Association Between Serum Growth Factors and Risk of Acute Exacerbation in Chronic Obstructive Pulmonary Disease: A One-Year Prospective Study
Abstract
1. Introduction
2. Results
2.1. Baseline Characteristics
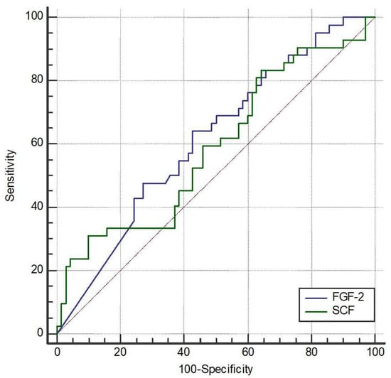
2.2. Growth Markers and COPD AE During the 1-Year Follow-Up
2.3. Growth Markers and COPD AE Frequency During the 1-Year Follow-Up
3. Discussion
4. Materials and Methods
4.1. Data Collection of Participants
4.2. Biomarker Detection
4.3. Statistical Methods
5. Conclusions
Supplementary Materials
Author Contributions
Funding
Institutional Review Board Statement
Data Availability Statement
Conflicts of Interest
Abbreviations
| BDNF | Brain-Derived Neurotrophic Factor |
| COPD | Chronic obstructive pulmonary disease |
| EGF | Epidermal Growth Factor |
| FGF | Fibroblast Growth Factor |
| HGF | Hepatocyte Growth Factor |
| LIF | Leukemia Inhibitory Factor |
| NGF-β | Nerve Growth Factor-beta |
| PDGF | Platelet-Derived Growth Factor |
| PLGF | Placental Growth Factor |
| SCF | Stem Cell Factor |
| VEGF | Vascular Endothelial Growth Factor |
References
- Wang, Z.; Lin, J.; Liang, L.; Huang, F.; Yao, X.; Peng, K.; Gao, Y.; Zheng, J. Global, regional, and national burden of chronic obstructive pulmonary disease and its attributable risk factors from 1990 to 2021: An analysis for the Global Burden of Disease Study 2021. Respir. Res. 2025, 26, 2. [Google Scholar] [CrossRef] [PubMed]
- Global Initiative for Chronic Obstructive Lung Disease (GOLD). Global Strategy for the Diagnosis, Management, and Prevention of Chronic Obstructive Pulmonary Disease (2025 Report). 2025. Available online: https://goldcopd.org/2025-gold-report/ (accessed on 26 October 2025).
- Anthonisen, N.R.; Connett, J.; Kiley, J.P.; Altose, M.D.; Bailey, W.C.; Buist, A.S.; Conway, W.; Enright, P.L.; Kanner, R.; O’Hara, P. Effects of smoking intervention and the use of an inhaled anticholinergic bronchodilator on the rate of decline of FEV1. The Lung Health Study. JAMA 1994, 272, 1497–1505. [Google Scholar] [CrossRef] [PubMed]
- James, A.L.; Wenzel, S. Clinical relevance of airway remodelling in airway diseases. Eur. Respir. J. 2007, 30, 134–155. [Google Scholar] [CrossRef] [PubMed]
- Hogg, J.C.; McDonough, J.E.; Gosselink, J.V.; Hayashi, S. What drives the peripheral lung-remodeling process in chronic obstructive pulmonary disease? Proc. Am. Thorac. Soc. 2009, 6, 668–672. [Google Scholar] [CrossRef]
- Crisafulli, E.; Torres, A. COPD 2017: A Year in Review. COPD J. Chronic Obstr. Pulm. Dis. 2018, 15, 118–122. [Google Scholar] [CrossRef]
- Wedzicha, J.A.; Miravitlles, M.; Hurst, J.R.; Calverley, P.M.; Albert, R.K.; Anzueto, A.; Criner, G.; Papi, A.; Rabe, K.; Rigau, D.; et al. Management of COPD exacerbations: A European Respiratory Society/American Thoracic Society guideline. Eur. Respir. J. 2017, 49, 1600791. [Google Scholar] [CrossRef]
- Franciosi, L.G.; Page, C.P.; Celli, B.R.; Cazzola, M.; Walker, M.J.; Danhof, M.; Rabe, K.F.; Pasqua, E.D.O. Markers of exacerbation severity in chronic obstructive pulmonary disease. Respir. Res. 2006, 7, 74. [Google Scholar] [CrossRef]
- Lock-Johansson, S.; Vestbo, J.; Sorensen, G.L. Surfactant protein D, Club cell protein 16, Pulmonary and activation-regulated chemokine, C-reactive protein, and Fibrinogen biomarker variation in chronic obstructive lung disease. Respir. Res. 2014, 15, 147. [Google Scholar] [CrossRef]
- Hoult, G.; Gillespie, D.; Wilkinson, T.M.A.; Thomas, M.; Francis, N.A. Biomarkers to guide the use of antibiotics for acute exacerbations of COPD (AECOPD): A systematic review and meta-analysis. BMC Pulm. Med. 2022, 22, 194. [Google Scholar] [CrossRef]
- Su, H.; Li, F.; Li, J. The analysis of risk factors associated with readmission in patients with exacerbation of COPD. Medicine 2025, 104, e41997. [Google Scholar] [CrossRef]
- Gribben, K.C.; Poole, J.A.; Nelson, A.J.; Farazi, P.A.; Wichman, C.S.; Heires, A.J.; Romberger, D.J.; LeVan, T.D. Relationships of serum CC16 levels with smoking status and lung function in COPD. Respir. Res. 2022, 23, 247. [Google Scholar] [CrossRef]
- Hogg, J.C.; Chu, F.; Utokaparch, S.; Woods, R.; Elliott, W.M.; Buzatu, L.; Cherniack, R.M.; Rogers, R.M.; Sciurba, F.C.; Coxson, H.O.; et al. The nature of small-airway obstruction in chronic obstructive pulmonary disease. N. Engl. J. Med. 2004, 350, 2645–2653, Correction in N. Engl. J. Med. 2004, 351, 1367. [Google Scholar] [CrossRef]
- Lommatzsch, M.; Niewerth, A.; Klotz, J.; Schulte-Herbrüggen, O.; Zingler, C.; Schuff-Werner, P.; Virchow, J.C. Platelet and plasma BDNF in lower respiratory tract infections of the adult. Respir. Med. 2007, 101, 1493–1499. [Google Scholar] [CrossRef] [PubMed]
- Aravamudan, B.; Thompson, M.; Pabelick, C.; Prakash, Y.S. Brain-derived neurotrophic factor induces proliferation of human airway smooth muscle cells. J. Cell Mol. Med. 2012, 16, 812–823. [Google Scholar] [CrossRef] [PubMed]
- Rocco, M.L.; Soligo, M.; Manni, L.; Aloe, L. Nerve Growth Factor: Early Studies and Recent Clinical Trials. Curr. Neuropharmacol. 2018, 16, 1455–1465. [Google Scholar] [CrossRef] [PubMed]
- Li, M.-M.; Xin, X.-F.; Shao, H.-T.; Shi, Y.; Su, X.; Sun, W.-K.; Sun, H.; Fang, L.-P. The expressions of nerve growth factor and its tyrosine kinase A receptor on alveolar macrophages in a rat model of chronic obstructive pulmonary disease. Zhonghua Jie He He Hu Xi Za Zhi 2012, 35, 601–605. [Google Scholar]
- Raap, U.; Braunstahl, G.J. The role of neurotrophins in the pathophysiology of allergic rhinitis. Curr. Opin. Allergy Clin. Immunol. 2010, 10, 8–13. [Google Scholar] [CrossRef]
- Carpenter, G.; Cohen, S. Epidermal growth factor. J. Biol. Chem. 1990, 265, 7709–7712. [Google Scholar] [CrossRef]
- Puddicombe, S.M.; Polosa, R.; Richter, A.; Krishna, M.T.; Howarth, P.H.; Holgate, S.T.; Davies, D.E. Involvement of the epidermal growth factor receptor in epithelial repair in asthma. FASEB J. 2000, 14, 1362–1374. [Google Scholar] [CrossRef]
- Takeyama, K.; Dabbagh, K.; Jeong Shim, J.; Dao-Pick, T.; Ueki, I.F.; Nadel, J.A. Oxidative stress causes mucin synthesis via transactivation of epidermal growth factor receptor: Role of neutrophils. J. Immunol. 2000, 164, 1546–1552. [Google Scholar] [CrossRef]
- Naldini, L.; Weidner, K.; Vigna, E.; Gaudino, G.; Bardelli, A.; Ponzetto, C.; Narsimhan, R.; Hartmann, G.; Zarnegar, R.; Michalopoulos, G. Scatter factor and hepatocyte growth factor are indistinguishable ligands for the MET receptor. EMBO J. 1991, 10, 2867–2878. [Google Scholar] [CrossRef]
- Ohmichi, H.; Koshimizu, U.; Matsumoto, K.; Nakamura, T. Hepatocyte growth factor (HGF) acts as a mesenchyme-derived morphogenic factor during fetal lung development. Development 1998, 125, 1315–1324. [Google Scholar] [CrossRef]
- Plantier, L.; Marchand-Adam, S.; Marchal-Sommé, J.; Lesèche, G.; Fournier, M.; Dehoux, M.; Aubier, M.; Crestani, B.; Basma, H.; Gunji, Y.; et al. Defect of hepatocyte growth factor production by fibroblasts in human pulmonary emphysema. Am. J. Physiol. Lung Cell Mol. Physiol. 2005, 288, L641–L647. [Google Scholar] [CrossRef][Green Version]
- Hu, W.; Feng, Z.; Teresky, A.K.; Levine, A.J. p53 regulates maternal reproduction through LIF. Nature 2007, 450, 721–724. [Google Scholar] [CrossRef] [PubMed]
- Knight, D.A.; Lydell, C.P.; Zhou, D.; Weir, T.D.; Robert Schellenberg, R.; Bai, T.R. Leukemia inhibitory factor (LIF) and LIF receptor in human lung. Distribution and regulation of LIF release. Am. J. Respir. Cell Mol. Biol. 1999, 20, 834–841. [Google Scholar] [CrossRef] [PubMed]
- Soeki, T.; Tamura, Y.; Shinohara, H.; Tanaka, H.; Bando, K.; Fukuda, N. Serial changes in serum VEGF and HGF in patients with acute myocardial infarction. Cardiology 2000, 93, 168–174. [Google Scholar] [CrossRef] [PubMed]
- Hannink, M.; Donoghue, D.J. Structure and function of platelet-derived growth factor (PDGF) and related proteins. Biochim. Et Biophys. Acta (BBA)-Rev. Cancer 1989, 989, 1–10. [Google Scholar] [CrossRef]
- Chanez, P.; Vignola, M.; Stenger, R.; Vic, P.; Michel, F.B.; Bousquet, J. Platelet-derived growth factor in asthma. Allergy 1995, 50, 878–883. [Google Scholar] [CrossRef]
- Noskovičová, N.; Petřek, M.; Eickelberg, O.; Heinzelmann, K. Platelet-Derived Growth Factor Signaling in the Lung. From Lung Development and Disease to Clinical Studies. Am. J. Respir. Cell Mol. Biol. 2015, 52, 263–284. [Google Scholar] [CrossRef]
- Maddaluno, L.; Urwyler, C.; Werner, S. Fibroblast growth factors: Key players in regeneration and tissue repair. Development 2017, 144, 4047–4060. [Google Scholar] [CrossRef]
- Reuss, B.; Halbach, O.v.B.U. Fibroblast growth factors and their receptors in the central nervous system. Cell Tissue Res. 2003, 313, 139–157. [Google Scholar] [CrossRef]
- Tan, Y.; Qiao, Y.; Chen, Z.; Liu, J.; Guo, Y.; Tran, T.; Tan, K.S.; Wang, D.-Y.; Yan, Y. FGF2, an Immunomodulatory Factor in Asthma and Chronic Obstructive Pulmonary Disease (COPD). Front. Cell Dev. Biol. 2020, 8, 223. [Google Scholar] [CrossRef] [PubMed]
- DiPalma, T.; Tucci, M.; Russo, G.; Maglione, D.; Lago, C.T.; Romano, A.; Saccone, S.; Valle, G.D.; De Gregorio, L.; Dragani, T.A.; et al. The placenta growth factor gene of the mouse. Mamm. Genome 1996, 7, 6–12. [Google Scholar] [CrossRef] [PubMed]
- Cheng, S.-L.; Wang, H.-C.; Yu, C.-J.; Yang, P.-C. Increased expression of placenta growth factor in COPD. Thorax 2008, 63, 500–506. [Google Scholar] [CrossRef] [PubMed]
- Da Silva, C.A.; de Blay, F.; Israel-Biet, D.; Laval, A.; Glasser, N.; Pauli, G.; Frossard, N. Effect of glucocorticoids on stem cell factor (SCF) expression in human asthmatic bronchi. Clin. Exp. Allergy 2006, 36, 317–324. [Google Scholar] [CrossRef]
- Holgate, S.T. Asthma: A dynamic disease of inflammation and repair. Ciba Found. Symp. 1997, 206, 5–28; discussion 28–34, 106–110. [Google Scholar]
- Xie, Y.; Su, N.; Yang, J.; Tan, Q.; Huang, S.; Jin, M.; Ni, Z.; Zhang, B.; Zhang, D.; Luo, F.; et al. FGF/FGFR signaling in health and disease. Signal Transduct. Target. Ther. 2020, 5, 181. [Google Scholar] [CrossRef]
- Baran, K.; Skrzynska, K.; Czyrek, A.A.; Wittek, A.; Krowarsch, D.; Szlachcic, A.; Zakrzewska, M.; Chudzian, J. Fibroblast Growth Factors in Lung Development and Regeneration: Mechanisms and Therapeutic Potential. Cells 2025, 14, 1256. [Google Scholar] [CrossRef]
- Yang, L.; Zhou, F.; Zheng, D.; Wang, D.; Li, X.; Zhao, C.; Huang, X. FGF/FGFR signaling: From lung development to respiratory diseases. Cytokine Growth Factor. Rev. 2021, 62, 94–104. [Google Scholar] [CrossRef]
- Demoly, P.; Simony-Lafontaine, J.; Chanez, P.; Pujol, J.L.; Lequeux, N.; Michel, F.B.; Bousquet, J. Cell proliferation in the bronchial mucosa of asthmatics and chronic bronchitics. Am. J. Respir. Crit. Care Med. 1994, 150, 214–217. [Google Scholar] [CrossRef]
- El Agha, E.; Seeger, W.; Bellusci, S. Therapeutic and Pathological Roles of Fibroblast Growth Factors in Pulmonary Diseases. Dev. Dyn. 2017, 246, 235–244. [Google Scholar] [CrossRef] [PubMed]
- Yun, Y.-R.; Won, J.E.; Jeon, E.; Lee, S.; Kang, W.; Jo, H.; Jang, J.-H.; Shin, U.S.; Kim, H.-W. Fibroblast growth factors: Biology, function, and application for tissue regeneration. J. Tissue Eng. 2010, 2010, 218142. [Google Scholar] [CrossRef] [PubMed]
- Dosanjh, A. The Fibroblast Growth Factor Pathway and Its Role in the Pathogenesis of Lung Disease. J. Interferon Cytokine Res. 2012, 32, 111–114. [Google Scholar] [CrossRef] [PubMed]
- Kim, Y.-S.; Hong, G.; Kim, D.H.; Kim, Y.M.; Kim, Y.-K.; Oh, Y.-M.; Jee, Y.-K. The role of FGF-2 in smoke- induced emphysema and the therapeutic potential of recombinant FGF-2 in patients with COPD. Exp. Mol. Med. 2018, 50, 150. [Google Scholar] [CrossRef]
- Nugent, M.A.; Iozzo, R.V. Fibroblast growth factor-2. Int. J. Biochem. Cell Biol. 2000, 32, 115–120. [Google Scholar] [CrossRef]
- Turner, N.; Grose, R. Fibroblast growth factor signalling: From development to cancer. Nat. Rev. Cancer 2010, 10, 116–129. [Google Scholar] [CrossRef]
- Becerril, C.; Pardo, A.; Montano, M.; Ramos, C.; Ramirez, R.; Selman, M. Acidic fibroblast growth factor induces an antifibrogenic phenotype in human lung fibroblasts. Am. J. Respir. Cell Mol. Biol. 1999, 20, 1020–1027. [Google Scholar] [CrossRef]
- Kranenburg, A.R.; Willems-Widyastuti, A.; Mooi, W.J.; Saxena, P.R.; Sterk, P.J.; de Boer, W.; Sharma, H.S. Chronic obstructive pulmonary disease is associated with enhanced bronchial expression of FGF-1, FGF-2, and FGFR-1. J. Pathol. 2005, 206, 28–38. [Google Scholar] [CrossRef]
- Shute, J.K.; Solic, N.; Shimizu, J.; McConnell, W.; Redington, A.E.; Howarth, P.H. Epithelial expression and release of FGF-2 from heparan sulphate binding sites in bronchial tissue in asthma. Thorax 2004, 59, 557–562. [Google Scholar] [CrossRef][Green Version]
- Kranenburg, A.R.; de Boer, W.I.; van Krieken, J.H.J.; Mooi, W.J.; Walters, J.E.; Saxena, P.R.; Sterk, P.J.; Sharma, H.S. Enhanced expression of fibroblast growth factorsand receptor FGFR-1 during vascular remodeling in chronic obstructive pulmonary disease. Am. J. Respir. Cell Mol. Biol. 2002, 27, 517–525. [Google Scholar] [CrossRef][Green Version]
- Freund-Michel, V.; Frossard, N. The nerve growth factor and its receptors in airway inflammatory diseases. Pharmacol. Ther. 2008, 117, 52–76. [Google Scholar] [CrossRef]
- Kawamoto, K.; Matsuda, H. Nerve growth factor and wound healing. Prog. Brain Res. 2004, 146, 369–384. [Google Scholar]
- Lambiase, A.; Bracci-Laudiero, L.; Bonini, S.; Bonini, S.; Starace, G.; D’ELios, M.M.; De Carli, M.; Aloe, L. Human CD4+ T cell clones produce and release nerve growth factor and express high-affinity nerve growth factor receptors. J. Allergy Clin. Immunol. 1997, 100, 408–414. [Google Scholar] [CrossRef] [PubMed]
- Braun, A.; Quarcoo, D.; Schulte-Herbruggen, O.; Lommatzsch, M.; Hoyle, G.; Renz, H. Nerve growth factor induces airway hyperresponsiveness in mice. Int. Arch. Allergy Immunol. 2001, 124, 205–207. [Google Scholar] [CrossRef] [PubMed]
- Nassenstein, C.; Kammertoens, T.; Veres, T.Z.; Uckert, W.; Spies, E.; Fuchs, B.; Krug, N.; Braun, A. Neuroimmune crosstalk in asthma: Dual role of the neurotrophin receptor p75NTR. J. Allergy Clin. Immunol. 2007, 120, 1089–1096. [Google Scholar] [CrossRef] [PubMed]
- Wongtrakool, C.; Grooms, K.; Bijli, K.M.; Crothers, K.; Fitzpatrick, A.M.; Hart, C.M. Nicotine stimulates nerve growth factor in lung fibroblasts through an NFrB-dependent mechanism. PLoS ONE 2014, 9, e109602. [Google Scholar] [CrossRef]
- Stabile, A.; Pistilli, A.; Crispoltoni, L.; Montagnoli, C.; Tiribuzi, R.; Casali, L.; Rende, M. A role for NGF and its receptors TrKA and p75NTR in the progression of COPD. Biol. Chem. 2016, 397, 157–163. [Google Scholar] [CrossRef]
- Liu, P.; Li, S.; Tang, L. Nerve Growth Factor: A Potential Therapeutic Target for Lung Diseases. Int. J. Mol. Sci. 2021, 22, 9112. [Google Scholar] [CrossRef]
- Glassberg, M.K.; Csete, I.; Simonet, E.; Elliot, S.J. Stem Cell Therapy for COPD: Hope and Exploitation. Chest 2021, 160, 1271–1281. [Google Scholar] [CrossRef]
- Wang, J.; Zhang, Y.; Liu, H.; Liu, L.; Xu, C.; Zhang, J. Biomarkers in COPD-Associated PH/CCP: Circulating Molecules and Cell-Intrinsic Marker. Int. J. Chronic Obstr. Pulm. Dis. 2025, 20, 2869–2883. [Google Scholar] [CrossRef]
- Laddha, A.P.; Kulkarni, Y.A. VEGF and FGF-2: Promising targets for the treatment of respiratory disorders. Respir. Med. 2019, 156, 33–46. [Google Scholar] [CrossRef] [PubMed]
- Liu, S.; Dong, J.; Huang, W.; Yan, J. Immune imbalance underlying depressive symptoms in COPD patients: A study based on BDNF, PD-1, MMP-9, and inflammatory cytokines. Front. Med. 2025, 12, 1606630. [Google Scholar] [CrossRef] [PubMed]
- Jeong, H.; Yun, A.; Lamb, R.; Chase, R.; Singh, D.; Parker, M.M.; Vestbo, J.; Tal-Singer, R.; Castaldi, P.; Silverman, E.; et al. Blood eosinophil count thresholds and exacerbations in patients with chronic obstructive pulmonary disease. J. Allergy Clin. Immunol. 2018, 141, 2037–2047. [Google Scholar] [CrossRef] [PubMed]
- Ware, S.A.; Kliment, C.R.; Giordano, L.; Redding, K.M.; Rumsey, W.L.; Bates, S.; Zhang, Y.; Sciurba, F.; Nouraie, S.; Kaufman, B.A. Cell-free DNA levels associate with COPD exacerbations and mortality. Respir. Res. 2024, 25, 42. [Google Scholar] [CrossRef]
- Giordano, L.; Ware, S.A.; Lagranha, C.J.; Kaufman, B.A. Mitochondrial DNA signals driving immune responses: Why, How, Where? Cell Commun. Signal. 2025, 23, 192. [Google Scholar] [CrossRef]
- Stockley, R.A. Biomarkers in chronic obstructive pulmonary disease: Confusing or useful. Int. J. Chronic Obstr. Pulm. Dis. 2014, 9, 163–177. [Google Scholar] [CrossRef]
- Lu, Y.F.; Goldstein, D.B.; Angrist, M.; Cavalleri, G. Personalized medicine and human genetic diversity. Cold Spring Harb. Perspect. Med. 2014, 4, a008581. [Google Scholar] [CrossRef]



| Variable | Total (n = 112) | Non-AE (n = 70) | AE (n = 42) | p |
|---|---|---|---|---|
| Demographics | ||||
| Male, n (%) | 110 (98.2) | 69 (98.6) | 41 (97.6) | 1.000 |
| Age, years | 69 (63, 75) | 69 (62, 74) | 69 (64, 75) | 0.371 |
| BMI, kg/m2 | 23.6 (21.6, 25.7) | 23.7 (22.3, 25.7) | 22.4 (20.9, 25.6) | 0.115 |
| Smoking, n (%) | 1.000 | |||
| Never | 5 (4.5) | 3 (4.3) | 2 (4.8) | |
| Current | 45 (40.2) | 28 (40.0) | 17 (40.5) | |
| Quit | 62 (55.4) | 39 (55.7) | 23 (54.8) | |
| GOLD classification, n (%) | 0.143 | |||
| 1 | 13 (11.6) | 11 (15.7) | 2 (4.8) | |
| 2 | 53 (47.3) | 35 (50.0) | 18 (42.9) | |
| 3 | 39 (34.8) | 21 (30.0) | 18 (42.9) | |
| 4 | 7 (6.3) | 3 (4.3) | 4 (9.5) | |
| GROUP classification, n (%) | 0.166 | |||
| A | 46 (41.1) | 34 (48.6) | 12 (28.6) | |
| B | 23 (20.5) | 14 (20.0) | 9 (21.4) | |
| C | 25 (22.3) | 13 (18.6) | 12 (28.6) | |
| D | 18 (16.1) | 9 (12.9) | 9 (21.4) | |
| Lung function | ||||
| FVC, L | 2.6 (2.0, 3.3) | 2.9 (2.2, 3.3) | 2.3 (1.9, 3.0) | 0.006 |
| FVC predicted, % | 68 (55, 80) | 70 (60, 89) | 65 (48, 73) | 0.031 |
| FEV1, L | 1.3 (1.1, 1.7) | 1.4 (1.2, 1.8) | 1.2 (0.8, 1.6) | 0.010 |
| FEV1 predicted, % | 55 (43, 69) | 57 (46, 72) | 49 (36, 58) | 0.004 |
| FEV1/FVC, % | 53 (44, 61) | 55 (44, 62) | 51 (42, 61) | 0.298 |
| Comorbidity | ||||
| Cardiovascular disease | 9 (8.0) | 6 (8.6) | 3 (7.1) | 1.000 |
| Cerebrovascular disease | 19 (17.0) | 11 (15.7) | 8 (19.0) | 0.795 |
| Peptic ulcer disease | 19 (17.0) | 13 (18.6) | 6 (14.3) | 0.613 |
| Liver disease | 5 (4.5) | 4 (5.7) | 1 (2.4) | 0.649 |
| Diabetes | 13 (11.6) | 9 (12.9) | 4 (9.5) | 0.764 |
| Renal disease | 5 (4.5) | 4 (5.7) | 1 (2.4) | 0.649 |
| Malignancy | 8 (7.1) | 3 (4.3) | 5 (11.9) | 0.149 |
| CCI total score (excluding pulmonary disease) | 1.0 (1.0, 2.0) | 1.0 (1.0, 2.0) | 1.0 (1.0, 3.0) | 0.801 |
| Variable, pg/mL | Non-AE (n = 70) | AE (n = 42) | p Value § |
|---|---|---|---|
| NGF | 32.5 (16.1, 61.4) | 21.1 (3.7, 55.4) | 0.154 |
| BDNF | 97.0 (65.7, 174.5) | 95.2 (56.9, 138.5) | 0.536 |
| EGF | 29.5 (19.0, 47.6) | 24.9 (15.7, 34.5) | 0.100 |
| FGF-2 | 12.4 (0.8, 30.0) | 4.5 (0.0, 18.1) | 0.041 |
| HGF | 172.9 (151.4, 244.1) | 210.1 (155.1, 256.3) | 0.274 |
| LIF | 3.1 (2.4, 4.7) | 2.5 (2.0, 3.6) | 0.056 |
| PDGF | 255.0 (164.8, 431.3) | 273.7 (156.9, 378.2) | 0.829 |
| PLGF | 11.0 (6.4, 18.8) | 9.7 (5.7, 15.8) | 0.377 |
| SCF | 16.9 (13.0, 25.0) | 18.5 (14.9, 32.5) | 0.115 |
| VEGF-A | 82.8 (53.6, 136.2) | 83.0 (55.4, 125.6) | 0.983 |
| VEGF-D | 8.1 (5.7, 14.7) | 8.6 (4.2, 13.0) | 0.414 |
| Univariate Analysis | Multivariable Analysis # | |||
|---|---|---|---|---|
| Variable, pg/mL | OR (95% CI) | p | OR (95% CI) | p |
| NGF | 1.00 (0.98–1.01) | 0.427 | 1.00 (0.98–1.01) | 0.513 |
| BDNF | 0.999 (0.995–1.003) | 0.533 | 0.998 (0.994–1.003) | 0.444 |
| EGF | 0.981 (0.961–1.002) | 0.074 | 0.980 (0.959–1.001) | 0.058 |
| FGF-2 | 0.974 (0.951–0.997) | 0.029 | 0.972 (0.949–0.997) | 0.027 |
| HGF | 1.002 (0.997–1.006) | 0.417 | 1.002 (0.997–1.007) | 0.414 |
| LIF | 1.02 (0.98–1.05) | 0.402 | 1.02 (0.98–1.05) | 0.409 |
| PDGF | 0.999 (0.997–1.001) | 0.380 | 0.999 (0.997–1.001) | 0.324 |
| PLGF | 1.00 (0.96–1.04) | 0.960 | 1.00 (0.96–1.04) | 0.849 |
| SCF | 1.034 (1.001–1.068) | 0.041 | 1.036 (1.001–1.072) | 0.047 |
| VEGF-A | 1.00 (0.99–1.01) | 0.950 | 1.00 (0.99–1.01) | 0.855 |
| VEGF-D | 0.98 (0.96–1.01) | 0.226 | 0.98 (0.96–1.01) | 0.203 |
| Variable, pg/mL | Infrequent AE (n = 104) | Frequent AE (n = 8) | p Value § |
|---|---|---|---|
| NGF | 32.2 (15.0, 58.5) | 3.7 (0.7, 20.4) | 0.005 |
| BDNF | 97.0 (64.6, 156.8) | 88.6 (51.8, 154.7) | 0.701 |
| EGF | 28.4 (18.8, 44.4) | 17.1 (14.3, 22.8) | 0.025 |
| FGF-2 | 10.9 (0.0, 26.7) | 0.1 (0.0, 4.3) | 0.021 |
| HGF | 182.2 (152.0, 243.3) | 241.4 (174.6, 298.4) | 0.175 |
| LIF | 3.0 (2.3, 4.5) | 1.9 (1.6, 3.1) | 0.047 |
| PDGF | 263.5 (166.6, 427.0) | 235.0 (116.6, 359.7) | 0.491 |
| PLGF | 10.7 (6.4, 17.9) | 7.8 (3.6, 19.2) | 0.483 |
| SCF | 17.0 (13.4, 26.1) | 18.9 (12.1, 28.8) | 0.752 |
| VEGF-A | 83.4 (55.5, 136.1) | 52.8 (40.0, 108.2) | 0.148 |
| VEGF-D | 8.4 (5.7, 14.3) | 5.9 (4.1, 9.6) | 0.175 |
| Univariate Analysis | Multivariable Analysis # | |||
|---|---|---|---|---|
| Variable, pg/mL | OR (95% CI) | p | OR (95% CI) | p |
| NGF | 0.93 (0.88–0.99) | 0.020 | 0.93 (0.87–0.99) | 0.023 |
| BDNF | 1.00 (0.99–1.01) | 0.538 | 1.00 (0.99–1.01) | 0.604 |
| EGF | 0.93 (0.87–1.001) | 0.055 | 0.93 (0.87–1.001) | 0.061 |
| FGF-2 | 0.88 (0.75–1.02) | 0.090 | 0.87 (0.74–1.02) | 0.086 |
| HGF | 1.004 (0.998–1.011) | 0.197 | 1.005 (0.997–1.012) | 0.209 |
| LIF | 0.53 (0.25–1.13) | 0.100 | 0.50 (0.22–1.14) | 0.100 |
| PDGF | 0.998 (0.994–1.002) | 0.412 | 0.998 (0.994–1.003) | 0.420 |
| PLGF | 0.98 (0.90–1.06) | 0.577 | 0.98 (0.90–1.07) | 0.617 |
| SCF | 1.01 (0.96–1.07) | 0.626 | 1.01 (0.96–1.07) | 0.668 |
| VEGF-A | 0.99 (0.98–1.01) | 0.322 | 0.99 (0.98–1.01) | 0.320 |
| VEGF-D | 0.94 (0.84–1.06) | 0.331 | 0.94 (0.84–1.06) | 0.334 |
Disclaimer/Publisher’s Note: The statements, opinions and data contained in all publications are solely those of the individual author(s) and contributor(s) and not of MDPI and/or the editor(s). MDPI and/or the editor(s) disclaim responsibility for any injury to people or property resulting from any ideas, methods, instructions or products referred to in the content. |
© 2025 by the authors. Licensee MDPI, Basel, Switzerland. This article is an open access article distributed under the terms and conditions of the Creative Commons Attribution (CC BY) license (https://creativecommons.org/licenses/by/4.0/).
Share and Cite
Tien, H.-Y.; Chen, C.-Y.; Yu, C.-J.; Wang, H.-C. Association Between Serum Growth Factors and Risk of Acute Exacerbation in Chronic Obstructive Pulmonary Disease: A One-Year Prospective Study. Int. J. Mol. Sci. 2025, 26, 10584. https://doi.org/10.3390/ijms262110584
Tien H-Y, Chen C-Y, Yu C-J, Wang H-C. Association Between Serum Growth Factors and Risk of Acute Exacerbation in Chronic Obstructive Pulmonary Disease: A One-Year Prospective Study. International Journal of Molecular Sciences. 2025; 26(21):10584. https://doi.org/10.3390/ijms262110584
Chicago/Turabian StyleTien, Hong-Yih, Chung-Yu Chen, Chong-Jen Yu, and Hao-Chien Wang. 2025. "Association Between Serum Growth Factors and Risk of Acute Exacerbation in Chronic Obstructive Pulmonary Disease: A One-Year Prospective Study" International Journal of Molecular Sciences 26, no. 21: 10584. https://doi.org/10.3390/ijms262110584
APA StyleTien, H.-Y., Chen, C.-Y., Yu, C.-J., & Wang, H.-C. (2025). Association Between Serum Growth Factors and Risk of Acute Exacerbation in Chronic Obstructive Pulmonary Disease: A One-Year Prospective Study. International Journal of Molecular Sciences, 26(21), 10584. https://doi.org/10.3390/ijms262110584

