First Eigenmode Transmission by High Efficient CSI Estimation for Multiuser Massive MIMO Using Millimeter Wave Bands
Abstract
:1. Introduction
2. System Definition
2.1. System and Channel Model
2.2. MU-MIMO Eigenmode Transmittion
3. Simplified Beamforming by High Efficient CSI Estimation
4. Results and Discussion
4.1. System Level Simulation
- Case 1: Four stream per UE via BD;
 - Case 2: One stream per UE via BD (1st Eigenmode); and
 - Case 3: One stream per UE via simplified beamforming (proposal).
 
4.2. Simulation Results
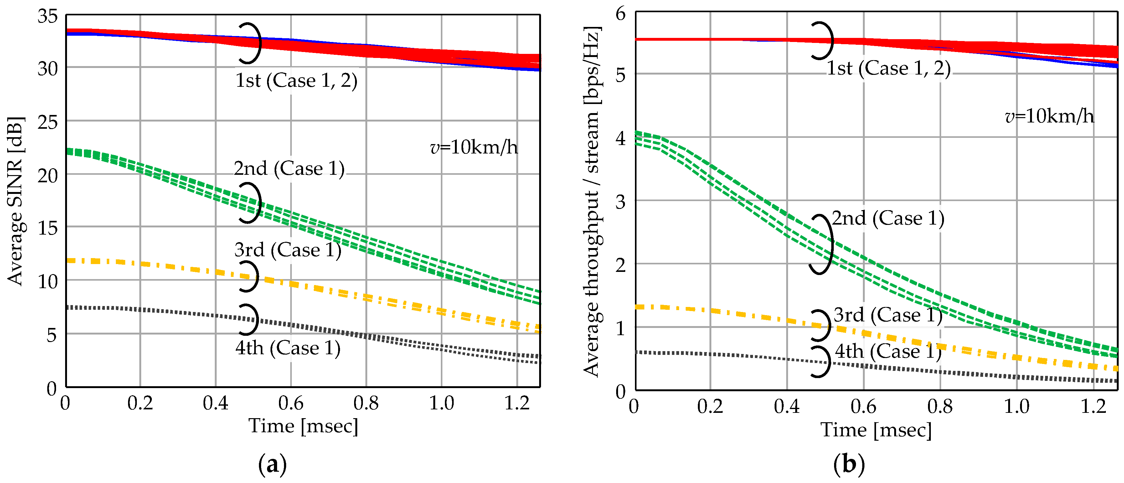
4.2.1. Performance of First Eigenmode Transmission
4.2.2. Performance of Simplified Beamforming
4.3. Discussion
5. Conclusions
Acknowledgments
Author Contributions
Conflicts of Interest
References
- Bangerter, B.; Talwar, S.; Arefi, R.; Stewart, K. Networks and devices for the 5G era. IEEE Commun. Mag. 2014, 52, 90–96. [Google Scholar] [CrossRef]
 - Suyama, S.; Shen, J.; Benjebbour, A.; Kishiyama, Y.; Okumura, Y. Super high bit rate radio access technologies for small cells using higher frequency bands. In Proceedings of the IEEE MTT International Microwave Symposium (IMS), Tampa Bay, FL, USA, 1–6 June 2014.
 - Nakamura, T.; Benjebbour, A.; Kishiyama, Y.; Suyama, S.; Imai, T. 5G radio access: Requirements, concept and experimental trials. IEICE Trans. Commun. 2015, 98, 1397–1406. [Google Scholar] [CrossRef]
 - Marzetta, T.L. Noncooperative cellular wireless with unlimited numbers of base station antennas. IEEE Trans. Wirel. Commun. 2010, 9, 3590–3600. [Google Scholar] [CrossRef]
 - Hoydis, J.; Brink, S.T.; Debbah, M. Massive MIMO in the UL/DL of cellular networks: How many antennas do we need? IEEE J. Sel. Areas Commun. 2013, 31, 160–171. [Google Scholar] [CrossRef]
 - Rusek, F.; Persson, D.; Lau, B.K.; Larsson, E.G.; Marzetta, T.L.; Edfors, O.; Tufvesson, F. Scaling up MIMO: Opportunities and challenges with very large arrays. IEEE Signal Process. Mag. 2013, 30, 40–60. [Google Scholar] [CrossRef]
 - Larsson, E.G.; Edfors, O.; Tufvesson, F.; Marzetta, T.L. Massive MIMO for next generation wireless systems. IEEE Commun. Mag. 2014, 52, 186–195. [Google Scholar] [CrossRef]
 - Obara, T.; Suyama, S.; Shen, J.; Okumura, Y. Joint fixed beamforming and eigenmode precoding for super high bit rate massive MIMO systems using higher frequency bands. In Proceedings of the IEEE 25th Personal, Indoor and Mobile Radio Communications (PIMRC), Washington, DC, USA, 2–5 September 2014.
 - Spencer, Q.H.; Peel, C.B.; Swindlehurst, A.L.; Haardt, M. An introduction to the multi-user MIMO downlink. IEEE Commun. Mag. 2004, 42, 60–67. [Google Scholar] [CrossRef]
 - Taira, A.; Iura, H.; Nakagawa, K.; Uchida, S.; Ishioka, K.; Okazaki, A.; Okamura, A.; Suyama, S.; Okumura, Y. Evaluation of multi-beam multiplexing technologies for massive MIMO system based on the EHF-band channel measurement. In Proceedings of the 21st Asia-Pacific Conference on Communications (APCC), Kyoto, Japan, 14–16 October 2015.
 - Ogawa, Y.; Yamaguchi, K.; Bui, H.P.; Nishimura, T.; Ohgane, T. Behavior of a multi-user MIMO system in time-varying environments. IEICE Trans. Commun. 2013, 96, 2364–2371. [Google Scholar] [CrossRef]
 - Iwakuni, T.; Maruta, K.; Ohta, A.; Shirato, Y.; Kurosaki, S.; Arai, T.; Iizuka, M. Massive MIMO effect for multiuser spatial multiplexing in time varying channel. IEICE Commun. Express 2015, 4, 270–275. [Google Scholar] [CrossRef]
 - Jose, J.; Ashikhmin, A.; Marzetta, T.; Vishwanath, S. Pilot contamination and precoding in multi-cell TDD systems. IEEE Trans. Wirel. Commun. 2011, 10, 2640–2651. [Google Scholar] [CrossRef]
 - Schmidt, R. Multiple emitter location and signal parameter estimation. IEEE Trans. Antennas Propag. 1986, 34, 276–280. [Google Scholar] [CrossRef]
 - Roy, R.; Kailath, T. ESPRIT-estimation of signal parameters via rotational invariance techniques. IEEE Trans. Acoust. Speech Signal Process. 1989, 37, 984–995. [Google Scholar] [CrossRef]
 - Tsang, Y.; Poon, A.; Addepalli, S. Coding the beams: Improving beamforming training in mmwave communication system. In Proceedings of the IEEE Global Communications Conference (GLOBECOM), Houston, TX, USA, 5–9 December 2011.
 - Alkhateeb, A.; Ayach, O.E.; Leus, G.; Heath, R.W. Channel estimation and hybrid precoding for millimeter wave cellular systems. IEEE J. Sel. Top. Signal Process. 2014, 8, 831–846. [Google Scholar] [CrossRef]
 - Lee, J.; Gil, G.T.; Lee, Y.H. Exploiting spatial sparsity for estimating channels of hybrid MIMO systems in millimeter wave communications. In Proceedings of the IEEE Global Communications Conference (GLOBECOM), Austin, TX, USA, 8–12 December 2014.
 - Giordani, M.; Mezzavilla, M.; Barati, C.N.; Rangan, S.; Zorzi, M. Comparative analysis of initial access techniques in 5G mmWave cellular networks. In Proceedings of the 50th Annual Conference on Information Science and Systems (CISS), Princeton, NJ, USA, 16–18 March 2016.
 - Tsai, P.Y.; Chiueh, T.D. Frequency-domain interpolation-based channel estimation in pilot-aided OFDM systems. In Proceedings of the IEEE 59th Vehicular Technology Conference (VTC 2004-Spring), Milan, Italy, 17–19 May 2004.
 - Seo, J.W.; Wee, J.W.; Jeon, W.G.; Paik, J.H.; Kim, D.K. An enhanced DFT-based channel estimation using virtual interpolation with guard bands prediction for OFDM. In Proceedings of the IEEE 17th International Symposium on Personal, Indoor and Mobile Radio Communications (PIMRC), Helsinki, Finland, 11–14 September 2006.
 - Peter, M.; Wisotzki, M.; Raceala-Motoc, M.; Keusgen, W.; Felbecker, R.; Jacob, M.; Priebe, S.; Kurner, T. Analyzing human body shadowing at 60 GHz: Systematic wideband MIMO measurements and modeling approaches. In Proceedings of the 10th European Conference on Antennas and Propagation (EuCAP), Prague, Czech Republic, 26–30 March 2012.
 - Yu, K.; Bengtsson, M.; Ottersten, B.; McNamara, D.; Karlsson, P.; Beach, M. Modeling of wide-band MIMO radio channels based on NLoS indoor measurements. IEEE Trans. Veh. Technol. 2004, 53, 655–665. [Google Scholar] [CrossRef]
 - Raj, J.S.K.; Prabu, A.S.; Vikram, N.; Schoebel, J. Spatial correlation and MIMO capacity of uniform rectangular dipole arrays. IEEE Antennas Wirel. Propag. Lett. 2008, 7, 97–100. [Google Scholar] [CrossRef]
 - GPP TR 36.873 V12.2.0. Study on 3D Channel Model for LTE (Release 12). June 2015. Available online: http://www.3gpp.org/dynareport/36873.htm (accessed on 24 June 2016).
 - Cramer, R.J.M.; Scholtz, R.A.; Win, M.Z. Evaluation of an ultra-wide-band propagation channel. IEEE Trans. Antennas Propag. 2002, 50, 561–570. [Google Scholar] [CrossRef]
 - Jakes, W.C. Microwave Mobile Communications, 2nd ed.; Wiley-IEEE Press: Hoboken, NJ, USA, 1994; pp. 8–78. [Google Scholar]
 - Spencer, Q.H.; Swindlehurst, A.L.; Haardt, M. Zero-forcing methods for downlink spatial multiplexing in multiuser MIMO channels. IEEE Trans. Signal Process. 2004, 52, 461–471. [Google Scholar] [CrossRef]
 - Nishimori, K.; Cho, K.; Takatori, Y.; Hori, T. Automatic calibration method using transmitting signals of an adaptive array for TDD systems. IEEE Trans. Veh. Technol. 2001, 50, 1636–1640. [Google Scholar] [CrossRef]
 - Fukuzono, H.; Murakami, T.; Kudo, R.; Takatori, Y.; Mizoguchi, M. Weighted-combining calibration on multiuser MIMO systems with implicit feedback. IEICE Trans. Commun. 2015, 98, 701–713. [Google Scholar] [CrossRef]
 - Trefethen, L.N.; Bau, D., III. Numerical Linear Algebra, 1st ed.; Society for Industrial and Applied Mathematics: Philadelphia, PA, USA, 1997. [Google Scholar]
 - Deng, S.; Samimi, M.K.; Rappaport, T.S. 28 GHz and 73 GHz millimeter-wave indoor propagation measurements and path loss models. In Proceedings of the IEEE International Conference on Communications (ICC), London, UK, 8–12 June 2015.
 - 3GPP TS 36.213. Evolved Universal Terrestrial Radio Access (E-UTRA); Physical Layer Procedures (Release 10). June 2011. Available online: http://www.3gpp.org/dynareport/36213.htm (accessed on 25 April 2016).
 - Mehlführer, C.; Wrulich, M.; Ikuno, J.C.; Bosanska, D.; Rupp, M. Simulating the long term evolution physical layer. In Proceedings of the 17th European Signal Processing Conference (EUSIPCO), Glasgow, UK, 24–28 August 2009.
 - Prasad, R. OFDM for Wireless Communications Systems, 1st ed.; Artech House: Norwood, MA, USA, 2004. [Google Scholar]
 - Peng, H.; Yamamoto, T.; Suegara, Y. Extended user/control plane architectures for tightly coupled LTE/WiGig interworking in millimeter-wave heterogeneous networks. In Proceedings of the IEEE Wireless Communications and Networking Conference (WCNC), New Orleans, LA, USA, 9–12 March 2015.
 











| Precoding Scheme | Complexity | 
|---|---|
| Proposed scheme | 10NcNpNr | 
| SVD | 2Nc(NtNr2 + Nr3) | 
| Parameters | Values | 
|---|---|
| Carrier frequency | 20 GHz | 
| Bandwidth | 400 MHz | 
| Number of FFT points | 2048 | 
| Number of subcarriers; Nc | 2000 | 
| Number of subcarriers for proposed CSI estimation; Np | 64 (4 subcarriers × 16 antennas) | 
| Number of BS antennas; Nt | 256 (16 × 16) UPA, 0.5λ spacing, HPBW = 65° | 
| Number of UE antennas; Nr | 16 (4 × 4) UPA, 0.5λ spacing, HPBW = 65° | 
| Number of UEs; Nu | Case 1: 4; Cases 2, 3: 16 | 
| Tx streams per UE; Ns | Case 1: 4; Cases 2, 3: 1 | 
| SNR | 10 dB @ SISO | 
| Channel model | Rician fading, K = 10 dB 11 path exponential decay RMS delay spread: 14 ns  | 
| Tx/Rx Angular spread | 5°/5° | 
| Precoding | BD/Eigenmode transmission | 
| Postcoding | MMSE | 
| Symbol duration | 6.67 μs | 
| CSI estimation period | 1.334 ms (200 symbol) | 
| UE speed; v | 10 km/h (fDTS = 1.2 × 10−3) | 
| MCS Index | SINR (dB) | Throughput (bps/Hz) | 
|---|---|---|
| 0 | - | 0 | 
| 1 | 1.00 | 0.1523 | 
| 2 | 3.21 | 0.2344 | 
| 3 | 5.43 | 0.3770 | 
| 4 | 6.36 | 0.6016 | 
| 5 | 8.14 | 0.8770 | 
| 6 | 9.93 | 1.1758 | 
| 7 | 11.71 | 1.4766 | 
| 8 | 13.50 | 1.9141 | 
| 9 | 15.29 | 2.4063 | 
| 10 | 17.07 | 2.7305 | 
| 11 | 18.86 | 3.3223 | 
| 12 | 20.64 | 3.9023 | 
| 13 | 22.43 | 4.5234 | 
| 14 | 24.21 | 5.1152 | 
| 15 | 26.00 | 5.5547 | 
© 2016 by the authors; licensee MDPI, Basel, Switzerland. This article is an open access article distributed under the terms and conditions of the Creative Commons Attribution (CC-BY) license (http://creativecommons.org/licenses/by/4.0/).
Share and Cite
Maruta, K.; Iwakuni, T.; Ohta, A.; Arai, T.; Shirato, Y.; Kurosaki, S.; Iizuka, M. First Eigenmode Transmission by High Efficient CSI Estimation for Multiuser Massive MIMO Using Millimeter Wave Bands. Sensors 2016, 16, 1051. https://doi.org/10.3390/s16071051
Maruta K, Iwakuni T, Ohta A, Arai T, Shirato Y, Kurosaki S, Iizuka M. First Eigenmode Transmission by High Efficient CSI Estimation for Multiuser Massive MIMO Using Millimeter Wave Bands. Sensors. 2016; 16(7):1051. https://doi.org/10.3390/s16071051
Chicago/Turabian StyleMaruta, Kazuki, Tatsuhiko Iwakuni, Atsushi Ohta, Takuto Arai, Yushi Shirato, Satoshi Kurosaki, and Masataka Iizuka. 2016. "First Eigenmode Transmission by High Efficient CSI Estimation for Multiuser Massive MIMO Using Millimeter Wave Bands" Sensors 16, no. 7: 1051. https://doi.org/10.3390/s16071051
APA StyleMaruta, K., Iwakuni, T., Ohta, A., Arai, T., Shirato, Y., Kurosaki, S., & Iizuka, M. (2016). First Eigenmode Transmission by High Efficient CSI Estimation for Multiuser Massive MIMO Using Millimeter Wave Bands. Sensors, 16(7), 1051. https://doi.org/10.3390/s16071051
        
                                                