Electrochemical Aptatoxisensor Responses on Nanocomposites Containing Electro-Deposited Silver Nanoparticles on Poly(Propyleneimine) Dendrimer for the Detection of Microcystin-LR in Freshwater
Abstract
:1. Introduction
2. Experimental
2.1. Materials and Methods
2.2. Apparatus
2.3. Preparation of GCE|SDD–Co(II)|AgNPs
2.4. Aptatoxisensor (GCE|SDD-Co(II)|AgNPs|MCLRA) Development and MC-LR Detection
3. Results and Discussion
3.1. Characterization of GCE|SDD–Co(II)|AgNPs
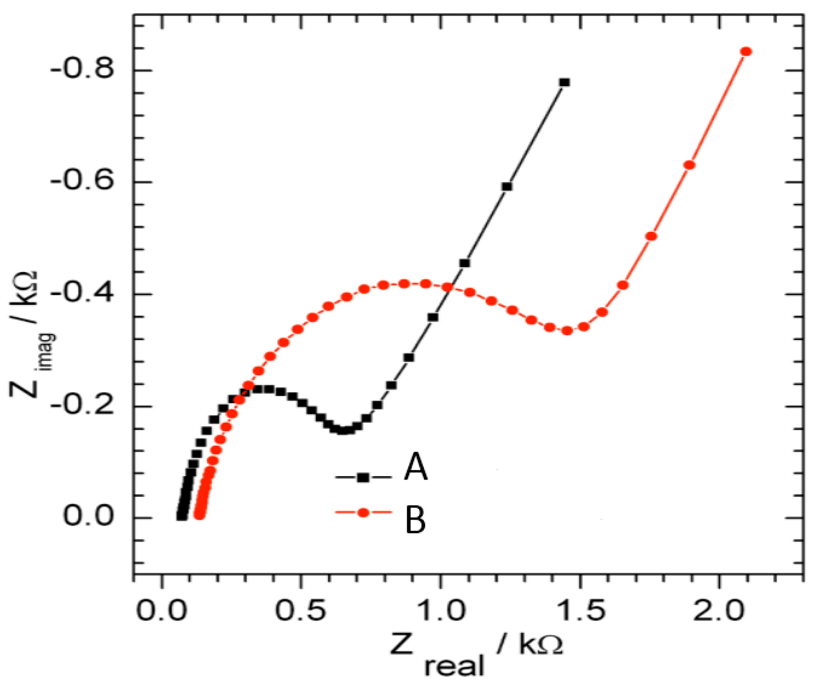
3.2. EIS Characterization of GCE|SDD–Co(II)|MCLRA and GCE|SDD–Co(II)|AgNPs
3.3. FTIR Structural Characterization of GCE|SDD–Co(II)|AgNPs
3.4. Electrochemical Determination of MC-LR
3.5. Application of Aptatoxisensor for Real Sample Aanalysis
3.6. Comparison of Aptatoxisensor with Traditional/Existing Analytical Procedures
4. Conclusions
Acknowledgments
Author Contributions
Conflicts of Interest
References
- Carmichael, W.W.; Bent, P.E. Hemagglutination method for detection of freshwater cyanobacteria (blue-green algae) toxins. Appl. Environ. Microbiol. 1981, 41, 1383–1388. [Google Scholar] [PubMed]
- Weirich, C.A.; Miller, T.R. Freshwater Harmful Algal Blooms: Toxins and Children’s Health. Curr. Prob. Pediatr. Adolesc. Health Care 2014, 44, 2–24. [Google Scholar] [CrossRef] [PubMed]
- Backer, L.C.; McNeel, S.V.; Barber, T.; Kirkpatrick, B.; Williams, C.; Irvin, M.; Zhou, Y.; Johnson, T.B.; Nierenberg, K.; Aubel, M.; et al. Recreational exposure to microcystins during algal blooms in two California lakes. Toxicon 2010, 55, 909–921. [Google Scholar] [CrossRef] [PubMed]
- Carmichael, W.W. Cyanobacteria secondary metabolites—The cyanotoxins. J. Appl. Bacteriol. 1992, 72, 445–459. [Google Scholar] [CrossRef] [PubMed]
- Szlag, D.C.; Sinclair, J.L.; Southwell, B.; Westrick, J.A. Cyanobacteria and cyanotoxins occurrence and removal from five high-risk conventional treatment drinking water plants. Toxins 2015, 7, 2198–2220. [Google Scholar] [CrossRef] [PubMed]
- Farrer, D.; Counter, M.; Hillwig, R.; Cude, C. Health-based cyanotoxin guideline values allow for cyanotoxin-based monitoring and efficient public health response to cyanobacterial blooms. Toxins 2015, 7, 457–477. [Google Scholar] [CrossRef] [PubMed]
- South Africa. Department of National Health. Directorate of Environmental Health. Recent developments in the local environmental health field. Urban Health Newsl. 1996, 28, 87–92. [Google Scholar]
- Genthe, B.; Strauss, N.; Vundule, C.; Maforah, F.; Seager, J. The effect of water supply, handling and usage on water quality in relation to health indices in developing communities. Urban Health Newsl. 1997, 32, 48–52. [Google Scholar]
- Kello, D. WHO drinking water quality guidelines for selected herbicides. Food Addit. Contam. 1989, 6, S79–S85. [Google Scholar] [CrossRef] [PubMed]
- Hayat, A.; Marty, J.L. Aptamer based electrochemical sensors for emerging environmental pollutants. Front. Chem. 2014, 2, 1–9. [Google Scholar] [CrossRef] [PubMed]
- Hong, K.L.; Sooter, L.J. Single-stranded DNA aptamers against pathogens and toxins: Identification and biosensing applications. BioMed Res. Int. 2015, 2015, 419318. [Google Scholar] [CrossRef] [PubMed]
- Kong, H.Y.; Byun, J. Nucleic acid aptamers: New methods for selection, stabilization, and application in biomedical science. Biomol. Ther. 2013, 21, 423–434. [Google Scholar] [CrossRef] [PubMed]
- Rhouati, A.; Yang, C.; Hayat, A.; Marty, J.-L. Aptamers: A promosing tool for ochratoxin a detection in food analysis. Toxins 2013, 5, 1988–2008. [Google Scholar] [CrossRef] [PubMed]
- Singh, S.; Srivastava, A.; Oh, H.-M.; Ahn, C.-Y.; Choi, G.-G.; Asthana, R.K. Recent trends in development of biosensors for detection of microcystin. Toxicon 2012, 60, 878–894. [Google Scholar] [CrossRef] [PubMed]
- Ng, A.; Chinnappan, R.; Eissa, S.; Liu, H.; Tlili, C.; Zourab, M. Selection, characterization, and biosensing application of high affinity congener-specific microcystin-targeting aptamers. Environ. Sci. Technol. 2012, 46, 10697–10703. [Google Scholar] [CrossRef] [PubMed]
- Lin, Z.; Huang, H.; Xu, Y.; Gao, X.; Qiu, B.; Chen, X.; Chen, G. Determination of microcystin-LR in water by a label-free aptamer based electrochemical impedance biosensor. Talanta 2013, 103, 371–374. [Google Scholar] [CrossRef] [PubMed]
- Wang, F.; Liu, S.; Lin, M.; Chen, X.; Lin, S.; Du, X.; Li, H.; Ye, H.; Qiu, B.; Lin, Z.; et al. Colorimetric detection of microcystin-LR based on disassembly of orient-aggregated gold nanoparticle dimers. Biosens. Bioelectron. 2015, 68, 475–480. [Google Scholar] [CrossRef] [PubMed]
- Du, X.; Jiang, D.; dai, L.; Zhou, L.; Hao, N.; Qian, J.; Qiu, B.; Wang, K. Fabricating photoelectrochemical aptasensor for selectively monitoring microcystin-LR residues in fish based on visible light-responsive BiOBr nanoflakes/N-doped graphene photoelectrode. Biosens. Bioelectron. 2016, 81, 242–248. [Google Scholar] [CrossRef] [PubMed]
- Hirao, A.; Yoo, H.-S. Dendrimer-like star-branched polymers: Novel structurally well-defined hyperbranched polymers. Polym. J. 2011, 43, 2–17. [Google Scholar] [CrossRef]
- Yuan, Y.; Liu, G.; Yuan, R.; Chai, Y.; Gan, X.; Bai, L. Dendrimer functionalized reduced graphene oxide as nanocarrier for sensitive pseudobienzyme electrochemical aptasensor. Biosens. Bioelectron. 2013, 42, 474–480. [Google Scholar] [CrossRef] [PubMed]
- Chen, X.; Wang, Y.; Zhang, Y.; Chen, Z.; Liu, Y.; Li, Z.; Li, J. Sensitive electrochemical aptamer biosensor for dynamic cell surface N-glycan evaluation featuring multivalent recognition and signal amplification on a dendrimer–graphene electrode interface. Anal. Chem. 2014, 86, 4278–4286. [Google Scholar] [CrossRef] [PubMed]
- Fernandes, E.G.R.; Vieira, N.C.S.; de Queiroz, A.A.A.; Guimarães, F.E.G.; Zucolotto, V. Immobilization of poly(propylene imine) dendrimer/nickel phtalocyanine as nanostructured multilayer films to be used as gate membranes for SEGFET pH sensors. J. Phys. Chem. C 2010, 114, 6478–6483. [Google Scholar] [CrossRef]
- González, B.; Cuadrado, I.; Casada, C.M.; Alonso, B.; Pastor, C.J. Reaction of (chlorocarbonyl)metallocenes of iron and cobalt with 1,4-diaminobutane: Synthesis of a heterobimetallic ferrocene−cobaltocenium complex. Organometallics 2000, 19, 5518–5521. [Google Scholar] [CrossRef]
- Beakley, L.W.; Yost, S.E.; Cheng, R.; Chandler, B.D. Nanocomposite catalysts: Dendrimer encapsulated nanoparticles immobilized in sol–gel silica. Appl. Catal. A 2005, 292, 124–129. [Google Scholar] [CrossRef]
- Scott, R.W.J.; Wilson, O.M.; Crooks, R.M. Synthesis, characterization, and applications of dendrimer-encapsulated nanoparticles. J. Phys. Chem. B 2005, 109, 692–704. [Google Scholar] [CrossRef] [PubMed]
- Kavosi, B.; Salimi, A.; Hallaj, R.; Moradi, F. Ultrasensitive electrochemical immunosensor for PSA biomarker detection in prostate cancer cells using gold nanoparticles/PAMAM dendrimer loaded with enzyme linked aptamer as integrated triple signal amplification strategy. Biosens. Bioelectron. 2015, 74, 915–923. [Google Scholar] [CrossRef] [PubMed]
- Liu, J.; Liu, J.; Yang, L.; Chen, X.; Zhang, M.; Meng, F.; Luo, T.; Li, M. Nanomaterial-assisted signal enhancement of hybridization for DNA biosensors: A review. Sensors 2009, 9, 7343–7364. [Google Scholar] [CrossRef] [PubMed]
- Gan, X.; Liu, T.; Zhong, J.; Liu, X.; Li, G. Effect of silver nanoparticles on the electron transfer reactivity and the catalytic activity of myoglobin. ChemBioChem 2004, 5, 1686–1691. [Google Scholar] [CrossRef] [PubMed]
- Manna, A.; Imae, T.; Aoi, K.; Okada, M.; Yago, T. Synthesis of dendrimer-passivated noble metal nanoparticles in a polar medium: Comparison of size between silver and gold particles. Chem. Mater. 2001, 13, 1674–1681. [Google Scholar] [CrossRef]
- Kavosi, B.; Salimi, A.; Hallaj, R.; Amani, K. A highly sensitive prostate-specific antigen immunosensor based on gold nanoparticles/PAMAM dendrimer loaded on MWCNTS/chitosan/ionic liquid nanocomposite. Biosens. Bioelectron. 2014, 52, 20–28. [Google Scholar] [CrossRef] [PubMed]
- Baccarin, M.; Janegitz, B.C.; Berte, R.; Vicentini, F.C.; Banks, C.E.; Fatibello-Filho, O.; Zucolotto, V. Direct electrochemistry of hemoglobin and biosensing for hydrogen peroxide using a film containing silver nanoparticles and poly(amidoamine) dendrimer. Mater. Sci. Eng. C 2016, 58, 97–102. [Google Scholar] [CrossRef] [PubMed]
- Martinovic, J.; van Wyk, J.; Mapolie, S.; Jahed, N.; Baker, P.; Iwuoha, E. Electrochemical and spectroscopic properties of dendritic cobalto-salicylaldiimine DNA biosensor. Electrochim. Acta 2010, 55, 4296–4302. [Google Scholar] [CrossRef]
- Gupta, N.; Pant, S.C.; Vijayaraghavan, R.; Rao, P.V.L. Comparative toxicity evaluation of cyanobacterial cyclic peptide toxin microcystin variants (LR, RR, YR) in mice. Toxicology 2003, 188, 285–296. [Google Scholar] [CrossRef]
- Sun, X.; Zhu, Y.; Wang, X. Amperometric immunosensor based on a protein A/deposited gold nanocrystals modified electrode for carbofuran detection. Sensors 2011, 11, 11679–11691. [Google Scholar] [CrossRef] [PubMed]
- Lu, L.; Chee, G.; Yamada, K.; Jun, S. Electrochemical impedance spectroscopic technique with a functionalized microwire sensor for rapid detection of foodborne pathogens. Biosens. Bioelectron. 2013, 42, 492–495. [Google Scholar] [CrossRef] [PubMed]
- Busseron, E.; Ruff, Y.; Moulin, E.; Giuseppone, N. Supramolecular self-assemblies as functional nanomaterials. Nanoscale 2013, 5, 7098–7140. [Google Scholar] [CrossRef] [PubMed]
- Herne, T.M.; Tarlov, M.J. Characterization of DNA probes immobilized on gold surfaces. J. Am. Chem. Soc. 1997, 119, 8916–8920. [Google Scholar] [CrossRef]
- Song, K.-M.; Lee, S.; Ban, C. Aptamers and their biological applications. Sensors 2012, 12, 612–631. [Google Scholar] [CrossRef] [PubMed]
- Josephs, E.A.; Ye, T. Nanoscale spatial distribution of thiolated DNA on model nucleic acid sensor surfaces. ACS Nano 2013, 7, 3653–3660. [Google Scholar] [CrossRef] [PubMed]
- Hua, M.; Tao, M.; Wang, P.; Xhang, Y.; Wu, Z.; Chang, Y.; Yang, Y. Label-free electrochemical cocaine aptasensor based on a target-inducing aptamer switching conformation. Anal. Sci. 2010, 26, 1265–1270. [Google Scholar] [CrossRef] [PubMed]
- Lau, P.S.; Li, Y. Exploration of Structure-Switching in the Design of Aptamer Biosensors, in Biosensors Based on Aptamers and Enzymes; Gu, B.M., Kim, H.-S., Eds.; Springer: Berlin, Germany, 2014; pp. 69–92. [Google Scholar]
- Oziol, L.; Bouaïcha, N. First evidence of estrogenic potential of the cyanobacterial heptotoxins the nodularin-R and the microcystin-LR in cultured mammalian cells. J. Hazard. Mater. 2010, 174, 610–615. [Google Scholar] [CrossRef] [PubMed]
- Brenner-Weiß, G.; Obst, U. Approaches to bioresponse-linked instrumental analysis in water analysis. Anal. Bioanal. Chem. 2003, 377, 408–416. [Google Scholar] [CrossRef] [PubMed]
- Hashimoto, E.H.; Kamogae, M.; Vanzella, T.P.; Colus, I.M.S; Bracarense, A.P.F.R.L.; Bittencourt-Oliveira, M.C.; Itano, E.; Kuroda, E.K.; Kato, H.; Nagata, S.; et al. Biomonitoring of microcystin and aflatoxin co-occurrence in aquaculture using immunohistochemistry and genotoxicity assays. Braz. Arch. Biol. Technol. 2012, 55, 151–159. [Google Scholar] [CrossRef]
- Niedermeyer, T.H.J.; Daily, A.; Swiatecka-Hagenbruch, M.; Moscow, J.A. Selectivity and potency of microcystin congeners against OATP1B1 and OATP1B3 expressing cancer cells. PLoS ONE 2014, 9, e91476. [Google Scholar] [CrossRef] [PubMed]
- Eissa, S.; Ng, A.; Siaj, M.; Zourab, M. Label-free voltammetric aptasensor for the sensitive detection of microcystin-LR using graphene-modified electrodes. Anal. Chem. 2014, 86, 7551–7557. [Google Scholar] [CrossRef] [PubMed]
- Weller, M.G. A unifying review of bioassay-guided fractionation, effect-directed analysis and related techniques. Sensors 2012, 12, 9181–9209. [Google Scholar] [CrossRef] [PubMed]
- Howard, K.L.; Boyer, G.L. Quantitative analysis of cyanobacterial toxins by matrix-assisted laser desorption ionization mass spectrometry. Anal. Chem. 2007, 79, 5980–5986. [Google Scholar] [CrossRef] [PubMed]
- Hayama, T.; Katoh, K.; Aoki, T.; Itoyama, M.; Todoroki, K.; Yoshida, H.; Yamaguchi, M.; Nohta, H. Liquid chromatographic determination of microcystins in water samples following pre-column excimer fluorescence derivatization with 4-(1-pyrene)butanoic acid hydrazide. Anal. Chim. Acta 2012, 755, 93–99. [Google Scholar] [CrossRef] [PubMed]
- Long, F.; He, M.; Zhu, A.N.; Shi, H.C. Portable optical immunosensor for highly sensitive detection of microcystin-LR in water samples. Biosens. Bioelectron. 2009, 24, 2346–2351. [Google Scholar] [CrossRef] [PubMed]
- Tong, P.; Tang, S.; He, Y.; Shao, Y.; Zhang, L.; Chen, G. Label-free immunosensing of microcystin-LR using a gold electrode modified with gold nanoparticles. Microchim. Acta 2011, 173, 299–305. [Google Scholar] [CrossRef]
- Han, C.; Doepke, A.; Cho, W.; Likodimos, V.; de la Cruz, A.A.; Back, T.; Heineman, W.R.; Halsall, H.B.; Shanov, V.N.; Schulz, M.J.; et al. A multiwalled-carbon-nanotube-based biosensor for monitoring microcystin-LR in sources of drinking water supplies. Adv. Funct. Mater. 2013, 23, 1807–1816. [Google Scholar] [CrossRef]
- Zhao, H.; Tian, J.; Quan, X. A graphene and multienzyme functionalized carbon nanosphere-based electrochemical immunosensor for microcystin-LR detection. Colloids Surf. B 2013, 103, 38–44. [Google Scholar] [CrossRef] [PubMed]







| Sample | [MC-LR] Added (µg·L−1) | [MC-LR] Detected (µg·L−1) | Recovery (%) | RSD (%) |
|---|---|---|---|---|
| Distilled water | 0 | ND | - | - |
| 0.01 | 0.0095 | 95.0 | 4.40 | |
| 0.02 | 0.0195 | 97.3 | 1.50 | |
| 0.04 | 0.0394 | 98.4 | 1.06 | |
| Tap water | 0 | 0.0047 | - | - |
| 0.01 | 0.0096 | 94.3 | 5.01 | |
| 0.02 | 0.0194 | 98.7 | 1.78 | |
| 0.04 | 0.0395 | 97.6 | 0.96 | |
| Wastewater | 0 | 0.0068 | - | - |
| 0.01 | 0.0109 | 109.0 | 1.52 | |
| 0.02 | 0.0290 | 104.2 | 1.18 | |
| 0.04 | 0.0460 | 115.0 | 5.06 |
| Real Samples | Elisa Result (µg·L−1) | Aptatoxisensor Result (µg·L−1) |
|---|---|---|
| Tap water | ND | 0.047 |
| Distilled water | ND | ND |
| Wastewater | ND | 0.078 |
| Techniques | DLR (µg·L−1) | LOD (µg·L−1) | References |
|---|---|---|---|
| MALDI-TOF MS | 0.11–5.0 | 0.015 | [48] |
| Liquid chromatography | 10–500 | 0.1 | [49] |
| CLEIA | 0.062–0.65 | 0.032 | [50] |
| Mediated label-free Au/AuNPs amperometric immunosensor | 0.05–15 | 0.02 | [51] |
| MWCNT electrochemical biosensor | 0.05–20 | 0.04 | [52] |
| Graphene/carbon nanosphere electrochemical immunosensor | 0.05–15 | 0.02 | [53] |
| ELISA (EnviroGard) | 0.2–4.0 | 0.1 | - |
| ELISA (EnviroLogix) | 0.16–2.5 | 0.147 | - |
| ELISA (Abraxis) | 0.15–5.0 | 0.1 | - |
| Aptatoxisensor | 0.1–1.1 | 0.04 | This study |
© 2016 by the authors; licensee MDPI, Basel, Switzerland. This article is an open access article distributed under the terms and conditions of the Creative Commons Attribution (CC-BY) license (http://creativecommons.org/licenses/by/4.0/).
Share and Cite
Bilibana, M.P.; Williams, A.R.; Rassie, C.; Sunday, C.E.; Makelane, H.; Wilson, L.; Ntshongontshi, N.; Jijana, A.N.; Masikini, M.; Baker, P.G.L.; et al. Electrochemical Aptatoxisensor Responses on Nanocomposites Containing Electro-Deposited Silver Nanoparticles on Poly(Propyleneimine) Dendrimer for the Detection of Microcystin-LR in Freshwater. Sensors 2016, 16, 1901. https://doi.org/10.3390/s16111901
Bilibana MP, Williams AR, Rassie C, Sunday CE, Makelane H, Wilson L, Ntshongontshi N, Jijana AN, Masikini M, Baker PGL, et al. Electrochemical Aptatoxisensor Responses on Nanocomposites Containing Electro-Deposited Silver Nanoparticles on Poly(Propyleneimine) Dendrimer for the Detection of Microcystin-LR in Freshwater. Sensors. 2016; 16(11):1901. https://doi.org/10.3390/s16111901
Chicago/Turabian StyleBilibana, Mawethu P., Avril R. Williams, Candice Rassie, Christopher E. Sunday, Hlamulo Makelane, Lindsay Wilson, Nomaphelo Ntshongontshi, Abongile N. Jijana, Milua Masikini, Priscilla G. L. Baker, and et al. 2016. "Electrochemical Aptatoxisensor Responses on Nanocomposites Containing Electro-Deposited Silver Nanoparticles on Poly(Propyleneimine) Dendrimer for the Detection of Microcystin-LR in Freshwater" Sensors 16, no. 11: 1901. https://doi.org/10.3390/s16111901
APA StyleBilibana, M. P., Williams, A. R., Rassie, C., Sunday, C. E., Makelane, H., Wilson, L., Ntshongontshi, N., Jijana, A. N., Masikini, M., Baker, P. G. L., & Iwuoha, E. I. (2016). Electrochemical Aptatoxisensor Responses on Nanocomposites Containing Electro-Deposited Silver Nanoparticles on Poly(Propyleneimine) Dendrimer for the Detection of Microcystin-LR in Freshwater. Sensors, 16(11), 1901. https://doi.org/10.3390/s16111901

