Immunophenotypic and Functional Interindividual Variability in Banked Cord Blood Cells: Insights for Advanced Therapies
Abstract
1. Introduction
2. Results
2.1. Umbilical Cord Blood Characterization Using a Hematology Analyzer
2.2. Umbilical Cord Blood Immunophenotypic Characterization
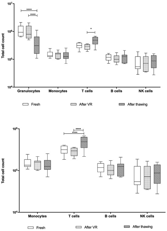
2.3. Absolute Cell Count per Population Determined Through Flow Cytometry
2.4. Viability and Clonogenicity Assays
2.5. Functional Assays for Cord-Blood-Isolated Cells
3. Discussion
4. Materials and Methods
4.1. UCB Collection, Processing, Cryopreservation, and Thawing Process
4.2. Cell Characterization Using the EuroFlow Protocol
4.3. Migration Assays
4.4. Clonogenic Assays
4.5. Apoptosis/Necrosis Detection Assay
4.6. Statistical Methods
5. Conclusions
Supplementary Materials
Author Contributions
Funding
Institutional Review Board Statement
Informed Consent Statement
Data Availability Statement
Acknowledgments
Conflicts of Interest
References
- Liu, J.H.; Kanakry, C.G.; Luznik, L. Have haploidentical transplants replaced umbilical cord transplants for acute leukemias? Curr. Opin. Hematol. 2018, 25, 103–111. [Google Scholar] [CrossRef] [PubMed]
- Gluckman, E.; Rocha, V. History of the clinical use of umbilical cord blood hematopoietic cells. Cytotherapy 2005, 7, 219–227. [Google Scholar] [CrossRef]
- Rocha, V.; Gluckman, E.; on behalf of the Eurocord-Netcord registry and European Blood and Marrow Transplant group. Improving outcomes of cord blood transplantation: HLA matching, cell dose and other graft- and transplantation-related factors. Br. J. Haematol. 2009, 147, 262–274. [Google Scholar] [CrossRef]
- Passweg, J.R.; Baldomero, H.; Bader, P.; Basak, G.W.; Bonini, C.; Duarte, R.; Dufour, C.; Kröger, N.; Kuball, J.; Lankester, A.; et al. Is the use of unrelated donor transplantation leveling off in Europe? The 2016 European Society for Blood and Marrow Transplant activity survey report. Bone Marrow Transplant. 2018, 53, 1139–1148. [Google Scholar] [CrossRef] [PubMed]
- Weisdorf, D. Can haploidentical transplantation meet all patients’ needs? Best Pract. Res. Clin. Haematol. 2018, 31, 410–413. [Google Scholar] [CrossRef]
- Vanegas, D.; Niño-Quiroga, L.; Chaparro, M.; Camacho-Rodríguez, B.; Estupiñán, M.; Perdomo-Arciniegas, A.M. Clinical Outcomes of Unrelated Umbilical Cord Blood Graft vs. Haploidentical Donor Transplantation: Critical Issues for an Adequate Comparison. Front. Med. 2021, 8, 749810. [Google Scholar] [CrossRef] [PubMed]
- Querol, S.; Rubinstein, P.; Madrigal, A. The wider perspective: Cord blood banks and their future prospects. Br. J. Haematol. 2021, 195, 507–517. [Google Scholar] [CrossRef]
- Kurtzberg, J. The view for cord blood is “cup half full” not “cup half empty”. Stem Cells Transl. Med. 2020, 9, 1118–1120. [Google Scholar] [CrossRef] [PubMed]
- Scaradavou, A. Cord blood beyond transplantation: Can we use the experience to advance all cell therapies? Br. J. Haematol. 2021, 194, 14–27. [Google Scholar] [CrossRef] [PubMed]
- Mantri, S.; Sheikali, A.; Binns, C.; Lyell, D.J.; DiGiusto, D.L.; Porteus, M.H.; Agarwal-Hashmi, R. The Binns Program for Cord Blood Research: A novel model of cord blood banking for academic biomedical research. Placenta 2021, 103, 50–52. [Google Scholar] [CrossRef]
- Vanegas, D.; Triviño, L.; Galindo, C.; Franco, L.; Salguero, G.; Camacho, B.; Perdomo-Arciniegas, A. A new strategy for umbilical cord blood collection developed at the first Colombian public cord blood bank increases total nucleated cell content. Transfusion 2017, 57, 2225–2233. [Google Scholar] [CrossRef] [PubMed]
- Kalina, T. Reproducibility of Flow Cytometry Through Standardization: Opportunities and Challenges. Cytom. Part A 2020, 97, 137–147. [Google Scholar] [CrossRef]
- Van Dongen, J.J.M.; Lhermitte, L.; Böttcher, S.; Almeida, J.; Van Der Velden, V.H.J.; Flores-Montero, J.; Rawstron, A.; Asnafi, V.; Lécrevisse, Q.; Lucio, P.; et al. EuroFlow antibody panels for standardized n-dimensional flow cytometric immunophenotyping of normal, reactive and malignant leukocytes. Leukemia 2012, 26, 1908–1975. [Google Scholar] [CrossRef]
- Sutherland, D.R.; Anderson, L.; Keeney, M.; Nayar, R.; Chin-Yee, I. The ISHAGE Guidelines for CD34+ Cell Determination by Flow Cytometry. J. Hematother. 1996, 5, 213–226. [Google Scholar] [CrossRef]
- Brando, B.; Barnett, D.; Janossy, G.; Mandy, F.; Autran, B.; Rothe, G.; Scarpati, B.; D’Avanzo, G.; D’Hautcourt, J.-L.; Lenkei, R.; et al. Cytofluorometric methods for assessing absolute numbers of cell subsets in blood. Cytometry 2000, 42, 327–346. [Google Scholar] [CrossRef]
- Orfao, A.; Matarraz, S.; Pérez-Andrés, M.; Almeida, J.; Teodosio, C.; Berkowska, M.A.; van Dongen, J.J. Immunophenotypic dissection of normal hematopoiesis. J. Immunol. Methods 2019, 475, 112684. [Google Scholar] [CrossRef] [PubMed]
- Matarraz, S.; López, A.; Barrena, S.; Fernandez, C.; Jensen, E.; Flores, J.; Bárcena, P.; Rasillo, A.; Sayagues, J.M.; Sánchez, M.L.; et al. The immunophenotype of different immature, myeloid and B-cell lineage-committed CD34+ hematopoietic cells allows discrimination between normal/reactive and myelodysplastic syndrome precursors. Leukemia 2008, 22, 1175–1183. [Google Scholar] [CrossRef]
- Galindo, C.C.; Vanegas Lozano, D.M.; Camacho Rodríguez, B.; Perdomo-Arciniegas, A.M. Improved cord blood thawing procedure enhances the reproducibility and correlation between flow cytometry CD34+ cell viability and clonogenicity assays. Cytotherapy 2018, 20, 891–894. [Google Scholar] [CrossRef]
- Castillo, N.; García-Cadenas, I.; Barba, P.; Martino, R.; Azqueta, C.; Ferrà, C.; Canals, C.; Sierra, J.; Valcárcel, D.; Querol, S. Post-Thaw Viable CD45+ Cells and Clonogenic Efficiency are Associated with Better Engraftment and Outcomes after Single Cord Blood Transplantation in Adult Patients with Malignant Diseases. Biol. Blood Marrow Transplant. 2015, 21, 2167–2172. [Google Scholar] [CrossRef] [PubMed]
- Galindo, C.C.; Vanegas Lozano, D.M.; Camacho Rodríguez, B.; Perdomo-Arciniegas, A.M. Cord blood attached-segments are not homogeneous in post-thaw CD34+ cell viability and clonogenicity. Cryobiology 2018, 82, 163–164. [Google Scholar] [CrossRef] [PubMed]
- Foguenne, J.; Di Stefano, I.; Giet, O.; Beguin, Y.; Gothot, A. Ex vivo expansion of hematopoietic progenitor cells is associated with downregulation of alpha4 integrin- and CXCR4-mediated engraftment in NOD/SCID beta2-microglobulin-null mice. Haematologica 2009, 94, 185–194. [Google Scholar] [CrossRef] [PubMed][Green Version]
- Voermans, C.; Kooi, M.L.; Rodenhuis, S.; van der Lelie, H.; van der Schoot, C.E.; Gerritsen, W.R. In vitro migratory capacity of CD34+ cells is related to hematopoietic recovery after autologous stem cell transplantation. Blood 2001, 97, 799–804. [Google Scholar] [CrossRef] [PubMed]
- Allan, D.S. Using umbilical cord blood for regenerative therapy: Proof or promise? Stem Cells 2020, 38, 590–595. [Google Scholar] [CrossRef]
- Samarkanova, D.; Rodríguez, L.; Vives, J.; Coll, R.; Tahull, E.; Azqueta, C.; Valdivia, E.; Codinach, M.; Farssac, E.; Gaitan, J.; et al. Cord blood-derived platelet concentrates as starting material for new therapeutic blood components prepared in a public cord blood bank: From product development to clinical application. Blood Transfus. 2020, 18, 208–216. [Google Scholar] [CrossRef]
- Roh, E.Y.; Oh, S.; Yoon, J.H.; Kim, B.J.; Song, E.Y.; Shin, S. Umbilical Cord Blood Units Cryopreserved in the Public Cord Blood Bank: A Breakthrough in iPSC Haplobanking? Cell Transplant. 2020, 29, 0963689720926151. [Google Scholar] [CrossRef]
- Koukoulias, K.; Papadopoulou, A.; Kouimtzidis, A.; Papayanni, P.G.; Papaloizou, A.; Sotiropoulos, D.; Yiangou, M.; Costeas, P.; Anagnostopoulos, A.; Yannaki, E.; et al. Non-transplantable cord blood units as a source for adoptive immunotherapy of leukaemia and a paradigm of circular economy in medicine. Br. J. Haematol. 2021, 194, 158–167. [Google Scholar] [CrossRef] [PubMed]
- López, M.C.; Palmer, B.E.; Lawrence, D.A. Phenotypic differences between cord blood and adult peripheral blood. Cytom. B Clin. Cytom. 2009, 76, 37–46. [Google Scholar] [CrossRef]
- Chirumbolo, S.; Ortolani, R.; Veneri, D.; Raffaelli, R.; Peroni, D.; Pigozzi, R.; Colombatti, M.; Vella, A. Lymphocyte phenotypic subsets in umbilical cord blood compared to peripheral blood from related mothers. Cytom. B Clin. Cytom. 2011, 80, 248–253. [Google Scholar] [CrossRef] [PubMed]
- Prabhu, S.B.; Rathore, D.K.; Nair, D.; Chaudhary, A.; Raza, S.; Kanodia, P.; Sopory, S.; George, A.; Rath, S.; Bal, V.; et al. Comparison of Human Neonatal and Adult Blood Leukocyte Subset Composition Phenotypes. PLoS ONE 2016, 11, e0162242. [Google Scholar] [CrossRef] [PubMed]
- Kalina, T.; Flores-Montero, J.; van der Velden, V.H.J.; Martin-Ayuso, M.; Böttcher, S.; Ritgen, M.; Almeida, J.; Lhermitte, L.; Asnafi, V.; Mendonça, A.; et al. EuroFlow standardization of flow cytometer instrument settings and immunophenotyping protocols. Leukemia 2012, 26, 1986–2010. [Google Scholar] [CrossRef]
- Kalina, T.; Flores-Montero, J.; Lecrevisse, Q.; Pedreira, C.E.; van der Velden, V.H.J.; Novakova, M.; Mejstrikova, E.; Hrusak, O.; Böttcher, S.; Karsch, D.; et al. Quality assessment program for EuroFlow protocols: Summary results of four-year (2010–2013) quality assurance rounds. Cytom. A 2015, 87, 145–156. [Google Scholar] [CrossRef]
- Euroflow Consortium. EuroFlow Standard Operating Procedure (SOP) for Sample Preparation and Staining Version 1.4. 2018, 4(June):8. Available online: https://euroflow.org/protocols/ (accessed on 13 January 2024).
- Fournier, D.; Lewin, A.; Simard, C.; Trépanier, P.; Néron, S.; Ballerini, L.; Codinach, M.; Elmoazzen, H.; Halpenny, M.; Kogler, G.; et al. Multi-laboratory assay for harmonization of enumeration of viable CD34+ and CD45+ cells in frozen cord blood units. Cytotherapy 2020, 22, 44–51. [Google Scholar] [CrossRef]
- Georgiadis, C.; Nickolay, L.; Syed, F.; Zhan, H.; Gkazi, S.A.; Etuk, A.; Abramowski-Mock, U.; Preece, R.; Cuber, P.; Adams, S.; et al. Umbilical cord blood T cells can be isolated and enriched by CD62L selection for use in “off the shelf” chimeric antigen receptor T-cell therapies to widen transplant options. Haematologica 2024, 109, 3941–3951. [Google Scholar] [CrossRef] [PubMed]
- Zhao, Y.; Li, X.; Zhao, W.; Wang, J.; Yu, J.; Wan, Z.; Yi, G.; Wang, X.; Fan, B.; Wu, Q.; et al. Single-cell transcriptomic landscape of nucleated cells in umbilical cord blood. Gigascience 2019, 8, giz047. [Google Scholar] [CrossRef] [PubMed]
- Pievani, A.; Granata, V.; Desantis, G.; Antolini, L.; Ornaghi, S.; Galleu, A.; Biondi, A.; Gentner, B.; Dazzi, F.; Serafini, M. CD14 positive cells accelerate hematopoietic stem cell engraftment. Bone Marrow Transplant. 2022, 57, 942–948. [Google Scholar] [CrossRef]
- Rådestad, E.; Sundin, M.; Törlén, J.; Thunberg, S.; Önfelt, B.; Ljungman, P.; Watz, E.; Mattsson, J.; Uhlin, M. Individualization of hematopoietic stem cell transplantation using alpha/beta T-cell depletion. Front. Immunol. 2019, 10, 189. [Google Scholar] [CrossRef]
- Ruminski, P.G.; Rettig, M.P.; DiPersio, J.F. Development of VLA4 and CXCR4 antagonists for the mobilization of hematopoietic stem and progenitor cells. Biomolecules 2024, 14, 1003. [Google Scholar] [CrossRef] [PubMed]
- Moreno, A.; Perdomo-Arciniegas, A.M. Caracterización de la Migración de Células Mononucleares y Hematopoyéticas de Sangre de Cordón Umbilical ante Estímulos Inducidos por IL6, IL8 y CCL2 en un Modelo In Vitro de Estímulos Canónicos del Nicho Hematopoyético. Master’s Thesis, Universidad Nacional de Colombia, Bogotá, Colombia, 2022. [Google Scholar]












| Donor | Initial Volume (mL) | Initial TNCs (×108) | TNCs (×108) After VR | Total CD45+ Cells (×108) After VR | CD45+ Cells’ Viability (%) After VR | Total CD34+ Cells (×106) After VR | CD34+ Cells’ Viability (%) After VR |
|---|---|---|---|---|---|---|---|
| 1 | 146.8 | 25.9 | 15.11 | 20 | 98.5 | 9 | 98.9 |
| 2 | 123.1 | 16.7 | 11.3 | 13.5 | 98.1 | 4.6 | 99.6 |
| 3 | 133.1 | 15.6 | 9.86 | 10 | 97.1 | 3.8 | 98.9 |
| 4 | 86.2 | 13 | 11.66 | 9.5 | 99.3 | 1.5 | 99.3 |
| 5 | 82.2 | 15.1 | 14.14 | 10 | NA | 1.7 | 98.4 |
| 6 | 85.7 | 13.6 | 12.34 | 10.8 | 99.1 | 5.6 | 99.5 |
| 7 | 130.9 | 24.8 | 15.86 | 18.4 | 98.6 | 3.6 | 96.9 |
| 8 | 119.7 | 14.3 | 9.87 | 16.3 | 99.1 | 11.7 | 99.1 |
| 9 | 136 | 23.7 | 14.72 | 26.3 | 97.9 | 10.1 | 99 |
| 10 | 136.8 | 21.3 | 13.17 | 25.9 | 98.2 | 11.1 | 98.8 |
| 11 | 165.3 | 112.6 | 21.63 | 21.9 | 98.6 | 8.8 | 98.7 |
Disclaimer/Publisher’s Note: The statements, opinions and data contained in all publications are solely those of the individual author(s) and contributor(s) and not of MDPI and/or the editor(s). MDPI and/or the editor(s) disclaim responsibility for any injury to people or property resulting from any ideas, methods, instructions or products referred to in the content. |
© 2025 by the authors. Licensee MDPI, Basel, Switzerland. This article is an open access article distributed under the terms and conditions of the Creative Commons Attribution (CC BY) license (https://creativecommons.org/licenses/by/4.0/).
Share and Cite
Vanegas Lozano, D.M.; Devia Mejia, B.; Machuca Acevedo, C.; Jaramillo Mejia, V.; Moreno González, A.M.; Krisko, A.; Quijano Gómez, S.M.; Perdomo-Arciniegas, A.M. Immunophenotypic and Functional Interindividual Variability in Banked Cord Blood Cells: Insights for Advanced Therapies. Int. J. Mol. Sci. 2025, 26, 1208. https://doi.org/10.3390/ijms26031208
Vanegas Lozano DM, Devia Mejia B, Machuca Acevedo C, Jaramillo Mejia V, Moreno González AM, Krisko A, Quijano Gómez SM, Perdomo-Arciniegas AM. Immunophenotypic and Functional Interindividual Variability in Banked Cord Blood Cells: Insights for Advanced Therapies. International Journal of Molecular Sciences. 2025; 26(3):1208. https://doi.org/10.3390/ijms26031208
Chicago/Turabian StyleVanegas Lozano, Diana María, Bellaneth Devia Mejia, Catalina Machuca Acevedo, Valentina Jaramillo Mejia, Andrea Marisol Moreno González, Anita Krisko, Sandra Milena Quijano Gómez, and Ana María Perdomo-Arciniegas. 2025. "Immunophenotypic and Functional Interindividual Variability in Banked Cord Blood Cells: Insights for Advanced Therapies" International Journal of Molecular Sciences 26, no. 3: 1208. https://doi.org/10.3390/ijms26031208
APA StyleVanegas Lozano, D. M., Devia Mejia, B., Machuca Acevedo, C., Jaramillo Mejia, V., Moreno González, A. M., Krisko, A., Quijano Gómez, S. M., & Perdomo-Arciniegas, A. M. (2025). Immunophenotypic and Functional Interindividual Variability in Banked Cord Blood Cells: Insights for Advanced Therapies. International Journal of Molecular Sciences, 26(3), 1208. https://doi.org/10.3390/ijms26031208

