrossRef]
- Jafari, R.; Golnabi, H. Fibre position effects on the operation of opto-pair fibre displacement sensors. Opt. Laser Technol. 2011, 43, 814–819. [Google Scholar] [CrossRef]
- Cho, S.; Lee, K.; Kim, J.; Kim, D. Rugate-structured free-standing porous silicon-based fiber-optic sensor for the simultaneous detection of pressure and organic gases. Sens. Actuators B 2013, 183, 428–433. [Google Scholar] [CrossRef]
- Patil, S.S.; Buchade, P.B.; Shaligram, A.D. Theoretical modeling, simulation and experimental studies of fiber optic bundle displacement sensor. Sens. Actuators A 2013, 201, 79–85. [Google Scholar] [CrossRef]
- Yang, H.Z.; Qiao, X.G.; Luo, D.; Lim, K.S.; Chong, W.; Harun, S.W. A review of recent developed and applications of plastic fiber optic displacement sensors. Measurement 2014, 48, 333–345. [Google Scholar] [CrossRef]
- Montero, D.S.; Vazquez, C. Remote Interrogation of WDM Fiber-Optic Intensity Sensors Deploying Delay Lines in the Virtual Domain. Sensors 2013, 13, 5870–5880. [Google Scholar] [CrossRef] [PubMed]
- Puangmali, P.; Althoefer, K.; Seneviratne, L.D. Mathematical Modeling of Intensity-Modulated Bent-Tip Optical Fiber Displacement Sensors. IEEE Trans. Instrum. Meas. 2010, 59, 283–291. [Google Scholar] [CrossRef]
- Tosi, D.; Perrone, G.; Vallan, A. Performance Analysis of a Noncontact Plastic Fiber Optical Fiber Displacement Sensor with Compensation of Target Reflectivity. J. Sens. 2013, 2013, 781548. [Google Scholar] [CrossRef]
- Yasin, M.; Harun, S.W.; Abdulrashid, H.A.; Kusminarto; Karyono; Ahmad, H. The performance of a fiber optic displacement sensor for different types of probes and targets. Laser Phys. Lett. 2008, 5, 55–58. [Google Scholar] [CrossRef]
- Khiat, A.; Lamarque, F.; Prelle, C.; Bencheikh, N.; Dupont, E. High-resolution fibre optic sensor for angular displacement measurements. Meas. Sci. Technol. 2010, 21, 025206. [Google Scholar] [CrossRef]
- Sakamoto, J.M.S.; Kitano, C.; Pacheco, G.M.; Tittmann, B.R. High sensitivity fiber optic angular displacement sensor and its application for detection of ultrasound. Appl. Opt. 2012, 51, 4841–4851. [Google Scholar] [CrossRef] [PubMed]
- Sakamoto, J.M.S.; Pacheco, G.M.; Kitano, C.; Tittmann, B.R. Geometrical parameter analysis of the high sensitivity fiber optic angular displacement sensor. Appl. Opt. 2015, 53, 8436–8443. [Google Scholar] [CrossRef] [PubMed]
- Jung, G.I.; Kim, J.S.; Lee, T.H.; Choi, J.H.; Oh, H.B.; Kim, A.H.; Eom, G.M.; Lee, J.H.; Chung, S.C.; Park, J.R.; et al. Development of an Optical Fiber Sensor for Angular Displacement Measurements. Biomed. Mater. Eng. 2014, 24, 771–780. [Google Scholar] [PubMed]
- Shan, M.; Min, R.; Zhong, Z.; Wang, Y.; Hao, B.; Zhang, Y. Differential trans missive fiber-optic distance sensor. Microw. Opt. Technol. Lett. 2014, 56, 1104–1107. [Google Scholar] [CrossRef]
- Shan, M.; Min, R.; Zhong, Z.; Wang, Y.; Zhang, Y. Differential reflective fiber-optic angular displacement sensor. Opt. Laser Technol. 2015, 68, 124–128. [Google Scholar] [CrossRef]
- Garcia, I.; Beloki, J.; Zubia, J.; Aldabaldetreku, G.; Jimenez, F. An Optical Fiber Bundle Sensor for Tip Clearance and Tip Timing Measurements in a Turbine Rig. Sensors 2013, 13, 7385–7398. [Google Scholar] [CrossRef] [PubMed]
- Jia, B.H.; Zhang, X.D. An optical fiber Blade Tip Clearance Sensor for Active Clearance Control Applications. Procedia Eng. 2011, 15, 984–988. [Google Scholar]
- Zhu, S.Y.; Cao, H.M. Theoretical Modeling and Simulation Implementation of Reflective Optical Fiber Bundle Probe. Instrum. Tech. Sens. 2013, 5, 75–78. [Google Scholar]
- Wei, X.; Yue, J.; Shen, A.W.; Shao, W. Design of optical fiber displacement sensor for micro motion worktable. Transducer Microsyst. Tech. 2013, 32, 115–117. [Google Scholar]
- Zhang, P.; Zhang, X.D.; Liu, C.X. Output Characteristics of the Displacement Sensor with Two-Circle Reflective Coaxial Fiber. J. Xi’an Jiaotong Univ. 2012, 46, 27–30. [Google Scholar]



















| Parameters | Value | |
|---|---|---|
| Emitting fiber (EF) | Fiber radius (nucleus) | 150 μm |
| Fiber cladding | 15 μm | |
| NA | 0.22 | |
| Receiving fibers (RFs) | Fiber radius (nucleus) | 150 μm |
| Fiber cladding | 15 μm | |
| NA | 0.37 | |
| RFLeft and RFRight | Diameter of fiber bundle RFLeft and RFRight | 990 μm |
| NA | 0.37 | |
| Fiber type | Standard multimode optical fiber | |
| Fiber length | 1.5 m | |
| a | Diameter of middle fiber bundle | 1050 μm |
| h | Displacement to reflector | 500 μm |
| α | Degree | 20° |
© 2016 by the authors; licensee MDPI, Basel, Switzerland. This article is an open access article distributed under the terms and conditions of the Creative Commons Attribution (CC-BY) license (http://creativecommons.org/licenses/by/4.0/).
Share and Cite
Jia, B.; He, L.; Yan, G.; Feng, Y. A Differential Reflective Intensity Optical Fiber Angular Displacement Sensor. Sensors 2016, 16, 1508. https://doi.org/10.3390/s16091508
Jia B, He L, Yan G, Feng Y. A Differential Reflective Intensity Optical Fiber Angular Displacement Sensor. Sensors. 2016; 16(9):1508. https://doi.org/10.3390/s16091508
Chicago/Turabian StyleJia, Binghui, Lei He, Guodong Yan, and Yong Feng. 2016. "A Differential Reflective Intensity Optical Fiber Angular Displacement Sensor" Sensors 16, no. 9: 1508. https://doi.org/10.3390/s16091508
APA StyleJia, B., He, L., Yan, G., & Feng, Y. (2016). A Differential Reflective Intensity Optical Fiber Angular Displacement Sensor. Sensors, 16(9), 1508. https://doi.org/10.3390/s16091508
