Electro-Mechanical Properties of Multilayer Graphene-Based Polymeric Composite Obtained through a Capillary Rise Method
Abstract
:1. Introduction
2. Materials and Methods
2.1. MLG Suspension Preparation
2.2. MLG/Polyvinyl Ester Resin Composite Laminae Realization
2.3. Rheological Characterizations
2.4. Measurement of the Rise Height during SDCF
2.5. Morphological Characterizations
2.6. Electromechanical Characterization of Strain Sensors
3. Results and Discussions
3.1. Morphology
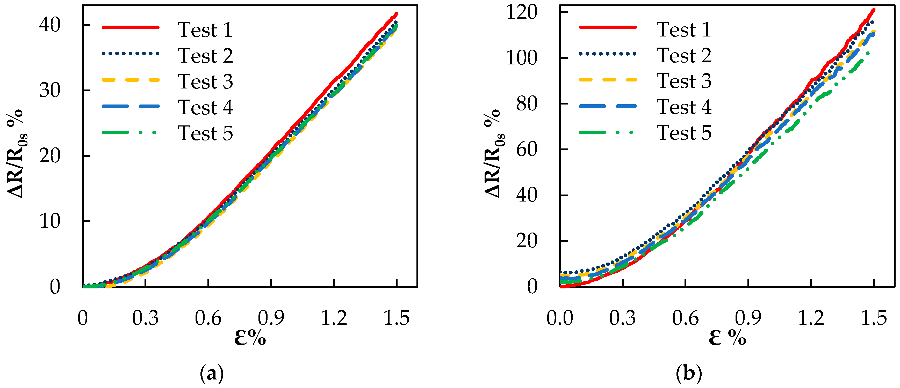
3.2. Electrical and Electromechanical Characterization of MLG-Composite Sensors
4. Conclusions
Acknowledgments
Author Contributions
Conflicts of Interest
Abbreviations
| CNT | carbon nanotubes |
| SCDF | spontaneous capillary-driven filling |
| GF | gauge factor |
| GNP | graphene nanoplatelet |
| GO | graphene oxide |
| rGO | reduced graphene oxide |
| MLG | multilayer graphene |
| SEM | scanning electron microscopy |
References
- Kohut, P.; Holak, K.; Uhl, T.; Ortyl, L.; Owerko, T.; Kuras, P.; Kocierz, R. Monitoring of a civil structure's state based on noncontact measurements. Struct. Health Monit. 2013, 12, 411–429. [Google Scholar] [CrossRef]
- Chung, D.D.L. Self-sensing structural composites in aerospace engineering. In Advanced Composite Materials for Aerospace Engineering: Processing, Properties and Applications, 1st ed.; Rana, S., Fangueiro, R., Eds.; Woodhead Publishing: Duxford, UK, 2016; pp. 295–326. [Google Scholar]
- Li, T.; Tan, Y.; Zhou, Z. A fiber Bragg grating sensing-based micro-vibration sensor and its application. Sensors 2016, 16, 547–560. [Google Scholar] [CrossRef] [PubMed]
- Si, L.; Wang, Q. Rapid multi-damage identification for health monitoring of laminated composites using piezoelectric wafer sensor arrays. Sensors 2016, 16, 638–657. [Google Scholar] [CrossRef] [PubMed]
- Stassi, S.; Cauda, V.; Canavese, G.; Pirri, C.F. Flexible tactile sensing based on piezoresistive composites: A review. Sensors 2014, 14, 5296–5332. [Google Scholar] [CrossRef] [PubMed]
- Kanoun, O.; Müller, C.; Benchirouf, A.; Sanli, A.; Dinh, T.D.; Al-Hamry, A.; Bu, L.; Gerlach, C.; Bouhamed, A. Flexible carbon nanotube films for high performance strain sensors. Sensors 2014, 14, 10042–10071. [Google Scholar] [CrossRef] [PubMed]
- Georgousis, G.; Pandis, C.; Kalamiotis, A.; Georgiopoulos, P.; Kyritsis, A.; Kontou, E.; Pissis, P.; Micusik, M.; Czanikova, K.; Kulicek, J.; et al. Strain sensing in polymer/carbon nanotube composites by electrical resistance measurement. Compos. Part B 2015, 68, 162–169. [Google Scholar] [CrossRef]
- Liu, L.; Zhang, D. The sensitive electrical response of reduced graphene oxide-polymer nanocomposites to large deformation. Compos. Part A 2015, 75, 46–53. [Google Scholar] [CrossRef]
- Tung, T.T.; Karunagaran, R.; Tran, D.N.H.; Gao, B.; Nag-Chowdhury, S.; Pillin, I.; Castro, M.; Feller, J.-F.; Losic, D. Engineering of graphene/epoxy nanocomposites with improved distribution of graphene nanosheets for advanced piezo-resistive mechanical sensing. J. Mater. Chem. C 2016, 4, 3422–3430. [Google Scholar] [CrossRef]
- Zha, J.-W.; Zhang, B.; Li, R.K.Y.; Dang, Z.M. High-performance strain sensors based on functionalized graphene nanoplates for damage monitoring. Compos. Sci. Technol. 2016, 123, 32–38. [Google Scholar] [CrossRef]
- Rinaldi, A.; Proietti, A.; Tamburrano, A.; De Bellis, G.; Mulattieri, M.; Sarto, M.S. Multilayer graphene-based films for strain sensing. In Proceedings of the 14th IEEE International Conference on Nanotechnology, Toronto, ON, Canada, 18–21 August 2014.
- Moriche, R.; Sanchez, M.; Jimenez-Suarez, A.; Prolongo, S.G.; Urena, A. Strain monitoring mechanisms of sensors based on the addition of graphene nanoplatelets into an epoxy matrix. Compos. Sci. Technol. 2016, 123, 65–70. [Google Scholar] [CrossRef]
- Heeder, N.; Chakraborty, I.; Bose, A.; Shukla, A. Electro-mechanical behavior of graphene–polystyrene composites under dynamic loading. J. Dyn. Behav. Meter. 2015, 1, 43–54. [Google Scholar] [CrossRef]
- Acquarelli, C.; Paliotta, L.; Proietti, A.; Tamburrano, A.; De Bellis, G.; Sarto, M.S. Electrical and electromechanical properties of stretchable multilayer-graphene/PDMS composite foils. IEEE Trans. Nanotechnol. 2016, 15, 687–695. [Google Scholar] [CrossRef]
- Ponnamma, D.; Guo, Q.; Krupa, I.; Ali, M.; Al-Maadeed, S.A.; Varughese, K.T.; Thomas, S.; Sadasivuni, K.K. Graphene and graphitic derivative filled polymer composites as potential sensors. Phys. Chem. Chem. Phys. 2015, 17, 3954–3981. [Google Scholar] [CrossRef] [PubMed]
- Tamburrano, A.; Sarasini, F.; De Bellis, G.; D’Aloia, A.G.; Sarto, M.S. The piezoresistive effect in graphene based polymeric composites. Nanotechnology 2013, 24, 465702–467712. [Google Scholar] [CrossRef] [PubMed]
- Adohi, B.J.P.; Laur, V.; Haidar, B.; Brosseau, C. Measurement of the microwave effective permittivity in tensile-strained polyvinylidene difluoride trifluoroethylene filled with graphene. Appl. Phys. Lett. 2014, 104, 082902. [Google Scholar] [CrossRef]
- Adohi, B.; Haidar, B.; Costa, L.; Laur, V.; Brosseau, C. Assessing the role of graphene content in the electromagnetic response of graphene polymer nanocomposites. Eur. Phys. J. B 2015, 88, 280. [Google Scholar] [CrossRef]
- Liu, Y.; Hu, Y.; Liu, T.; Ding, J.L.; Zhong, W.H. Mechanical behavior of high density polyethylene and its carbon nanocomposites under quasi-static and dynamic compressive and tensile loadings. Polym. Test. 2015, 41, 106–116. [Google Scholar] [CrossRef]
- Huang, Y.Y.; Terentjev, E.M. Dispersion of carbon nanotubes: Mixing, sonication, stabilization, and composite properties. Polymers 2012, 4, 275–295. [Google Scholar] [CrossRef]
- Hamidi, Y.K.; Aktas, L.; Altan, M.C. Formation of microscopic voids in resin transfer molded composites. J. Eng. Mater. Technol. 2014, 126, 420–426. [Google Scholar] [CrossRef]
- Shimada, Y.; Matsuzaki, R.; Takahashi, A. Numerical simulation of molding-defect formation during resin transfer molding. Adv. Compos. Mater. 2016, 1–16. [Google Scholar] [CrossRef]
- Msallem, Y.A.; Jacquemin, F.; Boyard, N.; Poitou, A.; Delaunay, D.; Chatel, S. Material characterization and residual stresses simulation during the manufacturing process of epoxy matrix composites. Compos. Part A 2010, 41, 108–115. [Google Scholar] [CrossRef]
- Ding, A.; Li, S.; Sun, J.; Wang, J.; Zu, L. A comparison of process-induced residual stresses and distortions in composite structures with different constitutive laws. J. Reinf. Plast. Compos. 2016, 35, 807–823. [Google Scholar] [CrossRef]
- Naebe, M.; Abolhasani, M.M.; Khayyam, H.; Amini, A.; Fox, B. Crack damage in polymers and composites: A review. Polymer 2016, 56, 31–69. [Google Scholar] [CrossRef]
- Deng, H.; Lin, L.; Ji, M.; Zhang, S.; Yang, M.; Fu, Q. Progress on the morphological control of conductive network in conductive polymer composites and the use as electroactive multifunctional materials. Prog. Polym. Sci. 2014, 39, 627–655. [Google Scholar] [CrossRef]
- Lozano-Perez, C.; Cauich-Rodríguez, J.V.; Aviles, F. Influence of rigid segment and carbon nanotube concentration on the cyclic piezoresistive and hysteretic behavior of multiwall carbon nanotube/segmented polyurethane composites. Compos. Sci. Technol. 2016, 128, 25–32. [Google Scholar] [CrossRef]
- Marra, F.; D’Aloia, A.G.; Tamburrano, A.; Ochando, I.M.; De Bellis, G.; Ellis, G.; Sarto, M.S. Electromagnetic and dynamic mechanical properties of epoxy and vinylester-based composites filled with graphene nanoplatelets. Polymers 2016, 8, 272–289. [Google Scholar] [CrossRef]
- Uelanda, M.; Blanesa, L.; Taudtea, R.V.; Stuarta, B.H.; Colea, N.; Willisb, P.; Rouxa, C.; Doblea, P. Capillary-driven microfluidic paper-based analytical devices for lab on a chip screening of explosive residues in soil. J. Chromatogr. A 2016, 1436, 28–30. [Google Scholar] [CrossRef] [PubMed]
- Ivanov, D.S.; Le Cahain, Y.M.; Arafati, S.; Dattin, A.; Ivanov, S.G.; Aniskevich, A. Novel method for functionalising and patterning textile composites: Liquid resin print. Compos. Part A 2016, 84, 175–185. [Google Scholar] [CrossRef]
- Waghmare, P.R.; Mitra, S.K. Finite reservoir effect on capillary flow of microbead suspension in rectangular microchannels. J. Colloid Interface Sci. 2010, 351, 561–569. [Google Scholar] [CrossRef] [PubMed]
- Ouali, F.F.; McHale, G.; Javed, H.; Trabi, C.; Shirtcliffe, N.J.; Newton, M.I. Wetting considerations in capillary rise and imbibition in closed square tubes and open rectangular cross-section channels. Microfluid. Nanofluid. 2013, 15, 309–326. [Google Scholar] [CrossRef]
- Kim, H.; Abdala, A.A.; Macosko, C.W. Graphene/polymer nanocomposites. Macromolecules 2010, 43, 6515–6530. [Google Scholar] [CrossRef]
- Ureña-Benavides, E.E.; Kayatin, M.J.; Davis, V.A. Dispersion and rheology of multiwalled carbon nanotubes in unsaturated polyester resin. Macromolecules 2013, 46, 1642–1650. [Google Scholar]
- Abbasi, S.; Carreau, P.J.; Derdouri, A.; Moan, A. Rheological properties and percolation in suspensions of multiwalled carbon nanotubes in polycarbonate. Rheol. Acta 2009, 48, 943–959. [Google Scholar] [CrossRef]
- D’Aloia, A.G.; Marra, F.; Tamburrano, A.; De Bellis, G.; Sarto, M.S. Synthesis and characterization of graphene-based nanocomposites for EM shielding applications. In Proceedings of the 2013 International Symposium on Electromagnetic Compatibility, Brugge, Belgium, 2–6 September 2013.
- D’Aloia, A.G.; Tamburrano, A.; De Bellis, G.; Sarto, M.S. Electromechanical modeling of GNP nanocomposites for stress sensors applications. In Proceedings of the 11th IEEE International Conference on Nanotechnology, Portland, OR, USA, 15–18 August 2011.
- Bautista-Quijano, J.R.; Avilésa, F.; Aguilar, J.O.; Tapia, A. Strain sensing capabilities of a piezoresistive MWCNT-polysulfone film. Sens. Actuators A Phys. 2010, 159, 135–140. [Google Scholar] [CrossRef]
- Vertuccio, L.; Vittoria, V.; Guadagno, L.; De Santis, F. Strain and damage monitoring in carbon-nanotube-based composite under cyclic strain. Compos. Part A 2015, 71, 9–16. [Google Scholar] [CrossRef]
- Liao, X.; Liao, Q.; Yan, X.; Liang, Q.; Si, H.; Li, M.; Wu, H.; Cao, S.; Zhang, Y. Flexible and highly sensitive strain sensors fabricated by pencil drawn for wearable monitor. Adv. Funct. Mater. 2015, 25, 2395–2401. [Google Scholar] [CrossRef]
- Cravanzola, S.; Haznedar, G.; Scarano, D.; Zecchina, A.; Cesano, F. Carbon-based piezoresistive polymer composites: Structure and electrical properties. Carbon 2013, 62, 270–277. [Google Scholar] [CrossRef]
- Li, X.; Hristov, H.A.; Yeet, A.F.; Gidley, D.W. Influence of cyclic fatigue on the mechanical properties of amorphous polycarbonate. Polymer 1995, 36, 759–765. [Google Scholar] [CrossRef]









| Sample | (mm) |
|---|---|
| Plain resin | 39 |
| MLG/resin mixture | 38 |
| Plain resin with hardener | 36 |
| MLG/resin mixture with hardener | 35 |
| Sensor Fabrication Method | (µm) | (kΩ) | (kΩ) | (kΩ) | GF |
|---|---|---|---|---|---|
| Capillary rise | 157 | 43 | 50 | 50 | 27 |
| Resin casting | 163 | 51 | 103 | 106 | 70 |
© 2016 by the authors; licensee MDPI, Basel, Switzerland. This article is an open access article distributed under the terms and conditions of the Creative Commons Attribution (CC-BY) license (http://creativecommons.org/licenses/by/4.0/).
Share and Cite
Acquarelli, C.; Paliotta, L.; Tamburrano, A.; De Bellis, G.; Sarto, M.S. Electro-Mechanical Properties of Multilayer Graphene-Based Polymeric Composite Obtained through a Capillary Rise Method. Sensors 2016, 16, 1780. https://doi.org/10.3390/s16111780
Acquarelli C, Paliotta L, Tamburrano A, De Bellis G, Sarto MS. Electro-Mechanical Properties of Multilayer Graphene-Based Polymeric Composite Obtained through a Capillary Rise Method. Sensors. 2016; 16(11):1780. https://doi.org/10.3390/s16111780
Chicago/Turabian StyleAcquarelli, Chiara, Licia Paliotta, Alessio Tamburrano, Giovanni De Bellis, and Maria Sabrina Sarto. 2016. "Electro-Mechanical Properties of Multilayer Graphene-Based Polymeric Composite Obtained through a Capillary Rise Method" Sensors 16, no. 11: 1780. https://doi.org/10.3390/s16111780
APA StyleAcquarelli, C., Paliotta, L., Tamburrano, A., De Bellis, G., & Sarto, M. S. (2016). Electro-Mechanical Properties of Multilayer Graphene-Based Polymeric Composite Obtained through a Capillary Rise Method. Sensors, 16(11), 1780. https://doi.org/10.3390/s16111780

