Effect of Claroideoglomus etunicatum and Indole-3-acetic Acid on Growth and Biochemical Properties of Vetiver Grass (Vetiveria zizanioides) Under Salinity Stress
Abstract
1. Introduction
2. Results
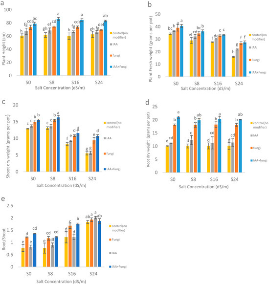
2.1. Effect of NaCl, IAA and C. etunicatum on Morphological Properties and Biomass Production of Vetiver
2.2. Effect of NaCl, IAA, and C. etunicatum on the Nutritional Elements of Vetiver
2.3. Effect of NaCl, IAA, and C. etunicatum on the Antioxidative Responses of Vetiver
3. Discussion
4. Materials and Methods
4.1. Soil Collection and Experimental Setup
4.2. C. etunicatum Inoculum Preparation
4.3. Nutrient Uptake Measurement
4.4. Measurement of Proline and Antioxidant Enzyme Activities
4.4.1. Measurement of Proline
4.4.2. Assessment of Antioxidant Enzyme Activity (Superoxide Dismutase (SOD), Catalase (CAT), and Peroxidase (POD)) in Plants
Measurement of Superoxide Dismutase (SOD) Activity
Measurement of Catalase (CAT) Activity
Measurement of Peroxidase Enzyme Activity (POD)
4.5. Statistical Analyses
5. Conclusions
Author Contributions
Funding
Institutional Review Board Statement
Informed Consent Statement
Data Availability Statement
Conflicts of Interest
Appendix A
| S | M | S × M | |
|---|---|---|---|
| PH (cm) | ns | ** | ns |
| FW (g) | ** | ** | ** |
| R/Sh | ** | ** | ** |
| DW (g) | ** | ** | ** |
| RDW (g) | ns | ** | ns |
| EC (ds/m) | ** | ns | ns |
| ShNa (mg pot−1) | ** | ** | ** |
| RNa (mg pot−1) | ** | ** | ** |
| SNa (mg/kg) | ** | ** | ** |
| ShK (mg pot−1) | ** | ** | ** |
| RK (mg pot−1) | ** | ** | ns |
| SK (mg/kg) | ** | ** | ** |
| ShP (mg pot−1) | ** | ** | ns |
| SP (mg/kg) | ** | ** | ** |
| ShFe (mg/kg) | ** | ** | ns |
| ShZn (mg/kg) | ** | ** | ** |
| ShCu (mg/kg) | ** | ** | ns |
| ShMn (mg/kg) | ** | ** | ns |
| RZn (mg/kg) | ** | ** | ** |
| RCu (mg/kg) | ** | ** | ** |
| RMn (mg/kg) | ** | ** | ** |
| Pr (µmol/g) | ** | ** | ** |
| CAT (U/mg) | ** | ** | ** |
| DIS (U/mg) | ** | ns | ns |
| POD (U/mg) | ** | ** | ** |
References
- Mardukhi, B.; Rejali, F.; Daei, G.; Ardakani, M.R.; Malakouti, M.J.; Miransari, M. Arbuscular mycorrhizas enhance nutrient uptake in different wheat genotypes at high salinity levels under field and greenhouse conditions. Comptes Rendus. Biol. 2011, 334, 564–571. [Google Scholar]
- Dehghani, A.; Alinia, M. Effects of salt stress and mycorrhiza fungi on morpho-physiological characteristics of sweet corn. Isfahan Univ. Technol.-J. Crop Prod. Process. 2017, 7, 101–113. [Google Scholar]
- Erice, G.; Cano, C.; Bago, A.; Ruíz-Lozano, J.M.; Aroca, R. Contrasting Regulation of Phaseolus vulgaris Root Hydraulic Properties Under Drought and Saline Conditions by Three Arbuscular Mycorrhizal Fungal Species From Soils with Divergent Moisture Regime. J. Soil Sci. Plant Nutr. 2024, 24, 2934–2945. [Google Scholar]
- Solomon, W.; Mutum, L.; Janda, T.; Molnar, Z. Microalgae–bacteria interaction: A catalyst to improve maize (Zea mays L.) growth and soil fertility. Cereal Res. Commun. 2024, 1–13. [Google Scholar] [CrossRef]
- Boyno, G.; Rezaee Danesh, Y.; Demir, S.; Teniz, N.; Mulet, J.M.; Porcel, R. The Complex Interplay between Arbuscular Mycorrhizal Fungi and Strigolactone: Mechanisms, Sinergies, Applications and Future Directions. Int. J. Mol. Sci. 2023, 24, 16774. [Google Scholar] [CrossRef]
- Dashtebani, F.; Hajiboland, R.; Aliasgharzad, N. Characterization of salt-tolerance mechanisms in mycorrhizal (Claroideoglomus etunicatum) halophytic grass, Puccinellia distans. Acta Physiol. Plant. 2014, 36, 1713–1726. [Google Scholar]
- Naseer, M.A.; Zhang, Z.Q.; Mukhtar, A.; Asad, M.S.; Wu, H.Y.; Yang, H.; Zhou, X.B. Strigolactones: A promising tool for nutrient acquisition through arbuscular mycorrhizal fungi symbiosis and abiotic stress tolerance. Plant Physiol. Biochem. 2024, 215, 109057. [Google Scholar]
- Han, S.; Cheng, Y.; Wu, G.; He, X.; Zhao, G. Enhancing salt tolerance in poplar seedlings through arbuscular mycorrhizal fungi symbiosis. Plants 2024, 13, 233. [Google Scholar] [CrossRef]
- Tavares, D.S.; Sant’Anna-Santos, B.F.; Gomes, M.P. Unleashing the Power of Fungi: Utilizing the Arbuscular Mycorrhizal Fungi Rhizophagus clarus to Mitigate Salinity Stress and Boost Cowpea Bean Productivity for Food Security. Stresses 2024, 4, 393–410. [Google Scholar] [CrossRef]
- Kakabouki, I.; Stavropoulos, P.; Roussis, I.; Mavroeidis, A.; Bilalis, D. Contribution of arbuscular mycorrhizal fungi (AMF) in improving the growth and yield performances of flax (Linum usitatissimum L.) to salinity stress. Agronomy 2023, 13, 2416. [Google Scholar] [CrossRef]
- Razvi, S.M.; Singh, N.; Mushtaq, A.; Shahnawaz, D.; Hussain, S. Arbuscular mycorrhizal fungi for salinity stress: Anti-stress role and mechanisms. Pedosphere 2023, 33, 212–224. [Google Scholar]
- Porcel, R.; Aroca, R.; Ruiz-Lozano, J.M. Salinity stress alleviation using arbuscular mycorrhizal fungi. A review. Agron. Sustain. Dev. 2012, 32, 181–200. [Google Scholar]
- Pan, S.; Wang, Y.; Qiu, Y.; Chen, D.; Zhang, L.; Ye, C.; Guo, H.; Zhu, W.; Chen, A.; Xu, G. Nitrogen-induced acidification, not N-nutrient, dominates suppressive N effects on arbuscular mycorrhizal fungi. Glob. Change Biol. 2020, 26, 6568–6580. [Google Scholar]
- Xu, W.; Liu, Q.; Wang, B.; Zhang, N.; Qiu, R.; Yuan, Y.; Yang, M.; Wang, F.; Mei, L.; Cui, G. Arbuscular mycorrhizal fungi communities and promoting the growth of alfalfa in saline ecosystems of northern China. Front. Plant Sci. 2024, 15, 1438771. [Google Scholar]
- Zhou, Y.; Liu, Y.; Wang, Y.; Yang, C. Claroideoglomus etunicatum improved the growth and saline-alkaline tolerance of Potentilla anserina by altering physiological and biochemical properties. Biocell 2022, 46, 1967. [Google Scholar] [CrossRef]
- Kang, S.-M.; Hoque, M.I.U.; Woo, J.-I.; Lee, I.-J. Mitigation of salinity stress on soybean seedlings using indole acetic acid-producing Acinetobacter pittii YNA40. Agriculture 2023, 13, 1021. [Google Scholar] [CrossRef]
- Ma, C.; Yuan, S.; Xie, B.; Li, Q.; Wang, Q.; Shao, M. IAA plays an important role in alkaline stress tolerance by modulating root development and ROS detoxifying systems in rice plants. Int. J. Mol. Sci. 2022, 23, 14817. [Google Scholar] [CrossRef]
- Mosallanejad, N.; Zarei, M.; Ghasemi-Fasaei, R.; Shahriari, A.G.; Mohkami, A.; Majláth, I.; Vetukuri, R.R. Mitigation of Salinity Stress on Vetiver Grass (Vetiveria zizanioides) through Application of Micrococcus yunnanensis and Indole-3-Acetic Acid. Agronomy 2024, 14, 1952. [Google Scholar] [CrossRef]
- Zhang, A.; Yang, X.; Lu, J.; Song, F.; Sun, J.; Wang, C.; Lian, J.; Zhao, L.; Zhao, B. OsIAA20, an Aux/IAA protein, mediates abiotic stress tolerance in rice through an ABA pathway. Plant Sci. 2021, 308, 110903. [Google Scholar]
- Shiraz, M.; Sami, F.; Siddiqui, H.; Yusuf, M.; Hayat, S. Interaction of auxin and nitric oxide improved photosynthetic efficiency and antioxidant system of Brassica juncea plants under salt stress. J. Plant Growth Regul. 2021, 40, 2379–2389. [Google Scholar]
- Mir, A.R.; Siddiqui, H.; Alam, P.; Hayat, S. Foliar spray of Auxin/IAA modulates photosynthesis, elemental composition, ROS localization and antioxidant machinery to promote growth of Brassica juncea. Physiol. Mol. Biol. Plants 2020, 26, 2503–2520. [Google Scholar] [PubMed]
- Saini, S.; Kaur, N.; Marothia, D.; Singh, B.; Singh, V.; Gantet, P.; Pati, P.K. Morphological analysis, protein profiling and expression analysis of auxin homeostasis genes of roots of two contrasting cultivars of rice provide inputs on mechanisms involved in rice adaptation towards salinity stress. Plants 2021, 10, 1544. [Google Scholar] [CrossRef]
- Del Giudice, L.; Massardo, D.R.; Pontieri, P.; Bertea, C.M.; Mombello, D.; Carata, E.; Tredici, S.M.; Talà, A.; Mucciarelli, M.; Groudeva, V.I. The microbial community of Vetiver root and its involvement into essential oil biogenesis. Environ. Microbiol. 2008, 10, 2824–2841. [Google Scholar]
- Dorafshan, M.M.; Abedi-Koupai, J.; Eslamian, S.; Amiri, M.J. Vetiver grass (Chrysopogon zizanoides L.): A hyper-accumulator crop for bioremediation of unconventional water. Sustainability 2023, 15, 3529. [Google Scholar] [CrossRef]
- Daraz, U.; Li, Y.; Sun, Q.; Zhang, M.; Ahmad, I. Inoculation of Bacillus spp. modulate the soil bacterial communities and available nutrients in the rhizosphere of vetiver plant irrigated with acid mine drainage. Chemosphere 2021, 263, 128345. [Google Scholar]
- Saleem, S.; Iqbal, A.; Ahmed, F.; Ahmad, M. Phytobeneficial and salt stress mitigating efficacy of IAA producing salt tolerant strains in Gossypium hirsutum. Saudi J. Biol. Sci. 2021, 28, 5317–5324. [Google Scholar]
- Munir, N.; Hasnain, M.; Roessner, U.; Abideen, Z. Strategies in improving plant salinity resistance and use of salinity resistant plants for economic sustainability. Crit. Rev. Environ. Sci. Technol. 2022, 52, 2150–2196. [Google Scholar] [CrossRef]
- Rahman, M.M.; Mostofa, M.G.; Keya, S.S.; Siddiqui, M.N.; Ansary, M.M.U.; Das, A.K.; Rahman, M.A.; Tran, L.S.-P. Adaptive mechanisms of halophytes and their potential in improving salinity tolerance in plants. Int. J. Mol. Sci. 2021, 22, 10733. [Google Scholar] [CrossRef]
- Kaya, C.; Ashraf, M.; Dikilitas, M.; Tuna, A.L. Alleviation of salt stress-induced adverse effects on maize plants by exogenous application of indoleacetic acid (IAA) and inorganic nutrients-A field trial. Aust. J. Crop Sci. 2013, 7, 249–254. [Google Scholar]
- Abdel Latef, A.A.H.; Tahjib-Ul-Arif, M.; Rhaman, M.S. Exogenous auxin-mediated salt stress alleviation in faba bean (Vicia faba L.). Agronomy 2021, 11, 547. [Google Scholar] [CrossRef]
- Liu, J.; Carriquí, M.; Xiong, D.; Kang, S. Influence of IAA and ABA on maize stem vessel diameter and stress resistance in variable environments. Physiol. Plant. 2024, 176, e14443. [Google Scholar] [CrossRef] [PubMed]
- Evelin, H.; Devi, T.S.; Gupta, S.; Kapoor, R. Mitigation of salinity stress in plants by arbuscular mycorrhizal symbiosis: Current understanding and new challenges. Front. Plant Sci. 2019, 10, 470. [Google Scholar] [CrossRef] [PubMed]
- Masrahi, A.S.; Alasmari, A.; Shahin, M.G.; Qumsani, A.T.; Oraby, H.F.; Awad-Allah, M.M. Role of arbuscular mycorrhizal fungi and phosphate solubilizing bacteria in improving yield, yield components, and nutrients uptake of barley under salinity soil. Agriculture 2023, 13, 537. [Google Scholar] [CrossRef]
- Abdel-Fattah, G.M.; Asrar, A.-W.A. Arbuscular mycorrhizal fungal application to improve growth and tolerance of wheat (Triticum aestivum L.) plants grown in saline soil. Acta Physiol. Plant. 2012, 34, 267–277. [Google Scholar]
- Chen, W.; Niu, T.; Lian, W.; Ye, T.; Sun, Q.; Zhang, J. Involvement of endogenous IAA and ABA in the regulation of arbuscular mycorrhizal fungus on rooting of tea plant (Camellia sinensis L.) cuttings. BMC Plant Biol. 2024, 24, 1266. [Google Scholar]
- Majid, A.; Mohsen, S.; Mandana, A.; Saeid, J.-H.; Ezatollah, E.; Fariborz, S. The effects of different levels of salinity and indole-3-acetic acid (IAA) on early growth and germination of wheat seedling. J. Stress Physiol. Biochem. 2013, 9, 329–338. [Google Scholar]
- Liu, Y.; Shi, Z.; Yao, L.; Yue, H.; Li, H.; Li, C. Effect of IAA produced by Klebsiella oxytoca Rs-5 on cotton growth under salt stress. J. Gen. Appl. Microbiol. 2013, 59, 59–65. [Google Scholar] [PubMed]
- Gondim, F.A.; Gomes-Filho, E.; Costa, J.H.; Alencar, N.L.M.; Prisco, J.T. Catalase plays a key role in salt stress acclimation induced by hydrogen peroxide pretreatment in maize. Plant Physiol. Biochem. 2012, 56, 62–71. [Google Scholar]
- Chaudhry, U.K.; Gökçe, Z.N.Ö.; Gökçe, A.F. Drought and salt stress effects on biochemical changes and gene expression of photosystem II and catalase genes in selected onion cultivars. Biologia 2021, 76, 3107–3121. [Google Scholar]
- Sofo, A.; Scopa, A.; Nuzzaci, M.; Vitti, A. Ascorbate peroxidase and catalase activities and their genetic regulation in plants subjected to drought and salinity stresses. Int. J. Mol. Sci. 2015, 16, 13561–13578. [Google Scholar] [CrossRef]
- Mane, A.; Karadge, B.; Samant, J. Salinity Induced Changes in Catalase, Peroxidase and Acid Phosphatase in Four Grass Species. Nat. Environ. Pollut. Technol. 2010, 9, 781–786. [Google Scholar]
- Omar, M.; Osman, M.; Kasim, W.; Abd El-Daim, I. Improvement of salt tolerance mechanisms of barley cultivated under salt stress using Azospirillum brasilense. In Salinity and Water Stress: Improving Crop Efficiency; Springer: Dordrecht, The Netherlands, 2009; pp. 133–147. [Google Scholar]
- Han, H.; Lee, K. Physiological responses of soybean-inoculation of Bradyrhizobium japonicum with PGPR in saline soil conditions. Res. J. Agric. Biol. Sci. 2005, 1, 216–221. [Google Scholar]
- Arora, A.; Sairam, R.; Srivastava, G. Oxidative stress and antioxidative system in plants. Curr. Sci. 2002, 82, 1227–1238. [Google Scholar]
- Thakur, K.; Garg, N. Oxidative Stress and Antioxidant Enzymes in Cereals Under Abiotic Stress. In Sustainable Remedies for Abiotic Stress in Cereals; Springer: Berlin/Heidelberg, Germany, 2022; pp. 51–82. [Google Scholar]
- Chandra, D.; Srivastava, R.; Sharma, A. Influence of IAA and ACC deaminase producing fluorescent pseudomonads in alleviating drought stress in wheat (Triticum aestivum). Agric. Res. 2018, 7, 290–299. [Google Scholar]
- Al-Turki, A.; Murali, M.; Omar, A.F.; Rehan, M.; Sayyed, R. Recent advances in PGPR-mediated resilience toward interactive effects of drought and salt stress in plants. Front. Microbiol. 2023, 14, 1214845. [Google Scholar]
- Bates, L.S.; Waldren, R.; Teare, I. Rapid determination of free proline for water-stress studies. Plant Soil 1973, 39, 205–207. [Google Scholar]
- Ozden, M.; Demirel, U.; Kahraman, A. Effects of proline on antioxidant system in leaves of grapevine (Vitis vinifera L.) exposed to oxidative stress by H2O2. Sci. Hortic. 2009, 119, 163–168. [Google Scholar]
- Giannopolitis, C.N.; Ries, S.K. Superoxide dismutases: I. Occurrence in higher plants. Plant Physiol. 1977, 59, 309–314. [Google Scholar]

| Treatment | Shoot Na Content (mg pot−1) | Root Na Content (mg pot−1) | Soil Na Concentration (mg pot−1) | ||
|---|---|---|---|---|---|
| Fungi | IAA | EC | |||
| No inoculation fungi | Inoculation IAA | 0 | 18.31 ± 0.25 gh | 19.64 ± 5.45 ij | 17.48 ± 0.41 l |
| 8 | 21.54 ± 7.37 efg | 24.15 ± 20.81 hi | 189.9 ± 0.41 i | ||
| 16 | 26.39 ± 18.66 d | 28.41 ± 2.17 gh | 571.9 ± 0.37 f | ||
| 24 | 32.12 ± 25.15 c | 35.23 ± 58.62 f | 853.8 ± 0.59 b | ||
| No inoculation IAA | 0 | 17.31 ± 0.33 h | 17.52 ± 10.57 j | 18.87 ± 0.44 k | |
| 8 | 20.68 ± 33.10 fgh | 18.90 ± 25.93 j | 196.0 ± 0.30 h | ||
| 16 | 23.47 ± 8.31 def | 24.97 ± 49.46 h | 574.3 ± 1.02 e | ||
| 24 | 32.35 ± 48.50 c | 28.93 ± 15.21 gh | 861.4 ± 1.35 a | ||
| Inoculation fungi | Inoculation IAA | 0 | 20.46 ± 0.47 fgh | 40.74 ± 5.29 e | 16.58 ± 0.18 l |
| 8 | 25.38 ± 43.80 d | 40.03 ± 57.75 e | 185.3 ± 0.24 j | ||
| 16 | 32.98 ± 21.68 c | 51.44 ± 7.93 c | 569.4 ± 0.45 d | ||
| 24 | 61.94 ± 2.95 a | 68.03 ± 14.69 a | 848.2 ± 1.49 c | ||
| No inoculation IAA | 0 | 19.81 ± 0.96 gh | 33.14 ± 17.68 fg | 17.47 ± 0.22 l | |
| 8 | 24.11 ± 17.02 de | 35.37 ± 2.64 f | 190.1 ± 0.18 i | ||
| 16 | 33.01 ± 3.99 c | 46.17 ± 2.50 d | 572.9 ± 0.11 f | ||
| 24 | 54.74 ± 38.24 b | 59.89 ± 7.57 b | 851.9 ± 0.17 c |
| Treatment | Shoot K Uptake (mg pot−1) | Root K Uptake (mg pot−1) | Soil K Concentration (mg/kg) | ||
|---|---|---|---|---|---|
| Fungi | IAA | EC | |||
| No inoculation fungi | Inoculation IAA | 0 | 211.0 ± 0.26 c | 48.19 ± 0.10 gh | 5.26 ± 0.82 j |
| 8 | 210.0 ± 0.24 c | 47.36 ± 0.26 gh | 6.16 ± 0.65 hi | ||
| 16 | 121.5 ± 0.28 ef | 40.05 ± 0.21 ij | 6.50 ± 0.76 gh | ||
| 24 | 68.86 ± 0.13 h | 32.13 ± 0.11 kl | 8.73 ± 0.23 c | ||
| No inoculation IAA | 0 | 199.2 ± 0.32 c | 43.08 ± 0.18 hi | 4.60 ± 0.80 k | |
| 8 | 200.6 ± 0.19 c | 38.70 ± 0.30 ijk | 5.66 ± 0.70 jk | ||
| 16 | 109.2 ± 0.24 g | 35.40 ± 0.10 jk | 6.23 ± 0.18 hi | ||
| 24 | 66.56 ± 0.33 h | 27.64 ± 0.25 l | 8.13 ± 0.40 d | ||
| Inoculation fungi | Inoculation IAA | 0 | 238.9 ± 0.64 b | 90.88 ± 0.07 a | 5.86 ± 0.98 ij |
| 8 | 250.9 ± 0.49 a | 76.38 ± 0.36 bc | 7.10 ± 0.52 ef | ||
| 16 | 153.2 ± 0.04 d | 72.20 ± 0.03 bc | 7.76 ± 0.89 d | ||
| 24 | 130.1 ± 0.21 e | 60.55 ± 0.10 ef | 10.86 ± 0.37 a | ||
| No inoculation IAA | 0 | 229.8 ± 0.12 b | 78.32 ± 0.11 b | 5.86 ± 0.17 ij | |
| 8 | 237.0 ± 0.18 b | 69.63 ± 0.21 cd | 6.70 ± 0.56 fg | ||
| 16 | 142.3 ± 0.18 d | 64.91 ± 0.27 de | 7.26 ± 0.39 e | ||
| 24 | 114.0 ± 0.30 fg | 54.46 ± 0.07 fg | 10.36 ± 0.54 b |
| Treatment | Shoot P Uptake (mg pot−1) | Soil P Concentration (mg/kg) | ||
|---|---|---|---|---|
| Fungi | IAA | EC | ||
| No inoculation fungi | Inoculation IAA | 0 | 23.01 ± 0.12 c | 20.42 ± 0.06 i |
| 8 | 21.27 ± 0.16 de | 22.59 ± 0.11 g | ||
| 16 | 12.58 ± 0.18 g | 24.51 ± 0.19 e | ||
| 24 | 5.85 ± 0.09 j | 27.51 ±0.19 a | ||
| No inoculation IAA | 0 | 21.46 ± 0.11 d | 18.71 ± 0.24 j | |
| 8 | 20.26 ± 0.21 e | 20.30 ± 0.25 i | ||
| 16 | 11.11 ± 0.16 h | 22.51 ± 0.32 g | ||
| 24 | 5.63 ± 0.12 j | 25.76 ± 0.08 c | ||
| Inoculation fungi | Inoculation IAA | 0 | 26.04 ± 0.04 a | 22.35 ± 0.11 g |
| 8 | 25.78 ± 0.12 a | 23.06 ± 0.06 f | ||
| 16 | 15.87 ± 0.02 f | 24.94 ± 0.05 d | ||
| 24 | 11.25 ± 0.22 h | 27.61 ± 0.14 a | ||
| No inoculation IAA | 0 | 25.03 ± 0.22 ab | 21.56 ± 0.09 h | |
| 8 | 24.33 ± 0.08 b | 21.70 ± 0.18 h | ||
| 16 | 14.75 ± 0.04 f | 23.28 ± 0.14 f | ||
| 24 | 9.78 ± 0.11 i | 26.56 ± 0.09 b |
| Treatment | Shoot Fe Concentration (mg/kg) | Shoot Zn Concentration (mg/kg)) | Shoot Cu Concentration (mg/kg) | Shoot Mn Concentration (mg/kg) | ||
|---|---|---|---|---|---|---|
| Fungi | IAA | EC | ||||
| No inoculation fungi | Inoculation IAA | 0 | 79.48 ± 0.33 b | 43.19 ± 0.03 n | 36.72 ± 0.08 b | 55.96 ± 0.10 bc |
| 8 | 64.47 ± 0.40 f | 55.43 ± 0.32 j | 30.56 ± 0.12 f | 54.00 ± 0.02 cd | ||
| 16 | 55.61 ± 0.17 j | 69.52 ± 0.17 f | 25.43 ± 0.06 j | 37.90 ± 0.04 g | ||
| 24 | 42.49 ± 0.21 n | 85.51 ± 0.32 b | 18.53 ± 0.07 n | 28.06 ± 0.06 j | ||
| No inoculation IAA | 0 | 76.43 ± 0.26 d | 40.29 ± 0.17 p | 36.72 ± 0.11 d | 54.23 ± 0.11 d | |
| 8 | 61.89 ± 0.32 h | 52.32 ± 0.09 l | 29.46 ± 0.52 h | 53.46 ± 0.03 d | ||
| 16 | 52.26 ± 0.23 l | 66.68 ± 0.25 h | 24.76 ± 0.08 l | 36.83 ± 0.05 g | ||
| 24 | 39.51 ± 0.32 p | 82.13 ± 0.10 d | 17.75 ± 0.06 p | 27.33 ± 0.07 j | ||
| Inoculation fungi | Inoculation IAA | 0 | 80.51 ± 0.24 a | 45.20 ± 0.09 m | 37.30 ± 0.08 a | 58.80 ± 0.05 a |
| 8 | 65.41 ± 0.27 e | 56.28 ± 0.16 i | 31.24 ± 0.15 e | 55.13 ± 0.03 cd | ||
| 16 | 56.46 ± 0.29 i | 70.52 ± 0.13 e | 26.15 ± 0.05 i | 44.06 ± 0.03 e | ||
| 24 | 43.38 ± 0.35 m | 86.56 ± 0.15 a | 19.11 ±0.15 m | 33.16 ± 0.13 h | ||
| No inoculation IAA | 0 | 77.98 ± 0.15 c | 41.90 ± 0.04 o | 36.38 ± 0.10 c | 57.40 ± 0.11 ab | |
| 8 | 63.31 ± 0.18 g | 53.18 ± 0.05 k | 30.22 ± 0.05 g | 54.66 ± 0.05 cd | ||
| 16 | 53.15 ± 0.04 k | 67.44 ± 0.37 g | 25.13 ± 0.11 k | 41.13 ± 0.02 f | ||
| 24 | 40.26 ± 0.10 o | 83.52 ± 0.12 c | 18.27 ± 0.08 o | 31.26 ± 0.05 i |
| Treatment | Root Zn Concentration (mg/kg)) | Root Cu Concentration (mg/kg) | Root Mn Concentration (mg/kg) | ||
|---|---|---|---|---|---|
| Fungi | IAA | EC | |||
| No inoculation fungi | Inoculation IAA | 0 | 27.89 ± 0.08 b | 36.93 ± 0.45 ab | 46.19 ± 0.06 b |
| 8 | 22.08 ± 0.03 f | 28.18 ± 0.45 c | 37.83 ± 0.04 f | ||
| 16 | 15.82 ± 0.21 j | 21.37 ± 0.02 de | 29.87 ± 0.03 j | ||
| 24 | 9.92 ± 0.03 m | 14.89 ± 0.03 gh | 19.32 ± 0.07 n | ||
| No inoculation IAA | 0 | 27.40 ± 0.04 d | 36.16 ± 0.06 b | 45.71 ± 0.25 d | |
| 8 | 21.35 ± 0.03 h | 27.44 ± 0.05 c | 37.34 ± 0.04 h | ||
| 16 | 15.43 ± 0.02 k | 20.46 ± 0.02 f | 27.28 ± 0.02 l | ||
| 24 | 9.57 ± 0.01 o | 14.19 ± 0.06 h | 18.85 ± 0.05 p | ||
| Inoculation fungi | Inoculation IAA | 0 | 28.17 ± 0.04 a | 37.20 ± 0.03 a | 46.44 ± 0.05 a |
| 8 | 22.39 ± 0.04 e | 27.56 ± 1.74 c | 38.12 ± 0.03 e | ||
| 16 | 16.21 ± 0.04 i | 21.90 ± 0.06 d | 30.29 ± 0.03 i | ||
| 24 | 10.19 ± 0.02 l | 15.43 ± 0.03 g | 19.73 ± 0.07 m | ||
| No inoculation IAA | 0 | 27.64 ± 0.04 c | 36.66 ± 0.02 ab | 45.93 ± 0.04 c | |
| 8 | 21.89 ± 0.02 g | 27.89 ± 0.04 c | 37.68 ± 0.03 g | ||
| 16 | 15.71 ± 0.02 j | 20.93 ± 0.03 ef | 29.52 ± 0.07 k | ||
| 24 | 9.73 ± 0.02 n | 14.60 ±0.04 h | 19.08 ± 0.03 o |
| Treatment | Plant Proline (Micromol per Gram Fresh Weight of Plant Leaves) | Catalase Enzyme Activity (Units per Milligram of Plant Fresh Weight) | Superoxide Dismutase Enzyme Activity (Units per Milligram of Fresh Plant Leaf Weight) | Peroxidase Enzyme Activity (Units per Milligram of Plant Fresh Weight) | ||
|---|---|---|---|---|---|---|
| Fungi | IAA | EC | ||||
| No inoculation fungi | Inoculation IAA | 0 | 9.793 ± 0.36 gh | 41.83 ± 1.38 h | 62.85 ± 0.40 c–f | 13.59 ± 0.19 k |
| 8 | 9.633 ± 1.09 gh | 46.72 ± 1.61 ef | 59.00 ± 35.08 ef | 15.31 ± 0.18 i | ||
| 16 | 16.34 ± 0.39 cde | 50.26 ± 0.25 d | 91.34 ± 1.42 abc | 18.17 ± 0.24 d | ||
| 24 | 19.20 ± 0.72 b | 57.60 ± 0.52 b | 107.10 ± 0.28 ab | 19.38 ± 0.35 b | ||
| No inoculation IAA | 0 | 11.25 ± 0.09 f | 45.30 ± 0.17 fg | 65.41 ± 0.28 cde | 14.42 ± 0.16 j | |
| 8 | 10.00 ± 0.43 g | 49.20 ± 0.88 d | 80.82 ± 0.56 b–e | 16.54 ± 0.23 g | ||
| 16 | 16.74 ± 0.12 cd | 52.70 ± 0.26 c | 94.33 ± 1.15 ab | 18.46 ± 0.29 cd | ||
| 24 | 20.73 ± 1.10 a | 60.26 ± 0.20 a | 111.1 ± 0.85 a | 20.34 ± 0.13 a | ||
| Inoculation fungi | Inoculation IAA | 0 | 9.16 ± 0.28 gh | 34.80 ± 0.52 j | 61.39 ± 0.40 def | 13.10 ± 0.16 l |
| 8 | 8.83 ± 0.20 h | 42.03 ± 1.91 h | 35.70 ± 35.00 f | 14.47 ± 0.23 j | ||
| 16 | 15.38 ± 0.12 e | 43.13 ± 0.65 gh | 88.18 ± 0.17 a–d | 16.96 ± 0.19 f | ||
| 24 | 16.96 ± 0.20 cd | 48.53 ± 1.42 de | 104.80 ± 0.28 ab | 18.65 ± 0.25 c | ||
| No inoculation IAA | 0 | 9.45 ± 0.79 gh | 37.23 ± 1.25 i | 63.47 ± 0.10 c–f | 13.50 ± 0.10 k | |
| 8 | 9.16 ± 0.85 gh | 44.00 ± 1.00 gh | 58.66 ± 34.61 ef | 15.72 ± 0.13 h | ||
| 16 | 16.02 ± 0.18 de | 44.90 ± 0.36 fg | 91.47 ± 0.50 abc | 17.48 ± 0.21 e | ||
| 24 | 17.23 ± 0.49 c | 53.96 ± 3.32 c | 106.20 ± 0.25 ab | 19.40 ± 0.09 b |
| Feature | The Amount |
|---|---|
| Sand | 57.72% |
| Silt | 12.56% |
| Clay | 29.72% |
| Texture class | Sandy clay loam |
| pH saturated dough | 7.6 |
| Electrical conductivity of the saturated extract | 2.15 dS/m |
| Cation exchange capacity | 18 cmol+/kg |
| Organic matter | 1.3% |
| Total N | 0.07% |
| P extractable by NaHCO3 | 15 mg/kg |
| K extractable by C2H7NO2 | 420 mg/kg |
| Extractable Cu with DTPA | 5.1 mg/kg |
| Extractable Mn with DTPA | 0.6 mg/kg |
| Extractable Zn with DTPA | 3 mg/kg |
| Extractable Cd with DTPA | 1.3 mg/kg |
| Microbial respiration | 5.2 mg CO2-C.Kg−1.h−1 |
| Soil microbial biomass carbon | 15.15 mg of C/kg of soil |
Disclaimer/Publisher’s Note: The statements, opinions and data contained in all publications are solely those of the individual author(s) and contributor(s) and not of MDPI and/or the editor(s). MDPI and/or the editor(s) disclaim responsibility for any injury to people or property resulting from any ideas, methods, instructions or products referred to in the content. |
© 2025 by the authors. Licensee MDPI, Basel, Switzerland. This article is an open access article distributed under the terms and conditions of the Creative Commons Attribution (CC BY) license (https://creativecommons.org/licenses/by/4.0/).
Share and Cite
Mosallanejad, N.; Zarei, M.; Ghasemi-Fasaei, R.; Shahriari, A.G.; Mohkami, A.; Janda, T. Effect of Claroideoglomus etunicatum and Indole-3-acetic Acid on Growth and Biochemical Properties of Vetiver Grass (Vetiveria zizanioides) Under Salinity Stress. Int. J. Mol. Sci. 2025, 26, 3132. https://doi.org/10.3390/ijms26073132
Mosallanejad N, Zarei M, Ghasemi-Fasaei R, Shahriari AG, Mohkami A, Janda T. Effect of Claroideoglomus etunicatum and Indole-3-acetic Acid on Growth and Biochemical Properties of Vetiver Grass (Vetiveria zizanioides) Under Salinity Stress. International Journal of Molecular Sciences. 2025; 26(7):3132. https://doi.org/10.3390/ijms26073132
Chicago/Turabian StyleMosallanejad, Negar, Mehdi Zarei, Reza Ghasemi-Fasaei, Amir Ghaffar Shahriari, Afsaneh Mohkami, and Tibor Janda. 2025. "Effect of Claroideoglomus etunicatum and Indole-3-acetic Acid on Growth and Biochemical Properties of Vetiver Grass (Vetiveria zizanioides) Under Salinity Stress" International Journal of Molecular Sciences 26, no. 7: 3132. https://doi.org/10.3390/ijms26073132
APA StyleMosallanejad, N., Zarei, M., Ghasemi-Fasaei, R., Shahriari, A. G., Mohkami, A., & Janda, T. (2025). Effect of Claroideoglomus etunicatum and Indole-3-acetic Acid on Growth and Biochemical Properties of Vetiver Grass (Vetiveria zizanioides) Under Salinity Stress. International Journal of Molecular Sciences, 26(7), 3132. https://doi.org/10.3390/ijms26073132

