Next Article in Journal
3-Chloro-5-(3-n-hexylthien-2-yl)-4H-1,2,6-thiadiazin-4-one
Previous Article in Journal
5-(6-Hydroxy-6-methyl-5-oxoheptan-2-yl)-2-methyl Phenyl Acetate
 
 
Font Type:
Arial Georgia Verdana
Font Size:
Aa Aa Aa
Line Spacing:
Column Width:
Background:
Communication

Effective Synthesis of a Novel Tetrahydrofuran Containing Triterpenoid: 5′(Z)-Benzylidene-tetrahydrofurano[3,2-b]lup-20(29)-en-28-oate

by
Rinat Gubaidullin
1,*,
Darya Nedopekina
1,
Regina Evstifeeva
2 and
Yurij Prochukhan
2
1
Institute of Petrochemistry and Catalysis, Russian Academy of Sciences, 141 prosp. Oktyabrya, 450075 Ufa, Russia
2
Bashkir State University, 32 Zaki Validi Str., 450076 Ufa, Russia
*
Author to whom correspondence should be addressed.
Molbank 2019, 2019(1), M1042; https://doi.org/10.3390/M1042
Submission received: 4 December 2018 / Revised: 21 December 2018 / Accepted: 27 December 2018 / Published: 28 December 2018
(This article belongs to the Section Organic Synthesis and Biosynthesis)

Abstract

The title compound 5′(Z)-benzylidene-tetrahydrofurano[3,2-b]lup-20(29)-en-28-oate was synthesized with high chemo-, regio-, and stereoselectivity by 5-exo-dig cycloisomerization of methyl 2α-phenylpropynyl-3-oxolup-20(29)-en-28-oate with use of KN(SiMe3)2-DME. The novel betulinic acid derivative was fully characterized by conventional analytical methods and all proton and carbon signals have been completely assigned by 2D-NMR experiments.

Graphical Abstract

1. Introduction

The available plant metabolite, that is betulinic acid and its semi-synthetic derivatives, represent an important class of biologically active substances, which are in high demand in medicinal chemistry and pharmacological studies [1,2,3,4]. In the synthesis of numerous derivatives of betulinic acid, directed at enhancing its biological potential, particular emphasis is focused on the approaches aimed at constructing of various types of heterocyclic fragments at triterpenoid core [5]. The ketone carbonyl at C-3 of betulinic acid was utilized in syntheses of various fused heterocycles at the 2,3-position of the lupane skeleton including isoxazole, pyrazine, benzopyrazine, pyridine, indole, and pyrazole rings [5,6,7,8,9]. These triterpenoid derivatives modified with heterocyclic rings attached to the A-ring of the triterpene have shown antitumor, anti-inflammatory and leishmanicidal activities. In this group of heterocyclic ring-substituted triterpenoids, betulinic acid analogues containing furan or tetrahydrofuran rings are little-known compounds. At the same time, polysubstituted furans, tetrahydrofurans and their precursors, 2-alkylidenetetrahydrofurans, are present in numerous natural products or used as important synthetic building blocks in the synthesis of promising biologically active substances [10,11,12,13]. Recently, we developed an efficient method for the synthesis of 2-propargyl 3-oxo-triterpene acid derivatives [14]. The resulting triterpene compounds containing a 4-pentyn-1-one structural unit in ring A have been successfully used in the anionic 5-exo-dig cycloisomerization induced by a strong base, KN(SiMe3)2-DME [15]. The heterocyclization of these compounds also was performed in the presence of Au(I)+ phosphine complexes [16]. In the continuation of our studies, this article describes the preparation of new [3,2-b] tetrahydrofuran-fused lupane triterpenoid 6—That is, 5′(Z)-benzylidene-tetrahydrofurano [3,2-b]lup-20(29)-en-28-oate, by employing the 5-exo dig heterocyclization of accessible 2-phenylpropynyl derivative of betulinic acid.

2. Results

In the synthesis of the target triterpenoid 6, C-2 propargyl derivative of betulinic acid 5 was used as the starting compound, which was obtained in several stages from betulin by the method previously developed by our research group [14] (Scheme 1). The key stage of the scheme was α alkylation with propargyl bromide of potassium enoxytriethylborate generated from methylbetulonate 2 under the action of KN(SiMe3)2-Et3B. Stereoselective reduction of the keto group in the propynyl derivative of betulonic acid 3 using NaBH4 modified with CeCl3, produced methylbetulinate 4 in good yield [14] (Scheme 1).
The starting compound 4 was transformed into triterpenoid 5 by Sonogashira cross-coupling in the presence of PdCl2(PPh3)2, CuI and Et3N (Scheme 2). Triterpenoid 5 heterocyclization was carried out under the action of KN(SiMe3)2 in DME. The reaction proceeded at room temperature and in a short period of time yielded a single product, that is target triterpenoid 6, with a yield of 82% (1H- and 13C-NMR spectra). It is interesting to note that only 5-exo dig cyclization occurred and stereoisomerically pure compound (Z-5) was found. We did not detect pyran derivatives derived from 6-endo cyclization and stereoisomer (E-5) even in the trace amounts. Exocyclic enol ethers are known to easily undergo hydrolysis [16,17]. The triterpenoid 6 obtained by us showed protolytic stability during long-term storage (12 months) in an inert atmosphere at a temperature of ±5 °C. However, it was easily hydrolyzed to give phenylaceton-3β-hydroxylup-20(29)-en-28-oate 7 in chloroform-d within 6 h, producing a mixture of compounds 6 and 7 in 60:40 ratio (1H- and 13С-NMR). During the purification of triterpenoid 6 by the method of column chromatography on SiO2, an analytically pure sample of the compound was isolated in 32% yield along with its hydrolysis product, that is triterpenoid 7 in 51% yield.
The structure of the resulting compound was defined using one-dimensional (1H, 13C) and two-dimensional (COSY, NOESY, HSQC, HMBC) NMR spectroscopy.
The 13С-NMR spectrum of compound 6, exhibited no signals for the acetylene group and the 3-OH carbon atom, indicating that these functional groups in the initial compound 5 were involved in the intramolecular cyclization. Along with the characteristic signal of the quaternary carbon atom C-20 (150.6 ppm), a new signal of the quaternary carbon atom (DEPT, HSQC) was registered in the region of 151.3 ppm, which is related to the carbon atom C-5′. The signals of carbon atoms C-6′ and C-3 resonated in the range of 97.7 and 96.7 ppm. In the 1Н-NMR spectrum, along with the proton signals at C-29, a new singlet signal of the vinylidene proton H-6′ was present in the region of 5.27 ppm. Methylene protons H-4′ resonated in the region of 2.66 and 2.41 ppm. The obtained spectral data allowed us to conclude that the structure of compound 6 contains a trisubstituted double bond and a tetrahydrofuran ring. The stereochemistry of Z-5 triterpenoid was defined applying two-dimensional NMR correlation spectra. In the 1H-NOESY spectrum of compound Z-5, there were cross-peaks between the signals of protons H-4′, H-6′ and H-2.

3. Materials and Methods

The starting compounds and reagents were purchased from standard commercial suppliers and used without any further purification. Betulonic acid was obtained from betulin according to known procedures [18]. IR spectra were obtained with use of a Vertex 70v spectrometer (Bruker, Karlsruhe, Germany) (solutions in CHCl3). 1H- and 13C-NMR spectra were recorded on a Bruker Avance-500 instrument (500.13 (1H) and 125.78 MHz (13C)) or on a Bruker Avance-400 instrument (400.13 (1H) and 100.62 MHz (13C)) in CDCl3 with Me4Si as the internal standard. Mass spectra of new compounds were recorded on an LCMS-2010 EV (Shimadzu, Kyoto, Japan) spectrometer of the UfIC RAS Center for Collective Use “Chemistry”. Elemental analysis was carried out on a 1106 analyzer (Carlo Erba, Milan, Italy). TLC was carried out on Sorbfil plates (Sorbpolimer, Krasnodar, Russia) in hexane–EtOAc (from 10:1 to 2:1) or in CHCl3-MeOH (20:1); spots were visualized with anisaldehyde. Silica gel L (KSKG grade, 50–160 μm) was employed for column chromatography. Starting triterpenoid 4 was prepared as previously reported [15]. NMR spectra of all new compounds are in Supplementary Materials.

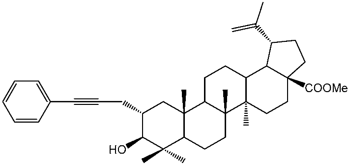
3.1. 2a-Phenylpropynyl-3β-hydroxylup-20(29)-en-28-oate (5)

Molbank 2019 m1042 i001
A mixture of triterpenoid 4 (102 mg, 0.2 mmol), iodobenzene (0.019 mL, 0.17 mmol) and Et3N (0.23 mL, 1.64 mmol) were dissolved in DMF (3.0 mL). Then CuI (3.8 mg, 0.02 mmol) and PdCl2(PPh3)2 (5.6 mg, 0.01 mmol) were added to the mixture simultaneously and the resulting mixture was stirred at room temperature for 1.5 h under an argon atmosphere. The completion of reaction was monitored by TLC analysis. The reaction was quenched by addition of water and extracted with CHCl3 (3 × 10 mL). The combined organic extracts were dried with MgSO4 and concentrated under reduced pressure. The residue was purified by column chromatography on SiO2 with hexane/EtOAc (15:1) as an eluent to afford pure product 5 as a white powder (99 mg, 0.17 mmol, 85%). Rf: 0.15 (10:1 hexan:EtOAc). IR (CHCl3): 3467 (OH), 1726 (C=O) cm−1. m.p. 122–125 °C. 1H-NMR (δ, ppm, CDCl3, 400 MHz): 7.43 (2H, m, arom), 7.30 (3H, m arom), 4.75, 4.61 (2H, both br s, H-29), 3.69 (3H, s, COOMe), 3.05 (1H, d, J = 10.4 Hz, H-3), 3.03 (1H, m, H-19), 2.65 (1H, dd, J = 16.8, 4.0 Hz, Ha-1′), 2.50 (1H, dd, J = 16.8, 6.4 Hz, Hb-1′), 2.29–0.86 (22H, m, CH, CH2 in pentacyclic sceleton and 2H, Ha-1, Hb-1), 1.7 (3H, s, H-30), 1.02, 0.99, 0.95, 0.90, 0.82 (3H each, all s, H-23–H-27), 0.77 (1H, d, J = 9.2 Hz, H-5).13C-NMR (δ, ppm, CDCl3, 100 MHz): 176.8 (C-28), 150.5 (C-20), 131.7, 128.2, 127.6, 124.0 (arom), 109.6 (C-29), 88.7 (C-2′), 82.2 (C-3′), 81.8 (C-3), 56.6 (C-5), 55.5 (C-17), 51.3 (COOMe), 50.5 (C-9), 49.5 (C-18), 47 (C-19), 45.2 (C-1), 42.5 (C-14), 40.7 (C-8), 39.2 (C-10), 38.3 (C-13), 37.5 (C-4), 36.9 (C-22), 35.5 (C-2), 34.3 (C-7), 32.2 (C-16), 30.6 (C-21), 29.7 (C-15), 28.4 (C-24), 25.5 (C-12), 23.5 (C-1′), 20.9 (C-11), 19.4 (C-30), 18.3 (C-6), 16.9 (C-26), 16.3 (C-23), 15.9 (C-25), 14.8 (C-27). Anal. Calcd for C40H56O3: C, 82.14; H, 9.65. Found: C, 81.99; H, 9.67. MS (APCI): m/z [M + H]+, calcd for C40H56O3: 585.43; found: 585.5.

3.2. 5′(Z)-Benzylidene-tetrahydrofuran[3,2-b]lup-20(29)-en-28-oate (6)

Molbank 2019 m1042 i002
A 1 M solution of KN(SiMe3)2 (0.26 mL, 0.26 mmol) in THF was added to a solution of triterpenoid 5 (117 mg, 0.2 mmol) in DME (2.8 mL). The reaction mixture was stirred at room temperature under an argon atmosphere. The completion of reaction was monitored by TLC analysis. After 30 min reaction mixture was neutralized with saturated aqueous solution of NH4Cl (aq). The product was extracted with EtOAc (3 × 10 mL). The combined extracts were dried with MgSO4 and concentrated. The residue was purified by column chromatography on SiO2 with hexane/EtOAc (30:1) as an eluent to give the appropriate compound 6 as a white powder (37 mg, 0.064 mmol, 32%) and 7 as a white powder (61 mg, 0.10 mmol, 51%). Rf: 0.53 (10:1 hexan:EtOAc). IR (CHCl3): 1725 (C=O), 1674 (C=C) cm−1. m.p. 140–143 °C. 1H-NMR (δ, ppm, CDCl3, 400 MHz): 7.57 (1H, d, J = 7.6 Hz, arom), 7.28 (3H, m, arom), 7.09 (1H, t, J = 7.6 Hz, arom), 5.27 (1H, s, H-6′), 4.77, 4.64 (2H, both br s, H-29), 3.7 (3H, s, COOMe), 3.41 (1H, d, J = 10.8 Hz, H-3), 3.02 (1H, m, H-19), 2.66 (1H, dd, J = 14.8, 6.4 Hz, Ha-4′), 2.41 (1H, t, J = 12.8 Hz, Hb-4′), 2.29–0.86 (22H, m, CH, CH2 in pentacyclic sceleton and 2H, Ha-1, Hb-1), 2.07 (1H, m, H-2), 1.72 (3H, s, H-30), 1.18, 1.01, 0.97, 0.94, 0.93 (3H each, all s, H-23–H-27).13C-NMR (δ, ppm, CDCl3, 100 MHz): 176.6 (C-28), 157.3 (C-5′), 150.5 (C-20), 137.2, 128.1, 127.2, 124.4 (arom), 109.6 (C-29), 97.7 (C-6′), 95.6 (C-3), 56.5 (C-17), 56 (C-5), 51.3 (COOMe), 50.6 (C-9), 49.5 (C-18), 47 (C-19), 42.5 (C-1), 42.5 (C-14), 41.1 (C-8), 39.6 (C-10), 38.2 (C-13), 37.9 (C-4′), 37.5 (C-4), 36.9 (C-22), 34.5 (C-7), 34.1 (C-2), 32.2 (C-16), 30.6 (C-21), 29.7 (C-15), 28.6 (C-23), 25.5 (C-12), 21.0 (C-11), 19.4 (C-30), 17.8 (C-6), 17.3 (C-26), 16.2 (C-25), 15.7 (C-24), 14.7 (C-27). Anal. Calcd for C40H56O3: C, 82.14; H, 9.65. Found: C, 81.94; H, 9.67. MS (APCI): m/z [M + H]+, calcd for C40H56O3: 585.43; found: 585.5.

3.3. 2a-Phenylaceton-3β-hydroxylup-20(29)en-28-oate (7)

Molbank 2019 m1042 i003
Rf: 0.11 (10:1 hexan:EtOAc). IR (CHCl3): 3468 (OH), 1725 (C=O) cm–1. m.p. 97–98 °C. 1H-NMR (δ, ppm, CDCl3, 400 MHz): 7.35–7.2 (5H, m, arom), 4.75, 4.62 (2H, both brs, H-29), 3.73 (2H, s, H-3′), 3.68 (3H, s, COOMe), 3.01 (1H, m, H-19), 2.75 (2H, m, H-3, H-1′), 2.27–0.82 (22H, m, CH, CH2 in pentacyclic skeleton and 3H, Hb-1′, Ha-1), 1.72 (3H, s, H-30), 0.96, 0.95, 0.91, 0.85, 0.77 (3H each, alls, H-23–H-27), 0.68 (1H, d, J = 9.2 Hz, Ha-5), 0.58 (1H, m, Hb-1). 13C-NMR (δ, ppm, CDCl3, 100 MHz): 209.9 (C-2′), 176.6 (C-28), 150.5 (C-20), 134.2, 129.5, 128.6, 126.9 (arom), 109.6 (C-29), 83.8 (C-3), 56.5 (C-17), 55.6 (C-5), 51.3 (COOMe), 50.6 (C-9), 50.5 (C-3′), 49.5 (C-18), 47.4 (C-1′), 46.9 (C-19), 46.4 (C-1), 42.4 (C-14), 40.7 (C-8), 39.4 (C-10), 38.3 (C-13), 37.5 (C-4), 36.9 (C-22), 34.3 (C-7), 32.3 (C-16), 32.2 (C-2), 30.6 (C-21), 29.6 (C-15), 28.2 (C-24), 25.5 (C-12), 20.9 (C-11), 19.4 (C-30), 18.5 (C-6), 16.7 (C-26), 15.9 (C-23), 15.9 (C-25), 14.7 (C-27). Anal. Calcd for C40H56O3: C, 79.69; H, 9.70. Found: C, 79.45; H, 9.68. MS (APCI): m/z [M − H], calcd for C40H58O4: 601.43; found: 601.5.

4. Conclusions

Thus, we have presented an economical and chemoselective scheme for production of new 2-alkylidenetetrahydrofuran-fused pentacyclic triterpenoid using a base promoted 5-exo-dig cycloisomerization of 2-alkynyl derivative of betulinic acid.

Supplementary Materials

The supplementary materials are available online.

Author Contributions

R.E. did the synthesis; D.N. analyzed all data; R.G. prepared the manuscript; Y.P. edited and revised the manuscript.

Funding

This research was funded by the Russian Foundation for Basic Research (project no. 16-33-60008).

Conflicts of Interest

The authors declare no conflict of interest.

References

  1. Cichewicz, R.H.; Kouzi, S.A. Chemistry, biological activity, and chemotherapeutic potential of betulinic acid for the prevention and treatment of cancer and HIV infection. Med. Res. Rev. 2004, 24, 90–114. [Google Scholar] [CrossRef] [PubMed]
  2. Sarek, J.; Kvasnica, M.; Vlk, M.; Urban, M.; Dzubak, P.; Hajduch, M. The Potential of Triterpenoids in the Treatment of Melanoma. In Research on Melanoma—A Glimpse into Current Directions and Future Trends; Kvasnica, M., Ed.; InTech: Rijeka, Croatia, 2011; Volume 7, pp. 125–158. [Google Scholar]
  3. Mukherjee, R.; Kumar, V.; Srivastava, S.K.; Agarwal, S.K.; Burman, A.C. Betulinic acid derivatives as anticancer agents: Structure activity relationship. Anticancer Agents: Med. Chem. 2006, 6, 271–279. [Google Scholar] [CrossRef]
  4. Csuk, R. Betulinic acid and its derivatives: A patent review (2008–2013). Expert Opin. Ther. Pat. 2014, 24, 913–923. [Google Scholar] [CrossRef] [PubMed]
  5. Kvasnica, M.; Urban, M.; Dickinson, N.J.; Sarek, J. Pentacyclic triterpenoids with nitrogen- and sulfur-containing heterocycles: Synthesis and medicinal significance. Nat. Prod. Rep. 2015, 32, 1303–1330. [Google Scholar] [CrossRef] [PubMed]
  6. Laavola, M.; Haavikko, R.; Hämäläinen, M.; Leppänen, T.; Nieminen, R.; Alakurtti, S.; Moreira, V.M.; Yli-Kauhaluoma, J.; Moilanen, E. Betulin Derivatives Effectively Suppress Inflammation in Vitro and in Vivo. J. Nat. Prod. 2016, 79, 274–280. [Google Scholar] [CrossRef] [PubMed]
  7. Haavikko, R.; Nasereddin, A.; Sacerdoti-Sierra, N.; Kopelyanskiy, D.; Alakurtti, S.; Tikka, M.; Jaffe, C.L.; Yli-Kauhaluoma, J. Heterocycle-fused lupane triterpenoids inhibit Leishmania donovani amastigotes. Medchemcomm 2014, 5, 445–451. [Google Scholar] [CrossRef]
  8. Kumar, V.; Rani, N.; Aggarwal, P.; Sanna, V.K.; Singh, A.T.; Jaggi, M.; Joshi, N.; Sharma, P.K.; Irchhaiya, R.; Burman, A.C. Synthesis and cytotoxic activity of heterocyclic ring-substituted betulinic acid derivatives. Bioorganic Med. Chem. Lett. 2008, 18, 5058–5062. [Google Scholar] [CrossRef] [PubMed]
  9. Urban, M.; Sarek, J.; Kvasnica, M.; Tislerova, I.; Hajduch, M. Triterpenoid Pyrazines and Benzopyrazines With Cytotoxic Activity. J. Nat. Prod. 2007, 70, 526–532. [Google Scholar] [CrossRef] [PubMed]
  10. Bellur, E.; Freifeld, I.; Böttcher, D.; Bornscheuer, U.T.; Langer, P. Synthesis of (tetrahydrofuran-2-yl)acetates based on a ′cyclization/hydrogenation/enzymatic kinetic resolution′ strategy. Tetrahedron 2006, 62, 7132–7139. [Google Scholar] [CrossRef]
  11. Bellur, E.; Langer, P. Synthesis of Functionalized 2-Alkylidene-tetrahydrofurans Based on a [3 + 2] Cyclization/Bromination/Palladium(0) Cross-Coupling Strategy. Eur. J. Org. Chem. 2005, 2005, 4815–4828. [Google Scholar] [CrossRef]
  12. Zeiss, H.J. Recent advances in the stereoselective synthesis of l-phosphinothricin. Pestic. Sci. 1994, 41, 269–277. [Google Scholar] [CrossRef]
  13. Lorente, A.; Lamariano-Merketegi, J.; Albericio, F.; Álvarez, M. Tetrahydrofuran-Containing Macrolides: A Fascinating Gift from the Deep Sea. Chem. Rev. 2013, 113, 4567–4610. [Google Scholar] [CrossRef] [PubMed]
  14. Gubaidullin, R.R.; Khalitova, R.R.; Galimshina, Z.R.; Spivak, A.Y. Synthesis of novel [3,2-b] furan-fused pentacyclic triterpenoids via gold—Catalyzed intramolecular heterocyclization of 2-alkynyl-3-oxotriterpene acids. Tetrahedron 2018. [Google Scholar] [CrossRef]
  15. Spivak, A.Y.; Gubaidullin, R.R.; Galimshina, Z.R.; Nedopekina, D.A.; Odinokov, V.N. Effective synthesis of novel C(2)-propargyl derivatives of betulinic and ursolic acids and their conjugation with β-d-glucopyranoside azides via click chemistry. Tetrahedron 2016, 72. [Google Scholar] [CrossRef]
  16. Luo, F.T.; Schreuder, I.; Wang, R.T. Intramolecular oxypalladation and cross-coupling of acetylenic alkoxides. J. Org. Chem. 1992, 57, 2213–2215. [Google Scholar] [CrossRef]
  17. Riediker, M.; Schwartz, J. Mercury(II)-induced cyclization of acetylenic alcohols: A new route to enol ethers and substituted enol ethers. J. Am. Chem. Soc. 1982, 104, 5842–5844. [Google Scholar] [CrossRef]
  18. Kim, D.S.H.L.; Chen, Z.; Nguyen, v.T.; Pezzuto, J.M.; Qiu, S.; Lu, Z.Z. A Concise Semi-Synthetic Approach to Betulinic Acid from Betulin. Synth. Commun. 1997, 27, 1607–1612. [Google Scholar] [CrossRef]
Scheme 1. Preparation of C-2 propargylbetulinic acid 4.
Scheme 1. Preparation of C-2 propargylbetulinic acid 4.
Molbank 2019 m1042 sch001
Scheme 2. Synthesis of [3,2-b]tetrahydrofuran-fused betulinic acid.
Scheme 2. Synthesis of [3,2-b]tetrahydrofuran-fused betulinic acid.
Molbank 2019 m1042 sch002

Share and Cite

MDPI and ACS Style

Gubaidullin, R.; Nedopekina, D.; Evstifeeva, R.; Prochukhan, Y. Effective Synthesis of a Novel Tetrahydrofuran Containing Triterpenoid: 5′(Z)-Benzylidene-tetrahydrofurano[3,2-b]lup-20(29)-en-28-oate. Molbank 2019, 2019, M1042. https://doi.org/10.3390/M1042

AMA Style

Gubaidullin R, Nedopekina D, Evstifeeva R, Prochukhan Y. Effective Synthesis of a Novel Tetrahydrofuran Containing Triterpenoid: 5′(Z)-Benzylidene-tetrahydrofurano[3,2-b]lup-20(29)-en-28-oate. Molbank. 2019; 2019(1):M1042. https://doi.org/10.3390/M1042

Chicago/Turabian Style

Gubaidullin, Rinat, Darya Nedopekina, Regina Evstifeeva, and Yurij Prochukhan. 2019. "Effective Synthesis of a Novel Tetrahydrofuran Containing Triterpenoid: 5′(Z)-Benzylidene-tetrahydrofurano[3,2-b]lup-20(29)-en-28-oate" Molbank 2019, no. 1: M1042. https://doi.org/10.3390/M1042

APA Style

Gubaidullin, R., Nedopekina, D., Evstifeeva, R., & Prochukhan, Y. (2019). Effective Synthesis of a Novel Tetrahydrofuran Containing Triterpenoid: 5′(Z)-Benzylidene-tetrahydrofurano[3,2-b]lup-20(29)-en-28-oate. Molbank, 2019(1), M1042. https://doi.org/10.3390/M1042

Note that from the first issue of 2016, this journal uses article numbers instead of page numbers. See further details here.

Article Metrics

Back to TopTop