3-(4-Ferrocenyl-1H-1,2,3-triazol-1-yl)cholic Acid
Abstract
1. Introduction
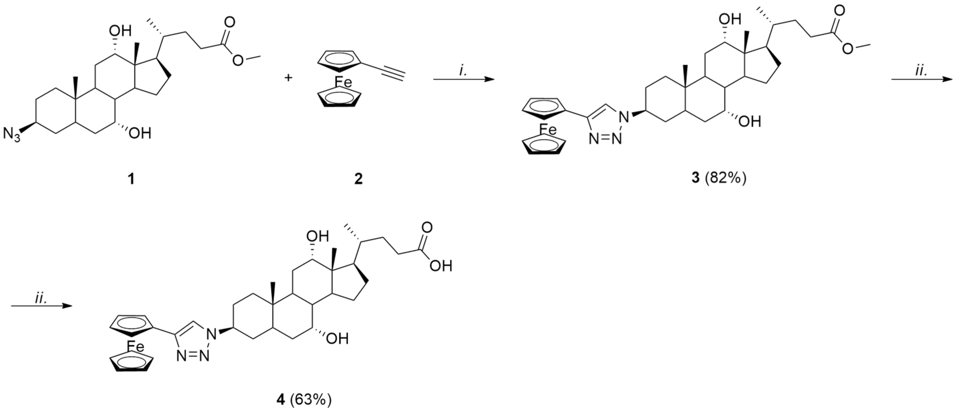
2. Results and Discussion
3. Materials and Methods
3.1. Synthesis and Spectroscopic Characterization
3.2. Surface Tension Measurements
3.3. UV-Vis Measurements
3.4. Electrochemical Measurements
4. Conclusions
Supplementary Materials
Author Contributions
Funding
Data Availability Statement
Acknowledgments
Conflicts of Interest
References
- Israelachvili, J.N.; Mitchell, D.J.; Ninham, B.W. Theory of self-assembly of hydrocarbon amphiphiles into micelles and bilayers. J. Chem. Soc. Faraday Trans. 2 1976, 72, 1525–1568. [Google Scholar] [CrossRef]
- Hiemenz, P.C.; Rajagopalan, R. Principles of Colloid and Surface Chemistry, 3rd ed.; Marcel Dekker: New York, NY, USA, 1997. [Google Scholar]
- Meyer, E.E.; Rosenberg, K.J.; Israelachvili, J. Recent progress in understanding hydrophobic interactions. Proc. Natl. Acad. Sci. USA 2006, 103, 15739–15746. [Google Scholar] [CrossRef] [PubMed]
- Czajka, A.; Hazell, G.; Eastoe, J. Surfactants at the design limit. Langmuir 2015, 31, 8205–8217. [Google Scholar] [CrossRef]
- Brown, P.; Butts, C.P.; Eastoe, J. Stimuli-responsive surfactants. Soft Matter 2013, 9, 2365–2374. [Google Scholar] [CrossRef]
- Polarz, S.; Kunkel, M.; Donner, A.; Schlötter, M. Added-value surfactants. Chem. Eur. J. 2018, 24, 18842–18856. [Google Scholar] [CrossRef] [PubMed]
- Togni, A.; Hayashi, T. (Eds.) Ferrocenes Homogeneous Catalysis, Organic Synthesis, Materials Science; VCH Verlagsgesellschaft: Weinheim, Germany, 1995. [Google Scholar] [CrossRef]
- Abraham, M.H.; Benjelloun-Dakhama, N.; Gola, J.M.R.; Acree, J.W.E.; Cain, W.S.; Enrique Cometto-Muniz, J. Solvation descriptors for ferrocene, and the estimation of some physicochemical and biochemical properties. New J. Chem. 2000, 24, 825–829. [Google Scholar] [CrossRef]
- Astruc, D. Why is Ferrocene so Exceptional. Eur. J. Inorg. Chem. 2017, 2017, 6–29. [Google Scholar] [CrossRef]
- Liu, X.; Abbott, N.L. Spatial and temporal control of surfactant systems. J. Colloid Interface Sci. 2009, 339, 1–18. [Google Scholar] [CrossRef]
- di Gregorio, M.C.; Travaglini, L.; Del Giudice, A.; Cautela, J.; Pavel, N.V.; Galantini, L. Bile salts: Natural surfactants and precursors of a broad family of complex amphiphiles. Langmuir 2019, 35, 6803–6821. [Google Scholar] [CrossRef] [PubMed]
- Small, D.M. The Physical Chemistry of Cholanic Acids. In The Bile Acids Chemistry, Physiology, and Metabolism; Springer: Boston, MA, USA, 1971; pp. 249–356. [Google Scholar] [CrossRef]
- Carey, M.C.; Small, D.M. Micelle formation by bile salts. Physical-chemical and thermodynamic considerations. Arch. Intern. Med. 1972, 130, 506–527. [Google Scholar] [CrossRef] [PubMed]
- Trillo, J.V.; Meijide, F.; Jover, A.; Soto Tellini, V.H.; de Frutos, S.; di Gregorio, M.C.; Galantini, L.; Vázquez Tato, J. Self-aggregation mechanism of a naphthylamide cationic derivative of cholic acid. From fibers to tubules. RSC Adv. 2014, 4, 5598–5606. [Google Scholar] [CrossRef]
- Cautela, J.; Stenqvist, B.; Schillén, K.; Belić, D.; Månsson, L.K.; Hagemans, F.; Seuss, M.; Fery, A.; Crassous, J.J.; Galantini, L. Supracolloidal Atomium. ACS Nano 2020, 14, 15748–15756. [Google Scholar] [CrossRef] [PubMed]
- Cautela, J.; Lattanzi, V.; Månsson, L.K.; Galantini, L.; Crassous, J.J. Sphere–Tubule Superstructures through Supramolecular and Supracolloidal Assembly Pathways. Small 2018, 14, 1803215. [Google Scholar] [CrossRef] [PubMed]
- Pore, V.S.; Aher, N.G.; Kumar, M.; Shukla, P.K. Design and synthesis of fluconazole/bile acid conjugate using click reaction. Tetrahedron 2006, 62, 11178–11186. [Google Scholar] [CrossRef]
- Polin, J.; Schottenberger, H.; Anderson, B.; Martin, S.F. Conversion of methyl ketones into terminal acetylenes: Ethynylferrocene. Org. Synth. 1996, 73, 262. [Google Scholar] [CrossRef]
- Meldal, M.; Wenzel Tornøe, C. Cu-Catalyzed Azide−Alkyne Cycloaddition. Chem. Rev. 2008, 108, 2952–3015. [Google Scholar] [CrossRef] [PubMed]
- Himo, F.; Lovell, T.; Hilgraf, R.; Rostovtsev, V.V.; Noodleman, L.; Sharpless, K.B.; Fokin, V.V. Copper(I)-Catalyzed Synthesis of Azoles. DFT Study Predicts Unprecedented Reactivity and Intermediates. J. Am. Chem. Soc. 2005, 127, 210–216. [Google Scholar] [CrossRef]
- Reis, S.; Guimarães Moutinho, C.; Matos, C.; de Castro, B.; Gameiro, P.; Lima, J.L.F.C. Noninvasive methods to determine the critical micelle concentration of some bile acid salts. Anal. Biochem. 2004, 334, 117–126. [Google Scholar] [CrossRef]
- Paul, A.; Borrelli, R.; Bouyanfif, H.; Gottis, S.; Sauvage, F. Tunable Redox Potential, Optical Properties, and Enhanced Stability of Modified Ferrocene-Based Complexes. ACS Omega 2019, 4, 14780–14789. [Google Scholar] [CrossRef]
- Connelly, N.G.; Geiger, W.E. Chemical redox agents for organometallic chemistry. Chem. Rev. 1996, 96, 877–910. [Google Scholar] [CrossRef] [PubMed]
- Ives, D.J.G.; Janz, G.J. Reference Electrodes-Theory and Practice; Academic Press: New York, NY, USA, 1961; pp. 433–463. [Google Scholar]




Disclaimer/Publisher’s Note: The statements, opinions and data contained in all publications are solely those of the individual author(s) and contributor(s) and not of MDPI and/or the editor(s). MDPI and/or the editor(s) disclaim responsibility for any injury to people or property resulting from any ideas, methods, instructions or products referred to in the content. |
© 2024 by the authors. Licensee MDPI, Basel, Switzerland. This article is an open access article distributed under the terms and conditions of the Creative Commons Attribution (CC BY) license (https://creativecommons.org/licenses/by/4.0/).
Share and Cite
D’Annibale, V.; Raglione, V.; Lisi, F.; Verdirosi, E.; Romagnoli, L.; Dini, D.; Galantini, L.; D’Annibale, A. 3-(4-Ferrocenyl-1H-1,2,3-triazol-1-yl)cholic Acid. Molbank 2024, 2024, M1940. https://doi.org/10.3390/M1940
D’Annibale V, Raglione V, Lisi F, Verdirosi E, Romagnoli L, Dini D, Galantini L, D’Annibale A. 3-(4-Ferrocenyl-1H-1,2,3-triazol-1-yl)cholic Acid. Molbank. 2024; 2024(4):M1940. https://doi.org/10.3390/M1940
Chicago/Turabian StyleD’Annibale, Valeria, Venanzio Raglione, Francesco Lisi, Elisa Verdirosi, Lorenza Romagnoli, Danilo Dini, Luciano Galantini, and Andrea D’Annibale. 2024. "3-(4-Ferrocenyl-1H-1,2,3-triazol-1-yl)cholic Acid" Molbank 2024, no. 4: M1940. https://doi.org/10.3390/M1940
APA StyleD’Annibale, V., Raglione, V., Lisi, F., Verdirosi, E., Romagnoli, L., Dini, D., Galantini, L., & D’Annibale, A. (2024). 3-(4-Ferrocenyl-1H-1,2,3-triazol-1-yl)cholic Acid. Molbank, 2024(4), M1940. https://doi.org/10.3390/M1940

