The Association Between Three MMP3 Gene Polymorphisms and the Efficacy of Platelet-Rich Plasma Therapy in the Treatment of Lateral Elbow Tendinopathy—A Prospective Cohort Study
Abstract
1. Introduction
2. Results
2.1. Haplotype Analysis and Polymorphisms Characteristics
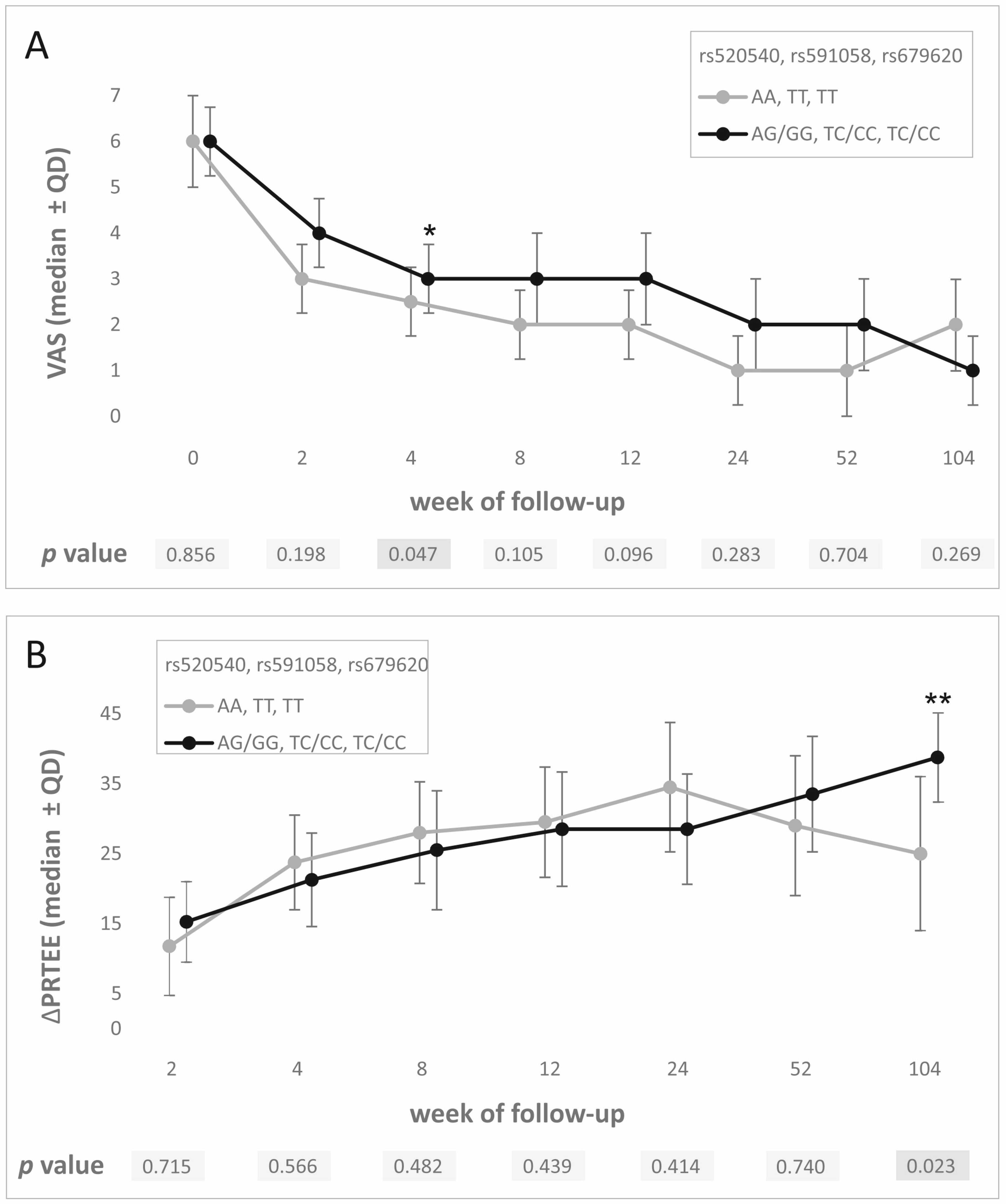
2.2. Association Between the Studied Polymorphisms and PROMs Value
2.3. MMP-3 Gene Polymorphisms and Pain Characteristics
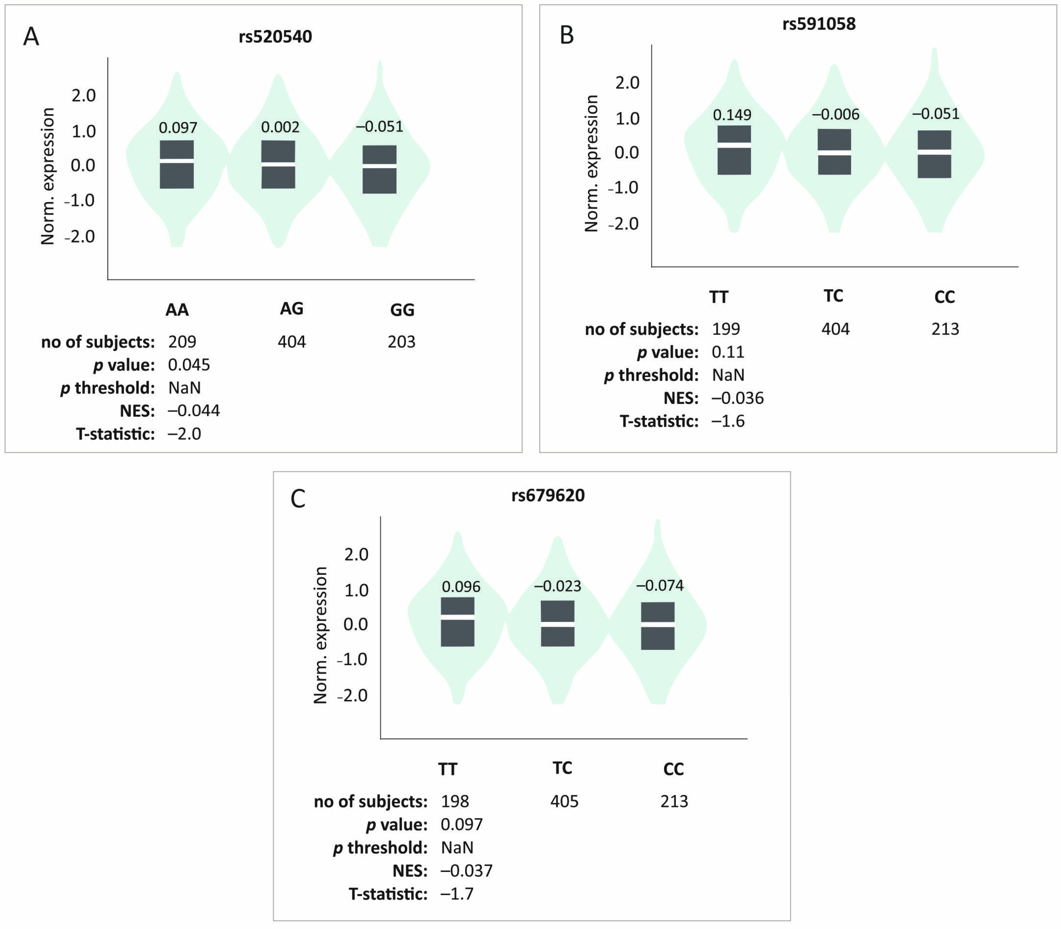
2.4. In Silico Expression Analyses
3. Discussion
4. Materials and Methods
4.1. Study Design
4.2. Patient Selection and Characteristics
4.3. PRP Separation and Injection Procedure
4.4. Genetic Analyses
4.5. Statistical Analysis
5. Conclusions
Supplementary Materials
Author Contributions
Funding
Institutional Review Board Statement
Informed Consent Statement
Data Availability Statement
Acknowledgments
Conflicts of Interest
References
- Sela-Passwell, N.; Trahtenherts, A.; Krüger, A.; Sagi, I. New opportunities in drug design of metalloproteinase inhibitors: Combination between structure-function experimental approaches and systems biology. Expert Opin. Drug Discov. 2011, 6, 527–542. [Google Scholar] [CrossRef] [PubMed]
- Nagase, H.; Visse, R.; Murphy, G. Structure and function of matrix metalloproteinases and TIMPs. Cardiovasc. Res. 2006, 69, 562–573. [Google Scholar] [CrossRef]
- de Almeida, L.G.N.; Thode, H.; Eslambolchi, Y.; Chopra, S.; Young, D.; Gill, S.; Devel, L.; Dufour, A. Matrix Metalloproteinases: From Molecular Mechanisms to Physiology, Pathophysiology, and Pharmacology. Pharmacol. Rev. 2022, 74, 714–770. [Google Scholar] [CrossRef]
- Del Buono, A.; Oliva, F.; Osti, L.; Maffulli, N. Metalloproteases and tendinopathy. Muscles Ligaments Tendons J. 2013, 3, 51–57. [Google Scholar] [CrossRef]
- Cabral-Pacheco, G.A.; Garza-Veloz, I.; Castruita-De la Rosa, C.; Ramirez-Acuña, J.M.; Perez-Romero, B.A.; Guerrero-Rodriguez, J.F.; Martinez-Avila, N.; Martinez-Fierro, M.L. The Roles of Matrix Metalloproteinases and Their Inhibitors in Human Diseases. Int. J. Mol. Sci. 2020, 21, 9739. [Google Scholar] [CrossRef]
- Millar, N.L.; Silbernagel, K.G.; Thorborg, K.; Kirwan, P.D.; Galatz, L.M.; Abrams, G.D.; Murrell, G.A.C.; McInnes, I.B.; Rodeo, S.A. Tendinopathy. Nat. Rev. Dis. Prim. 2021, 7, 1. [Google Scholar] [CrossRef]
- Ciardulli, M.C.; Scala, P.; Giudice, V.; Santoro, A.; Selleri, C.; Oliva, F.; Maffulli, N.; Porta, G.D. Stem Cells from Healthy and Tendinopathic Human Tendons: Morphology, Collagen and Cytokines Expression and Their Response to T3 Thyroid Hormone. Cells 2022, 11, 2545. [Google Scholar] [CrossRef]
- Lo, I.K.Y.; Marchuk, L.L.; Hollinshead, R.; Hart, D.A.; Frank, C.B. Matrix Metalloproteinase and Tissue Inhibitor of Matrix Metalloproteinase mRNA Levels are Specifically Altered in Torn Rotator Cuff Tendons. Am. J. Sports Med. 2004, 32, 1223–1229. [Google Scholar] [CrossRef] [PubMed]
- Riley, G. The pathogenesis of tendinopathy. A molecular perspective. Rheumatology 2004, 43, 131–142. [Google Scholar] [CrossRef]
- de Mos, M.; van El, B.; DeGroot, J.; Jahr, H.; van Schie, H.T.M.; van Arkel, E.R.; Tol, H.; Heijboer, R.; van Osch, G.J.; Verhaar, J.A. Achilles Tendinosis. Am. J. Sports Med. 2007, 35, 1549–1556. [Google Scholar] [CrossRef] [PubMed]
- Riley, G. Tendinopathy-From basic science to treatment. Nat. Clin. Pract. Rheumatol. 2008, 4, 82–89. [Google Scholar] [CrossRef]
- National Center for Biotechnology Information—Gene Base. Available online: https://www.ncbi.nlm.nih.gov/gene/ (accessed on 15 July 2025).
- Lerner, A.; Neidhöfer, S.; Reuter, S.; Matthias, T. MMP3 is a reliable marker for disease activity, radiological monitoring, disease outcome predictability, and therapeutic response in rheumatoid arthritis. Best Pract. Res. Clin. Rheumatol. 2018, 32, 550–562. [Google Scholar] [CrossRef]
- Ireland, D.; Harrall, R.; Curry, V.; Holloway, G.; Hackney, R.; Hazleman, B.; Riley, G. Multiple changes in gene expression in chronic human Achilles tendinopathy. Matrix Biol. 2001, 20, 159–169. [Google Scholar] [CrossRef]
- Raleigh, S.M.; Van Der Merwe, L.; Ribbans, W.J.; Smith, R.K.W.; Schwellnus, M.P.; Collins, M. Variants within the MMP3 gene are associated with Achilles tendinopathy: Possible interaction with the COL5A1 gene. Br. J. Sports Med. 2009, 43, 514–520. [Google Scholar] [CrossRef] [PubMed]
- Nie, G.; Wen, X.; Liang, X.; Zhao, H.; Li, Y.; Lu, J. Additional evidence supports association of common genetic variants in MMP3 and TIMP2 with increased risk of chronic Achilles tendinopathy susceptibility. J. Sci. Med. Sport. 2019, 22, 1074–1078. [Google Scholar] [CrossRef] [PubMed]
- Lopes, L.R.; Amaral, M.V.G.; Goes, R.A.; Tavares, V.; Dias, F.; Medeiros, R.; Machado, D.E.; Perini, J.A. Tenascin-C-Matrix Metalloproteinase-3 Phenotype and the Risk of Tendinopathy in High-Performance Athletes: A Case–Control Study. Diagnostics 2024, 14, 2469. [Google Scholar] [CrossRef] [PubMed]
- Landesa-Piñeiro, L.; Leirós-Rodríguez, R. Physiotherapy treatment of lateral epicondylitis: A systematic review. J. Back Musculoskelet. Rehabil. 2022, 35, 463–477. [Google Scholar] [CrossRef]
- Everts, P.; Onishi, K.; Jayaram, P.; Lana, J.F.; Mautner, K. Platelet-Rich Plasma: New Performance Understandings and Therapeutic Considerations in 2020. Int. J. Mol. Sci. 2020, 21, 7794. [Google Scholar] [CrossRef]
- Martin, J.I.; Atilano, L.; Merino, J.; Gonzalez, I.; Iglesias, G.; Areizaga, L.; Bully, P.; Grandes, G.; Andia, I. Platelet-rich plasma versus lidocaine as tenotomy adjuvants in people with elbow epicondylopathy: A randomized controlled trial. J. Orthop. Surg. Res. 2019, 14, 109. [Google Scholar] [CrossRef]
- Boesen, A.P.; Hansen, R.; Boesen, M.I.; Malliaras, P.; Langberg, H. Effect of High-Volume Injection, Platelet-Rich Plasma, and Sham Treatment in Chronic Midportion Achilles Tendinopathy: A Randomized Double-Blinded Prospective Study. Am. J. Sports Med. 2017, 45, 2034–2043. [Google Scholar] [CrossRef]
- Dadgostar, H.; Fahimipour, F.; Pahlevan Sabagh, A.; Arasteh, P.; Razi, M. Corticosteroids or platelet-rich plasma injections for rotator cuff tendinopathy: A randomized clinical trial study. J. Orthop. Surg. Res. 2021, 16, 333. [Google Scholar] [CrossRef] [PubMed]
- Wang, J.H.C. Can PRP effectively treat injured tendons? Muscles Ligaments Tendons J. 2014, 4, 35–37. [Google Scholar] [CrossRef] [PubMed]
- National Center for Biotechnology Information—SNP Base. Available online: https://www.ncbi.nlm.nih.gov/snp/ (accessed on 7 October 2024).
- GTEx Portal. Available online: https://gtexportal.org/home/testyourown (accessed on 22 April 2025).
- Sedaghat, A.R. Understanding the Minimal Clinically Important Difference (MCID) of Patient-Reported Outcome Measures. Otolaryngol. Neck Surg. 2019, 161, 551–560. [Google Scholar] [CrossRef]
- Darrieutort-Laffite, C.; Blanchard, F.; Soslowsky, L.J.; Le Goff, B. Biology and physiology of tendon healing. Jt. Bone Spine 2024, 91, 105696. [Google Scholar] [CrossRef]
- Thomopoulos, S.; Parks, W.C.; Rifkin, D.B.; Derwin, K.A. Mechanisms of tendon injury and repair. J. Orthop. Res. 2015, 33, 832–839. [Google Scholar] [CrossRef]
- Liu, S.; Kang, Q.; Zhang, R.; Li, Y.; Bao, R. Tendon Adhesion and Novel Solutions. Tendons-Trauma, Inflammation, Degeneration, and Treatment. IntechOpen 2023. [Google Scholar] [CrossRef]
- Sharma, P.; Maffulli, N. Biology of tendon injury: Healing, modeling and remodeling. J. Musculoskelet. Neuronal Interact. 2006, 6, 181–190. [Google Scholar]
- Lulińska-Kuklik, E.; Rahim, M.; Moska, W.; Maculewicz, E.; Kaczmarczyk, M.; Maciejewska-Skrendo, A.; Ficek, K.; Cieszczyk, P.; September, A.V.; Sawczuk, M. Are MMP3, MMP8 and TIMP2 gene variants associated with anterior cruciate ligament rupture susceptibility? J. Sci. Med. Sport 2019, 22, 753–757. [Google Scholar] [CrossRef]
- Guo, R.; Aizezi, A.; Fan, Y.; Ji, Z.; Li, W.; Li, Y.; Wang, Z.; Ning, K. Association between matrix metalloproteinase-3 gene polymorphisms and tendon-ligament injuries: Evidence from a meta-analysis. BMC Sport Sci. Med. Rehabil. 2022, 14, 26. [Google Scholar] [CrossRef]
- Taylor, J.; Sun, Y.V.; Chu, J.; Mosley, T.H.; Kardia, S.L. Interactions between metallopeptidase 3 polymorphism rs679620 and BMI in predicting blood pressure in African-American women with hypertension. J. Hypertens. 2008, 26, 2312–2318. [Google Scholar] [CrossRef] [PubMed]
- Beyzade, S.; Zhang, S.; Wong, Y.; Day, I.N.M.; Eriksson, P.; Ye, S. Influences of matrix metalloproteinase-3 gene variation on extent of coronary atherosclerosis and risk of myocardial infarction. J. Am. Coll. Cardiol. 2003, 41, 2130–2137. [Google Scholar] [CrossRef]
- Foster, B.P. Genetic Variation, Protein Composition and Potential Influences on Tendon Properties in Humans. Open Sport Med. J. 2012, 6, 8–21. [Google Scholar] [CrossRef]
- Guo, W.; Xu, P.; Jin, T.; Wang, J.; Fan, D.; Hao, Z.; Ji, Y.; Jing, S.; Han, C.; Du, J.; et al. MMP-3 gene polymorphisms are associated with increased risk of osteoarthritis in Chinese men. Oncotarget 2017, 8, 79491–79497. [Google Scholar] [CrossRef] [PubMed]
- Heikkinen, A.M.; Kettunen, K.; Kovanen, L.; Haukka, J.; Elg, J.; Husu, H.; Tervahartiala, T.; Pussinen, P.; Meurman, J.; Sorsa, T. Inflammatory mediator polymorphisms associate with initial periodontitis in adolescents. Clin. Exp. Dent. Res. 2016, 2, 208–215. [Google Scholar] [CrossRef]
- Yin, Y.; Zhang, Y.; Zhang, X.; Zhang, Q.; Wang, J.; Yang, T.; Liang, C.; Li, W.; Liu, J.; Ma, X.; et al. Association of MMP3, MMP14, and MMP25 gene polymorphisms with cerebral stroke risk: A case-control study. BMC Med. Genom. 2023, 16, 297. [Google Scholar] [CrossRef]
- Alfredson, H.; Lorentzon, M.; Bäckman, S.; Bäckman, A.; Lerner, U.H. cDNA-arrays and real-time quantitative PCR techniques in the investigation of chronic Achilles tendinosis. J. Orthop. Res. 2003, 21, 970–975. [Google Scholar] [CrossRef] [PubMed]
- Jelinsky, S.A.; Rodeo, S.A.; Li, J.; Gulotta, L.V.; Archambault, J.M.; Seeherman, H.J. Regulation of gene expression in human tendinopathy. BMC Musculoskelet. Disord. 2011, 12, 86. [Google Scholar] [CrossRef]
- Riley, G.P.; Curry, V.; DeGroot, J.; Van El, B.; Verzijl, N.; Hazleman, B.L.; Bank, R.A. Matrix metalloproteinase activities and their relationship with collagen remodelling in tendon pathology. Matrix Biol. 2002, 21, 185–195. [Google Scholar] [CrossRef]
- Moussa, M.; Lajeunesse, D.; Hilal, G.; El Atat, O.; Haykal, G.; Serhal, R.; Chalhoub, A.; Khalil, C.; Alaaeddine, N. Platelet rich plasma (PRP) induces chondroprotection via increasing autophagy, anti-inflammatory markers, and decreasing apoptosis in human osteoarthritic cartilage. Exp. Cell Res. 2017, 352, 146–156. [Google Scholar] [CrossRef]
- Hur, C.I.; Park, C.; Li, H.; Seon, J.K.; Kim, H.K.; Yoon, T.R.; Song, E. Effect of Autologus Platelet-Rich Plasma on IL-6, MMP-3 and MCP-1 Expression in Synoviocytes from Osteoarthritic Patients Knees. Open J. Regen. Med. 2014, 3, 64–72. [Google Scholar] [CrossRef][Green Version]
- Browning, S.R.; Weiser, A.M.; Woolf, N.; Golish, S.R.; SanGiovanni, T.P.; Scuderi, G.J.; Carballo, C.; Hanna, L.S. Platelet-Rich Plasma Increases Matrix Metalloproteinases in Cultures of Human Synovial Fibroblasts. J. Bone Jt. Surg. 2012, 94, e172. [Google Scholar] [CrossRef]
- Pifer, M.A.; Maerz, T.; Baker, K.C.; Anderson, K. Matrix metalloproteinase content and activity in low-platelet, low-leukocyte and high-platelet, high-leukocyte platelet rich plasma (PRP) and the biologic response to PRP by human ligament fibroblasts. Am. J. Sports Med. 2014, 42, 1211–1218. [Google Scholar] [CrossRef]
- Niemiec, P.; Szyluk, K.; Balcerzyk, A.; Kalita, M.; Jarosz, A.; Iwanicka, J.; Iwanicki, T.; Nowak, T.; Negru, M.; Francuz, T.; et al. Why PRP works only on certain patients with tennis elbow? Is PDGFB gene a key for PRP therapy effectiveness? A prospective cohort study. BMC Musculoskelet. Disord. 2021, 22, 710. [Google Scholar] [CrossRef]
- Hao, Q.; Devji, T.; Zeraatkar, D.; Wang, Y.; Qasim, A.; Siemieniuk, R.A.C.; Vandvik, P.O.; Lähdeoja, T.; Carrasco-Labra, A.; Agoritsas, T.; et al. Minimal important differences for improvement in shoulder condition patient-reported outcomes: A systematic review to inform a BMJ Rapid Recommendation. BMJ Open 2019, 9, e028777. [Google Scholar] [CrossRef]
- Smith-Forbes, E.V.; Howell, D.M.; Willoughby, J.; Pitts, D.G.; Uhl, T.L. Specificity of the minimal clinically important difference of the quick Disabilities of the Arm Shoulder and Hand (QDASH) for distal upper extremity conditions. J. Hand Ther. 2016, 29, 81–88. [Google Scholar] [CrossRef]
- Poltawski, L.; Watson, T. Measuring clinically important change with the Patient-rated Tennis Elbow Evaluation. Hand Ther. 2011, 16, 52–57. [Google Scholar] [CrossRef]
- National Center for Biotechnology Information—LD Matrix. Available online: https://ldlink.nih.gov/?tab=ldmatrix (accessed on 11 September 2025).
- Barrett, J.C.; Fry, B.; Maller, J.; Daly, M.J. Haploview: Analysis and visualization of LD and haplotype maps. Bioinformatics 2005, 21, 263–265. [Google Scholar] [CrossRef] [PubMed]
- Gabriel, S.B.; Schaffner, S.F.; Nguyen, H.; Moore, J.M.; Roy, J.; Blumenstiel, B.; Higgins, J.; DeFelice, M.; Lochner, A.; Faggart, M.; et al. The Structure of Haplotype Blocks in the Human Genome. Science 2002, 296, 2225–2229. [Google Scholar] [CrossRef] [PubMed]
- Dean, A.G.; Arner, T.G.; Sunki, G.G.; Friedman, R.; Lantinga, M.; Sangam, S.; Zubieta, J.C.; Sullivan, K.M.; Brendel, K.A.; Gao, Z.; et al. Epi Info™, a Database and Statistics Program for Public Health Professionals; CDC: Atlanta, GA, USA, 2011.
- Menyhart, O.; Weltz, B.; Győrffy, B. MultipleTesting.com: A tool for life science researchers for multiple hypothesis testing correction. PLoS ONE 2021, 16, e0245824, Correction in PLoS ONE 2022, 17, e0274662. [Google Scholar] [CrossRef]






| MMP3 SNPs | Chromosomal Localization * | Alleles | n ** | % | Genotypes | n ** | % | HWE p Value |
|---|---|---|---|---|---|---|---|---|
| rs520540 | 11:102,838,694 | A | 97 | 48.99 | AA | 31 | 23.48 | 0.999 |
| G | 101 | 51.01 | AG | 66 | 50.00 | |||
| GG | 35 | 26.52 | ||||||
| rs591058 | 11:102,840,607 | T | 96 | 48.73 | TT | 31 | 23.48 | 0.988 |
| C | 101 | 51.27 | TC | 65 | 49.24 | |||
| CC | 36 | 27.27 | ||||||
| rs679620 | 11:102,842,889 | T | 96 | 48.73 | TT | 31 | 23.48 | 0.988 |
| C | 101 | 51.27 | TC | 65 | 49.24 | |||
| CC | 36 | 27.27 |
| Model of Heredity | SNP | Genotype | Responders | Non-Responders | RR (95% CI) | p | ||
|---|---|---|---|---|---|---|---|---|
| n | % | n | % | |||||
| Additive | rs520540 | AA | 20 | 18.87 | 9 | 52.94 | 0.007 | |
| AG | 53 | 50.00 | 6 | 35.29 | 0.52 (0.29–0.93) | |||
| GG | 33 | 31.13 | 2 | 11.76 | ||||
| rs591058/rs679620 | TT | 20 | 18.87 | 9 | 52.94 | 0.017 | ||
| TC | 52 | 49.06 | 6 | 35.29 | 0.52 (0.30–0.94) | |||
| CC | 34 | 32.08 | 2 | 11.76 | ||||
| Dominant/recessive | rs520540 | AA | 20 | 18.87 | 9 | 52.94 | 0.006 | |
| AG/GG | 86 | 81.13 | 8 | 47.06 | ||||
| rs591058/rs679620 | TT | 20 | 18.87 | 9 | 52.94 | 0.006 | ||
| TC/CC | 86 | 81.13 | 8 | 47.06 | ||||
| Characteristics | |||
|---|---|---|---|
| General | number of subjects, N | 107 | - |
| number of elbows, n (%) | 132 | (100.00) | |
| age, median ± QD | 46.00 | 5.50 | |
| BMI, median ± QD | 25.65 | 2.00 | |
| current smokers, n (%) | 22 | (16.67) | |
| Comorbidities | diabetes mellitus, n (%) | 4 | (3.03) |
| gout, n (%) | 8 | (6.06) | |
| obesity (BMI ≥ 30), n (%) | 26 | (19.70) | |
| overweight/obesity (BMI ≥ 25), n (%) | 86 | (65.15) | |
| hypercholesterolemia, n (%) | 10 | (7.58) | |
| hypertension, n (%) | 18 | (13.64) | |
| Pain of elbow | in LE area, n (%) | 132 | (100.00) |
| during lifting, n (%) * | 117 | (90.00) | |
| when grabbing, n (%) * | 80 | (61.54) | |
| when pressing, n (%) * | 85 | (65.39) | |
| Pain radiating to the | wrist, n (%) * | 40 | (30.77) |
| forearm, n (%) * | 65 | (50.00) | |
| neck, n (%) * | 12 | (9.23) |
Disclaimer/Publisher’s Note: The statements, opinions and data contained in all publications are solely those of the individual author(s) and contributor(s) and not of MDPI and/or the editor(s). MDPI and/or the editor(s) disclaim responsibility for any injury to people or property resulting from any ideas, methods, instructions or products referred to in the content. |
© 2025 by the authors. Licensee MDPI, Basel, Switzerland. This article is an open access article distributed under the terms and conditions of the Creative Commons Attribution (CC BY) license (https://creativecommons.org/licenses/by/4.0/).
Share and Cite
Jarosz, A.; Nowak, T.; Wrona, J.; Balcerzyk-Matić, A.; Iwanicki, T.; Szyluk, K.; Iwanicka, J.; Kania, W.; Gawron, K.; Niemiec, P. The Association Between Three MMP3 Gene Polymorphisms and the Efficacy of Platelet-Rich Plasma Therapy in the Treatment of Lateral Elbow Tendinopathy—A Prospective Cohort Study. Int. J. Mol. Sci. 2025, 26, 10579. https://doi.org/10.3390/ijms262110579
Jarosz A, Nowak T, Wrona J, Balcerzyk-Matić A, Iwanicki T, Szyluk K, Iwanicka J, Kania W, Gawron K, Niemiec P. The Association Between Three MMP3 Gene Polymorphisms and the Efficacy of Platelet-Rich Plasma Therapy in the Treatment of Lateral Elbow Tendinopathy—A Prospective Cohort Study. International Journal of Molecular Sciences. 2025; 26(21):10579. https://doi.org/10.3390/ijms262110579
Chicago/Turabian StyleJarosz, Alicja, Tomasz Nowak, Justyna Wrona, Anna Balcerzyk-Matić, Tomasz Iwanicki, Karol Szyluk, Joanna Iwanicka, Wojciech Kania, Katarzyna Gawron, and Paweł Niemiec. 2025. "The Association Between Three MMP3 Gene Polymorphisms and the Efficacy of Platelet-Rich Plasma Therapy in the Treatment of Lateral Elbow Tendinopathy—A Prospective Cohort Study" International Journal of Molecular Sciences 26, no. 21: 10579. https://doi.org/10.3390/ijms262110579
APA StyleJarosz, A., Nowak, T., Wrona, J., Balcerzyk-Matić, A., Iwanicki, T., Szyluk, K., Iwanicka, J., Kania, W., Gawron, K., & Niemiec, P. (2025). The Association Between Three MMP3 Gene Polymorphisms and the Efficacy of Platelet-Rich Plasma Therapy in the Treatment of Lateral Elbow Tendinopathy—A Prospective Cohort Study. International Journal of Molecular Sciences, 26(21), 10579. https://doi.org/10.3390/ijms262110579

