Abstract
A novel tetranortriterpenoid named kokosanolide D has been isolated from fruit peels of Lansium domesticum. The structure of kokosanolide D was elucidated primarily on the basis of spectroscopic data including infrared, 1D and 2D-NMR, as well as high resolution mass spectroscopy analysis and comparison with related compounds previously reported.
1. Introduction
Lansium domesticum Corr. (Meliaceae) is a tree that grows widely in Indonesia and various countries in Southeast Asia [1,2]. In addition, this tree is also found in Australia, Suriname and Puerto Rico [3]. Lansium domesticum Corr. cv Kokossan, which is commonly called “kokosan” in Indonesia, thrives and bears fruit during the rainy season [4]. Several types of triterpenoid compounds have been reported from L. domesticum Corr., such as tetranortriterpenoid [5], triterpenoid glycosides [6,7], onoceranoids [4,8,9,10] and cycloartane triterpenoids [11], which showed various biological activities, such as being antifeedant [12], anticancer [13], antibacterial [14], antimutagenic [15,16], and antimalarial [17].
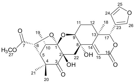
During our previous research on triterpenoid compounds from Indonesian Meliaceae plants, we have isolated two tetranortriterpenoid compounds (kokosanolide A and C) from the fruit seeds and one onoceranoid type triterpenoid compound (kokosanolide B) from the bark of L. domesticum cv Kokossan [12]. In the present study, we isolated a new tetranortriterpenoid compound from the methanol extract of fruit peels of L. domesticum Corr. cv Kokossan which is named kokosanolide D (1) (Figure 1). The chemical structure of compound 1 is determined by spectroscopic data, including infrared, 1D and 2D-NMR and HRMS.
Figure 1.
Chemical Structure of Compound 1.
2. Results
Extraction and Isolation
The dried fruit peels of L. domesticum (1.7 Kg) was macerated at room temperature with n-hexane (5 × 2 L), ethyl acetate (5 × 2 L), and methanol (5 × 2 L). The solvents were removed by evaporation to give a crude n-hexane extract (86 g), ethyl acetate (110 g), and methanol (75 g). The methanol extract (75 g) was partitioned using butanol:H2O (1:1) to give the butanol fraction (24 g). The butanol fraction (24 g) was fractionated by vacuum liquid chromatography on silica gel using a 10% gradient of n-hexane-ethyl acetate-methanol to give seventeen fractions (A–Q). Fraction G–H (2.9 g) was separated by silica gel open column chromatography using a 5% gradient of dichloromethane-ethyl acetate to give thirty-four fractions (GH1–GH34). Fraction GH13–15 (231.0 mg) was separated with silica gel open column chromatography using a 0.5–1% gradient of chloroform-acetone to give compound 1 (14.2 mg).
Kokosanolid D, colorless amorphous powder; HR-TOFMS m/z 517.2075 [M + H]+ (calcd. for C27H33O10, m/z 517,2074); IR (KBr) vmax (cm−1): 3441, 1760, 1726, 1698, 1440, 1392; 1H-NMR (CDCl3, 500 MHz) and 13C-NMR (CDCl3, 125 MHz) shown in Table 1.
Table 1.
13C-NMR, 1H NMR and HMBC Spectral Data of Compound 1 in CDCl3.
3. Discussion
Kokosanolide D (1) is obtained as colorless and amorphous from chloroform acetone. The molecular formula is determined to be C27H32O10 by LC-ESI-MS data (m/z 517.2076, [M + H]+), which is combined with 1H and 13C-NMR spectral data (Table 1) with twelve degrees of unsaturation. The IR (KBr) spectrum shows bands which can be assumed to be derived from the hydroxyl groups (vmax: 3441 cm−1), ketones (vmax: 1760 cm−1), unsaturated ketones (vmax: 1726 cm−1) isolated double bonds (vmax: 1698 cm−1) and gem-dimethyl (vmax: 1440 cm−1 and 1392 cm−1).
1H-NMR (Figure S1) showed three singlet signals (δ 0.98, 1.26, and 1.37) from the tertiary methyl group and one doublet from the secondary methyl group at δ 1.16 which correlated with H-10 (δ 3.29, 1H, d, 7). The singlet signal also appears in the lower field area (δ 3.67), which is thought to be the C-27 methoxy proton signal. A more refined analysis of the 1H-NMR spectrum reveals the signal characteristics of the tetranortriterpenoid skeleton in the presence of β-substituted furan signals (δ 7.48, 7.39 and 6.43) and olefinic signals of α, β-unsaturated ketone (δ 6.46, 1H, s).
13C-NMR, DEPT and HMQC spectrum (Figures S2–S4) shows 27 carbon signals referring to the signal characteristics of the furan ring (δ 142.8, 141.5, 119.7, and 110.2), ketone (δ 209.7), two ester groups (δ 172.0 and 165.7), one carbon oxygenated by two oxygens (δ 107.0) and α, β-unsaturated ketone (δ 167.5 and 117.4), thus showing that compound 1 has a hexacyclic structure with the presence of furan groups. 1H-1H COSY (Figure S5) shows the proton correlation of H6/H5, H9/H11, H10/H19, H11/H12, H21/H20, H25/H24 and H26/H24. These correlations indicate the presence of a tetranortriterpenoid skeleton with a furan ring [17]. The correlation of the partial structure was further explained by the HMBC correlation spectral data (Figure 2, Figure S6).
Figure 2.
(a) 1H-1H COSY and HMBC and (b) NOESY correlations for compound 1.
The correlation of oxygenated H-17 (δ 5.17) to C-23 (δ 119.7), C-24 (δ 110.2) and C-26 (δ 141.5) shows that C-17 binds to the furan ring. The pyran ring position is confirmed by the correlations of H-22 (δ 2.40 and 3.02) with C-1 (δ 107.0), C-2 (δ 77.1), C-8 (δ 67.8), C-9 (δ 73.4) and C-14 (δ 167.5). An α,β-unsaturated δ-lactone ring system is determined by the correlation of H-15 (δ 6.46) which connected with C-8 (δ 67.8), C-13 (δ 38.4) and C16 (δ 165.7). The correlations arising from two methyl (δ 0.98 and 1.37) to C-3 (δ 209.7), C-4 (δ 47.8) and C-5 (δ 55.9) indicate that gem-dimethyl is bound to C-4. Another correlation between the carbomethoxyl (δ 3.67) and H-6 (δ 4.82) signals to the carbonyl ester (δ 172.0) determines the position of the ester group attached to C-6. Basically, the NMR data of compound 1 were similar to those of kokosanolide A [12]. The only difference lies in C-8. Kokosanolide A has C-8 (δ 34.6), which is a metine, while in compound 1, C-8 (δ 67.8) is a quaternary carbon that binds the hydroxyl group. The absence of a C-8 correlation with any protons in the HMQC data supports this suggestion. A NOESY spectrum shows H-5/ H-6/H20 correlation. This NOESY correlation is also found in kokosanolide A [12]. It can be assumed that kokosanolide A and compound 1 have the same stereochemical configuration and indicated that hydroxyl group C-8 should have α-orientation. Thus, the structure of compound 1 is determined to be a new tetranortriterpenoid from kokosanolide group named kokosanolide D.
4. Materials and Methods
4.1. General Experimental Procedures
Mass spectra were measured with a waters Xevo QTOFMS (Waters, Milford, MA, USA). IR spectra were measure on a One Perkin Elmer infrared-100. NMR data were recorded on a JNM-ECZ500R/S1 spectrometer at 500 MHz for 1H and 125 MHz for 13C using TMS as an internal standard. Chromatographic separations were carried out on silica gel G60 (Merck, Darmstadt, Germany) and RP18 (Merck). TLC plates were pre-coated with silica gel GF254 (Merck, 0.25 mm), and detection was achieved by spraying with 10% H2SO4 in ethanol, followed by heating.
4.2. Plant Material
The fruit peels of L. domesticum were collected from Cililin, West Java, Indonesia in April 2018. The plant was identified and deposited in the Herbarium Laboratory of the Department of Biology, Faculty of Mathematics and Natural Sciences, Universitas Padjadjaran, Indonesia (Identification Number: 195/HB/08/2018).
5. Conclusions
A new tetranortriterpenoid was isolated from the methanol extract of fruit peels of L. domesticum Corr. cv kokossan, which is named kokosanolide D.
Supplementary Materials
The following are available online, Figure S1. 1H-NMR spectrum of 1 (500 MHz in CDCl3), Figure S2. 13C-NMR spectrum of 1 (125 MHz in CDCl3), Figure S3. DEPT_135° spectrum of 1 (125 MHz in CDCl3), Figure S4. HMQC spectrum of 1, Figure S5. 1H-1H COSY spectrum of 1, Figure S6. HMBC spectrum of 1, Figure S7. NOESY spectrum of 1, Figure S8. Infrared spectrum of 1 (in KBr), Figure S9. HR-TOF-MS spectrum of 1, Figure S10. TLC profile of 1.
Author Contributions
The following statements should be used Conceptualization, F.M.F. and T.M.; methodology, F.M.F., T.H.; software, F.M.F. and Z.; validation, K.F., T.M. and T.H.; formal analysis, F.M.F. and S.R.M.; investigation, T.M. and J.A.A.; resources, T.M.; data curation, K.F. and J.A.A.; writing—original draft preparation, F.M.F.; writing—review and editing, T.M. and J.A.A.; visualization, S.R.M. and T.H.; supervision, T.M. and T.H.; project administration, S.R.M.; funding acquisition, T.M. All authors have read and agreed to the published version of the manuscript.
Funding
This research was funded by PD, Ministry of Research, Technology and Higher Education, Indonesia, grant number 1827/UN6.3.1/LT/2020 (T.M).
Acknowledgments
We thank Joko Kusmoro, M.P. at Jatinangor Herbarium for identification of the plant material, Ahmad Darmawan and Sofa Fajriah at the Research Center for Chemistry, Indonesian Science Institute, for performing the NMR measurements, Kansy Haikal at the Center Laboratory of Universitas Padjadjaran for performing the HR-TOF-MS measurements.
Conflicts of Interest
The authors declare no conflict of interest.
References
- Kiang, A.K.; Tan, E.L.; Lim, F.Y.; Habaguchi, K.; Nakanishi, K.; Fachan, L.; Ourisson, G. Lansic acid, a bicyclic triterpene. Tetrahedron Lett. 1967, 37, 3571–3574. [Google Scholar] [CrossRef]
- Ghani, U. Chapter four—Terpenoids and steroids. In Alpha-Glucosidase Inhibitors, Clinically Promising Candidates for Anti-Diabetic Drug Discovery; Elsevier: Amsterdam, The Netherlands, 2020; pp. 101–117. [Google Scholar]
- Techavuthiporn, C. Langsat—Lansium domesticum. In Exotic Fruits Reference Guides; Rodrigues, S., de Brito, E., Silva, E., Eds.; Academic Press: London, UK, 2018; pp. 279–283. [Google Scholar]
- Dong, S.H.; Zhang, C.R.; Dong, L.; Wu, Y.; Yue, J.M. Onoceranoid-type triterpenoids from Lansium domesticum. J. Nat. Prod. 2011, 74, 1042–1048. [Google Scholar] [CrossRef] [PubMed]
- Mayanti, T.; Supratman, U.; Mukhtar, M.R.; Awang, K.; Ng, S.W. Kokosanolide from the seed of Lansium domesticum Corr. Acta Crystallogr. 2009, E65, o750. [Google Scholar]
- Nishizawa, M.; Nishide, H.; Hayashi, Y.; Kosela, S. The structure of lansioside A: A novel triterpene glycoside with amino-sugar from Lansium domesticum. Tetrahedron Lett. 1982, 23, 1349–1350. [Google Scholar] [CrossRef]
- Nishizawa, M.; Nishide, H.; Kosela, S.; Hayashi, Y. Structure of lansiosides: Biologically active new triterpene glycosides from Lansium domesticum. J. Org. Chem. 1983, 48, 4462–4466. [Google Scholar] [CrossRef]
- Tanaka, T.; Ishibashi, M.; Fujimoto, H.; Okuyama, E.; Koyano, T.; Kowiyhayakorn, T.; Hayashi, M.; Komiyama, K. New onoceranoid constituents from Lansium domesticum. J. Nat. Prod. 2002, 65, 1709–1711. [Google Scholar] [CrossRef] [PubMed]
- Habaguchi, K.; Watanabe, M.; Nakadaira, Y.; Nakanishi, K.; Kaing, A.K.; Lim, F.L. The full structures of lansic acid and its minor congener, an unsymmetric onoceradienedione. Tetrahedron Lett. 1986, 34, 3731–3734. [Google Scholar] [CrossRef]
- Zulfikar; Putri, N.K.; Fajriah, S.; Yusuf, M.; Maharani, R.; Al Anshori, J.; Supratman, U.; Mayanti, T. 3-Hydroxy-8,14-secogammacera-7,14-dien-21-one: A new onoceranoid triterpenes from Lansium domesticum Corr. cv kokossan. Molbank 2020, 2020, M1157. [Google Scholar] [CrossRef]
- Mayanti, T.; Sianturi, J.; Harneti, D.; Darwati; Supratman, U.; Rosli, M.M.; Fun, H.K. 9,19-Cyclolanost-24-en-3-one,21,23-epoxy-21,22-dihydroxy (21R, 22S, 23S) from the leaves of Lansium domesticum Corr cv Kokossan. Molbank 2015, 2015, M880. [Google Scholar] [CrossRef]
- Mayanti, T.; Tjokronegoro, R.; Supratman, U.; Mukhtar, M.R.; Awang, K.; Hadi, A.H.A. Antifeedant Triterpenoids from the Seeds and Bark of Lansium domesticum cv Kokossan (Meliaceae). Molecules 2011, 16, 2785–2795. [Google Scholar] [CrossRef] [PubMed]
- Fadhilah, K.; Wahyuona, S.; Astuti, P. A bioactive compound isolated from duku (Lansium domesticum Corr) fruit peels exhibits cytotoxicity against T47D cell line. F1000Research 2020, 9, 3. [Google Scholar] [CrossRef]
- Ragasa, C.Y.; Labrador, P.; Rideout, J.A. Antimicrobial terpenoid from Lansium domesticum. Philipp. Agric. Sci. 2006, 89, 101–105. [Google Scholar]
- Matsumoto, T.; Kitagawa, T.; Teo, S.; Anai, Y.; Ikeda, R.; Imahori, D.; Ahmad, H.S.; Watanabe, T. Structures and antimutagenic effects of onoceranoid-type triterpenoids from the leaves of Lansium domesticum. J. Nat. Prod. 2018, 81, 2187–2194. [Google Scholar] [CrossRef] [PubMed]
- Matsumoto, T.; Kitagawa, T.; Ohta, T.; Yoshida, T.; Imahori, D.; Teo, S.; Ahmad, H.S.; Watanabe, T. Structures of triterpenoids from the leaves of Lansium domesticum. J. Nat. Med. 2019, 73, 727–734. [Google Scholar] [CrossRef] [PubMed]
- Saewan, N.; Sutherland, J.D.; Chantrapromma, K. Antimalarial tetranortriterpenoids from the seed of Lansium domesticum Corr. Phytrochemistry 2006, 67, 2288–2293. [Google Scholar] [CrossRef] [PubMed]
Publisher’s Note: MDPI stays neutral with regard to jurisdictional claims in published maps and institutional affiliations. |
© 2021 by the authors. Licensee MDPI, Basel, Switzerland. This article is an open access article distributed under the terms and conditions of the Creative Commons Attribution (CC BY) license (https://creativecommons.org/licenses/by/4.0/).

