4-Benzoyl-2-(4-bromophenyl)-1-(4-methoxyphenyl)-1,2-dihydropyrimidino[4,3-c][1,4]benzoxazine-3,5-dione
Abstract
1. Introduction
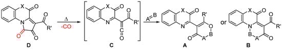
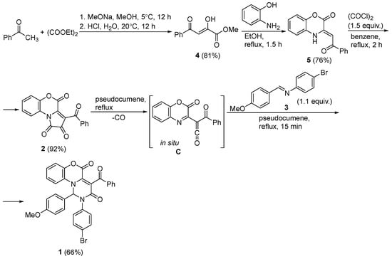
2. Results and Discussion
3. Materials and Methods
3.1. General Information
3.2. 4-Benzoyl-2-(4-bromophenyl)-1-(4-methoxyphenyl)-1,2-dihydropyrimidino[4,3-c][1,4]benzoxazine-3,5-dione 1
Supplementary Materials
Author Contributions
Funding
Institutional Review Board Statement
Informed Consent Statement
Data Availability Statement
Conflicts of Interest
References
- Zhang, J.; Xu, W. Methods Of NAD+-Dependent Deacetylase Inhibitors. Patent WO2005053609A2, 16 June 2005. [Google Scholar]
- Sugumi, H.; Niijima, J.; Kotake, Y.; Okada, T.; Kamata, J.-I.; Yoshimatsu, K.; Nagasu, T.; Nakamura, K.; Uenaka, T.; Yamaguchi, A.; et al. Fused polycyclic heterocycle derivatives. Patent US5952335A, 14 September 1999. [Google Scholar]
- Kamata, J.; Okada, T.; Kotake, Y.; Niijima, J.; Nakamura, K.; Uenaka, T.; Yamaguchi, A.; Tsukahara, K.; Nagasu, T.; Koyanagi, N.; et al. Synthesis and Evaluation of Novel Pyrimido-Acridone, -Phenoxadine, and -Carbazole as Topoisomerase II Inhibitors. Chem. Pharm. Bull. 2004, 52, 1071–1081. [Google Scholar] [CrossRef] [PubMed]
- Lystsova, E.A.; Khramtsova, E.E.; Maslivets, A.N. Acyl(imidoyl)ketenes: Reactive Bidentate Oxa/Aza-Dienes for Organic Synthesis. Symmetry 2021, 13, 1509. [Google Scholar] [CrossRef]
- Aliev, Z.G.; Krasnykh, O.P.; Maslivets, A.N.; Andreichikov, Y.S.; Atovmyan, L.O. Chemistry of acyl(imidoyl)ketenes. 3. Synthesis and structure of l-p-bromophenyl-2-p-methoxyphenyl-4-p-toluoyl-1,2-dihydropyrimidino[4,3-c][1,4]benzoxazine-3,5-dione. Russ. Chem. Bull. 1999, 48, 608–611. [Google Scholar] [CrossRef]
- Stepanova, E.E.; Dmitriev, M.V.; Maslivets, A.N. CCDC 2047333: Experimental Crystal Structure Determination; Cambridge Crystallographic Data Centre: Cambridge, UK, 2020. [Google Scholar] [CrossRef]
- Zampieri, D.; Mamolo, M.G.; Filingeri, J.; Fortuna, S.; De Logu, A.; Sanna, A.; Zanon, D. Design, synthesis and antimycobacterial activity of benzoxazinone derivatives and open-ring analogues: Preliminary data and computational analysis. Bioorg. Med. Chem. Lett. 2019, 29, 2468–2474. [Google Scholar] [CrossRef] [PubMed]
- Maslivets, A.N.; Mashevskaya, I.V.; Krasnykh, O.P.; Shurov, S.N.; Andreichikov, Y.S. 5-membered 2, 3-dioxoheterocycles. 33. synthesis of 3-aroyl-1, 2-dihydro-4H-pyrrolo-[5.1-C][1, 4] benzoxazine-1, 2, 4-triones and their interaction with water and alcohols. Zhurn. Org. Khim. 1992, 28, 2545–2553. [Google Scholar]
- CrysAlisPro, Oxford Diffraction/Agilent Technologies UK Ltd., Yarnton, England, Version 1.171.37.33 (Release 27-03-2014 CrysAlis171.NET). Available online: https://www.rigaku.com/products/crystallography/crysalis (accessed on 28 December 2022).
- Farrugia, L.J. WinGX and ORTEP for Windows: An update. J. Appl. Cryst. 2012, 45, 849–854. [Google Scholar] [CrossRef]
- Sheldrick, G.M. A short history of SHELX. Acta Crystallogr. Sect. A: Found. Crystallogr. 2008, 64, 112–122. [Google Scholar] [CrossRef] [PubMed]
- Sheldrick, G.M. Crystal structure refinement with SHELXL. Acta Crystallogr. Sect. C: Struct. Chem. 2015, 71, 3–8. [Google Scholar] [CrossRef] [PubMed]
- Sandhar, R.K.; Sharma, J.R.; Manrao, M.R. Synthesis and fungitoxicity of aldimines and 4-thiazolidinones derived from 4-bromoaniline. J. Indian Chem. Soc. 2008, 85, 220–223. [Google Scholar]




Disclaimer/Publisher’s Note: The statements, opinions and data contained in all publications are solely those of the individual author(s) and contributor(s) and not of MDPI and/or the editor(s). MDPI and/or the editor(s) disclaim responsibility for any injury to people or property resulting from any ideas, methods, instructions or products referred to in the content. |
© 2023 by the authors. Licensee MDPI, Basel, Switzerland. This article is an open access article distributed under the terms and conditions of the Creative Commons Attribution (CC BY) license (https://creativecommons.org/licenses/by/4.0/).
Share and Cite
Khramtsova, E.E.; Dmitriev, M.V.; Maslivets, A.N. 4-Benzoyl-2-(4-bromophenyl)-1-(4-methoxyphenyl)-1,2-dihydropyrimidino[4,3-c][1,4]benzoxazine-3,5-dione. Molbank 2023, 2023, M1583. https://doi.org/10.3390/M1583
Khramtsova EE, Dmitriev MV, Maslivets AN. 4-Benzoyl-2-(4-bromophenyl)-1-(4-methoxyphenyl)-1,2-dihydropyrimidino[4,3-c][1,4]benzoxazine-3,5-dione. Molbank. 2023; 2023(1):M1583. https://doi.org/10.3390/M1583
Chicago/Turabian StyleKhramtsova, Ekaterina E., Maksim V. Dmitriev, and Andrey N. Maslivets. 2023. "4-Benzoyl-2-(4-bromophenyl)-1-(4-methoxyphenyl)-1,2-dihydropyrimidino[4,3-c][1,4]benzoxazine-3,5-dione" Molbank 2023, no. 1: M1583. https://doi.org/10.3390/M1583
APA StyleKhramtsova, E. E., Dmitriev, M. V., & Maslivets, A. N. (2023). 4-Benzoyl-2-(4-bromophenyl)-1-(4-methoxyphenyl)-1,2-dihydropyrimidino[4,3-c][1,4]benzoxazine-3,5-dione. Molbank, 2023(1), M1583. https://doi.org/10.3390/M1583

