Brain Atrophy and Cognitive Impairment in Primary and Secondary Progressive Multiple Sclerosis Cohort—Similar Progressive MS Phenotype
Abstract
1. Introduction
2. Results
2.1. Study Group Characteristics
2.2. MRI Results
2.3. Analysis of Neuropsychological Tests
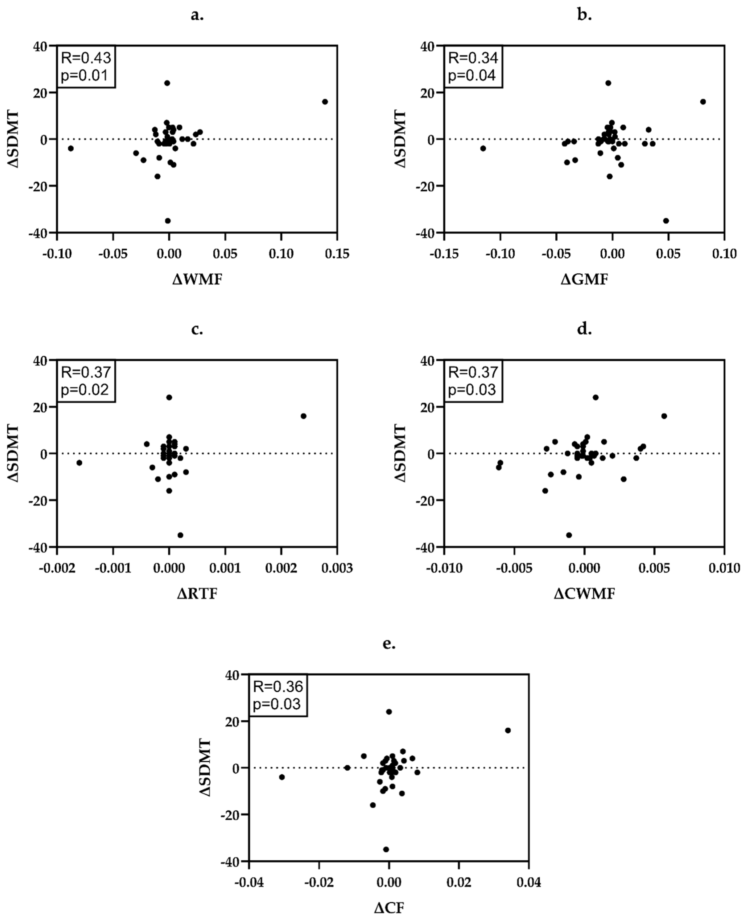
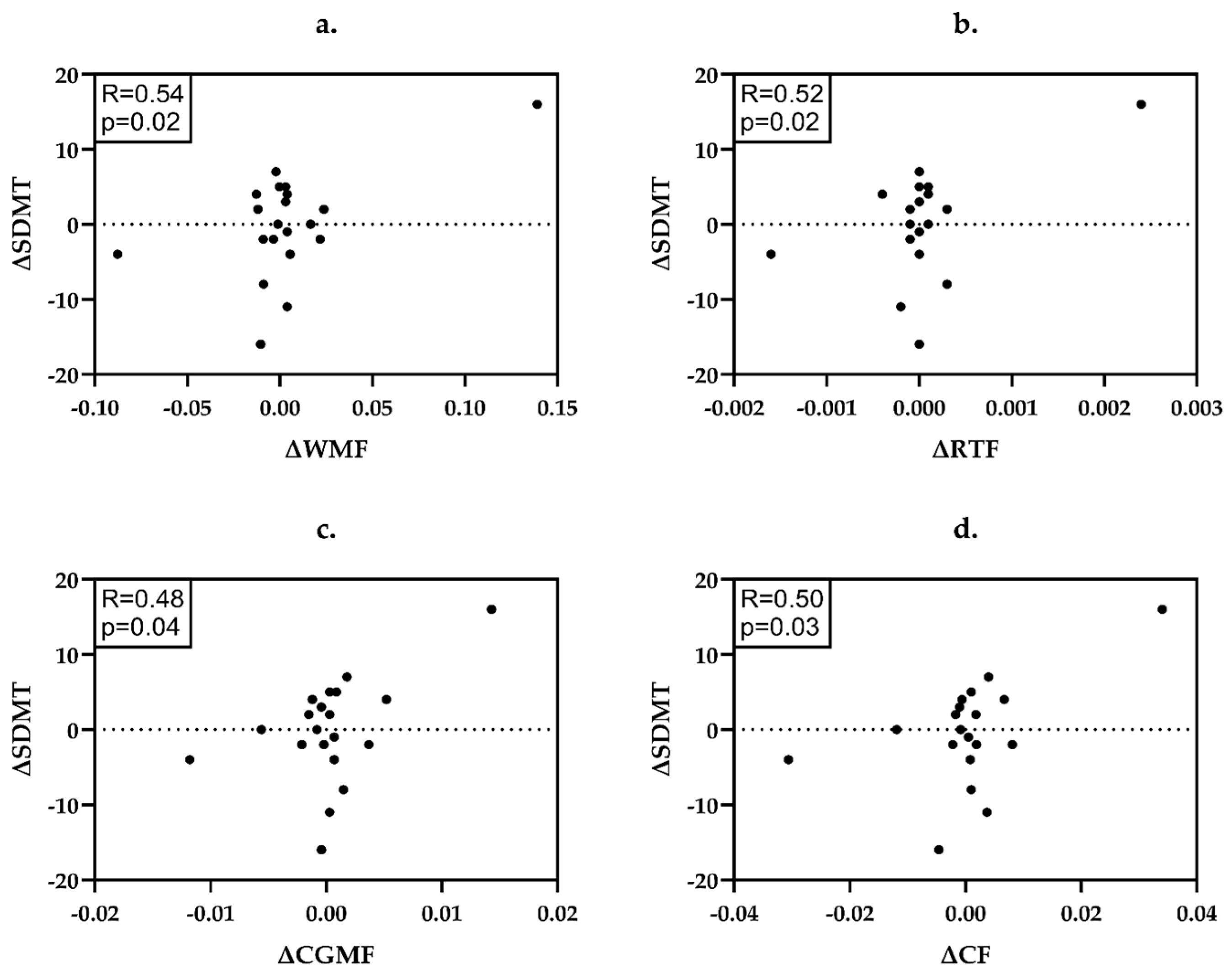
2.4. Correlations Between the Changes of Neuroradiological and Neuropsychological Parameters
3. Discussion
3.1. Brain Atrophy on MRI in PwPPMS and PwSPMS
3.2. Cognitive Impairment in PwPPMS and PwSPMS
3.3. Correlations Between MRI-Based Brain Atrophy and Cognitive Impairment in PwPPMS and PwSPMS
3.4. Potential Clinical Implications
3.5. Future Directions
3.6. Study Limitations
4. Materials and Methods
4.1. Study Group
4.2. Study Procedures
4.2.1. CI Assessment
4.2.2. MRI Examination and Assessment
4.2.3. Physical Disability Assessment
4.2.4. Statistical Analysis
5. Conclusions
Supplementary Materials
Author Contributions
Funding
Institutional Review Board Statement
Informed Consent Statement
Data Availability Statement
Acknowledgments
Conflicts of Interest
Abbreviations
| MS | Multiple sclerosis |
| CNS | Central nervous system |
| PwMS | People with multiple sclerosis |
| RRMS | Relapsing-remitting multiple sclerosis |
| SPMS | Secondary progressive multiple sclerosis |
| PPMS | Primary progressive multiple sclerosis |
| PwPPMS | People with primary progressive multiple sclerosis |
| PwSPMS | People with secondary progressive multiple sclerosis |
| PwPMS | People with progressive multiple sclerosis |
| PMS | Progressive multiple sclerosis |
| MRI | Magnetic resonance imaging |
| GM | Gray matter |
| VBM | Voxel-based morphometry |
| CI | Cognitive impairment |
| IPS | Information processing speed |
| PwRRMS | People with relapsing-remitting multiple sclerosis |
| BICAMS | Brief International Cognitive Assessment in Multiple Sclerosis |
| BRB-N | Brief Repeatable Battery of Neuropsychological Tests |
| MACFIMS | Minimal Assessment of Cognitive Function in Multiple Sclerosis |
| WM | White matter |
| DMT | Disease modifying treatment |
| EDSS | Expanded Disability Status Scale |
| MET | Moderate-efficacy therapy |
| HET | High-efficacy therapy |
| F | Female |
| M | Male |
| LTF | Left thalamic fraction |
| CCF | Corpus callosum fraction |
| CWMF | Cerebellar white matter fraction |
| RPF | Right putaminal fraction |
| WMF | White matter fraction |
| GMF | Gray matter fraction |
| BCF | Brain cortical fraction |
| RTF | Right thalamic fraction |
| LPF | Left putaminal fraction |
| LHF | Left hippocampal fraction |
| RHF | Right hippocampal fraction |
| LCPF | Left choroid plexus fraction |
| RCPF | Right choroid plexus fraction |
| CGMF | Cerebellar gray matter fraction |
| CF | Total cerebellar fraction |
| BVMT-R | Brief Visuospatial Memory Test revised |
| SDMT | Symbol Digit Modalities Test |
| CVLT | California Learning Verbal Test |
| SCWT-A | Stroop Color and Word Test subtest A |
| SCWT-B | Stroop Color and Word Test subtest B |
| RIS | Radiologically isolated syndrome |
| CSF | Cerebrospinal fluid |
| CC | Corpus callosum |
| CIS | Clinically isolated syndrome |
| FA | Fractional anisotropy |
| DTI | Diffusion tensor imaging |
| BDI-II | Beck Depression Inventory-II |
| 3DT1 | 3-dimensional isometric T1-weighted sequence |
| MPRAGE | Magnetization prepared rapid gradient echo |
| FLAIR | Fluid attenuated inversion recovery |
| BW | Body weight |
| TE | Echo time |
| TR | Repetition time |
| TI | Inversion time |
| FA | Flip angle |
| FOV | Field of view |
| ICV | Intracranial volume |
| WMV | White matter volume |
| GMV | Gray matter volume |
| BCV | Brain cortical volume |
| LTV | Left thalamic volume |
| RTV | Right thalamic volume |
| LPV | Left putaminal volume |
| RPV | Right putaminal volume |
| LHV | Left hippocampal volume |
| RHV | Right hippocampal volume |
| LCPV | Left choroid plexus volume |
| RCPV | Right choroid plexus volume |
| CCV | Corpus callosum volume |
| CWMV | Cerebellar white matter volume |
| CGMV | Cerebellar gray matter volume |
| CV | Total cerebellar volume |
References
- Murúa, S.R.; Farez, M.F.; Quintana, F.J. The Immune Response in Multiple Sclerosis. Annu. Rev. Pathol. 2022, 17, 121–139. [Google Scholar] [CrossRef]
- Lublin, F.D.; Reingold, S.C.; Cohen, J.A.; Cutter, G.R.; Sørensen, P.S.; Thompson, A.J.; Wolinsky, J.S.; Balcer, L.J.; Banwell, B.; Barkhof, F.; et al. Defining the Clinical Course of Multiple Sclerosis: The 2013 Revisions. Neurology 2014, 83, 278–286. [Google Scholar] [CrossRef]
- Ontaneda, D.; Fox, R.J. Progressive Multiple Sclerosis. Curr. Opin. Neurol. 2015, 28, 237–243. [Google Scholar] [CrossRef] [PubMed]
- Rice, G.P.A. The Natural History of Secondary Progressive Multiple Sclerosis: Observations from the London Study Group. Mult. Scler. 2002, 8, 81–82. [Google Scholar] [CrossRef]
- Cree, B.A.C.; Gourraud, P.A.; Oksenberg, J.R.; Bevan, C.; Crabtree-Hartman, E.; Gelfand, J.M.; Goodin, D.S.; Graves, J.; Green, A.J.; Mowry, E.; et al. Long-Term Evolution of Multiple Sclerosis Disability in the Treatment Era. Ann. Neurol. 2016, 80, 499–510. [Google Scholar] [CrossRef] [PubMed]
- Fambiatos, A.; Jokubaitis, V.; Horakova, D.; Kubala Havrdova, E.; Trojano, M.; Prat, A.; Girard, M.; Duquette, P.; Lugaresi, A.; Izquierdo, G.; et al. Risk of Secondary Progressive Multiple Sclerosis: A Longitudinal Study. Mult. Scler. J. 2020, 26, 79–90. [Google Scholar] [CrossRef]
- Ziemssen, T.; Hoffmann, O.; Klotz, L.; Schreiber, H.; Weber, M.S.; Rauser, B. Gaining First Insights on Secondary Progressive Multiple Sclerosis Patients Treated with Siponimod in Clinical Routine: Protocol of the Noninterventional Study AMASIA. JMIR Res. Protoc. 2020, 9, e19598. [Google Scholar] [CrossRef] [PubMed]
- The Lancet Regional Health—Europe. Is the Field of Multiple Sclerosis Ready for a Biologically Driven Continuum Framework? Lancet Reg. Health-Eur. 2024, 44, 101054. [Google Scholar] [CrossRef]
- Portaccio, E.; Magyari, M.; Havrdova, E.K.; Ruet, A.; Brochet, B.; Scalfari, A.; Di Filippo, M.; Tur, C.; Montalban, X.; Amato, M.P. Multiple Sclerosis: Emerging Epidemiological Trends and Redefining the Clinical Course. Lancet Reg. Health-Eur. 2024, 44, 100977. [Google Scholar] [CrossRef]
- Filippi, M.; Amato, M.P.; Avolio, C.; Gallo, P.; Gasperini, C.; Inglese, M.; Marfia, G.A.; Patti, F. Towards a Biological View of Multiple Sclerosis from Early Subtle to Clinical Progression: An Expert Opinion. J. Neurol. 2025, 272, 179. [Google Scholar] [CrossRef]
- Niedziela, N.; Kalinowska, A.; Kułakowska, A.; Mirowska-Guzel, D.; Rejdak, K.; Siger, M.; Stasiołek, M.; Adamczyk-Sowa, M. Clinical and Therapeutic Challenges of Smouldering Multiple Sclerosis. Neurol. Neurochir. Pol. 2024, 58, 245–255. [Google Scholar] [CrossRef]
- Stavropoulou De Lorenzo, S.; Bakirtzis, C.; Konstantinidou, N.; Kesidou, E.; Parissis, D.; Evangelopoulos, M.E.; Elsayed, D.; Hamdy, E.; Said, S.; Grigoriadis, N. How Early Is Early Multiple Sclerosis? J. Clin. Med. 2023, 13, 214. [Google Scholar] [CrossRef]
- Sandi, D.; Fricska-Nagy, Z.; Bencsik, K.; Vécsei, L. Neurodegeneration in Multiple Sclerosis: Symptoms of Silent Progression, Biomarkers and Neuroprotective Therapy—Kynurenines Are Important Players. Molecules 2021, 26, 3423. [Google Scholar] [CrossRef]
- Kaunzner, U.W.; Gauthier, S.A. MRI in the Assessment and Monitoring of Multiple Sclerosis: An Update on Best Practice. Ther. Adv. Neurol. Disord. 2017, 10, 247–261. [Google Scholar] [CrossRef]
- Filippi, M.; Preziosa, P.; Barkhof, F.; Chard, D.T.; De Stefano, N.; Fox, R.J.; Gasperini, C.; Kappos, L.; Montalban, X.; Moraal, B.; et al. Diagnosis of Progressive Multiple Sclerosis from the Imaging Perspective—A Review. JAMA Neurol. 2021, 78, 351. [Google Scholar] [CrossRef]
- Eshaghi, A.; Prados, F.; Brownlee, W.J.; Altmann, D.R.; Tur, C.; Cardoso, M.J.; De Angelis, F.; van de Pavert, S.H.; Cawley, N.; De Stefano, N.; et al. Deep Gray Matter Volume Loss Drives Disability Worsening in Multiple Sclerosis. Ann. Neurol. 2018, 83, 210–222. [Google Scholar] [CrossRef] [PubMed]
- Inglese, M.; Petracca, M.; Mormina, E.; Achiron, A.; Straus-Farber, R.; Miron, S.; Fabian, M.; Krieger, S.; Miller, A.; Lublin, F.; et al. Cerebellar Volume as Imaging Outcome in Progressive Multiple Sclerosis. PLoS ONE 2017, 12, e0176519. [Google Scholar] [CrossRef] [PubMed]
- Magon, S.; Tsagkas, C.; Gaetano, L.; Patel, R.; Naegelin, Y.; Amann, M.; Parmar, K.; Papadopoulou, A.; Wuerfel, J.; Stippich, C.; et al. Volume Loss in the Deep Gray Matter and Thalamic Subnuclei: A Longitudinal Study on Disability Progression in Multiple Sclerosis. J. Neurol. 2020, 267, 1536–1546. [Google Scholar] [CrossRef] [PubMed]
- Calabrese, M.; Rocca, M.A.; Atzori, M.; Mattisi, I.; Bernardi, V.; Favaretto, A.; Barachino, L.; Romualdi, C.; Rinaldi, L.; Perini, P.; et al. Cortical Lesions in Primary Progressive Multiple Sclerosis: A 2-Year Longitudinal MR Study. Neurology 2009, 72, 1330–1336. [Google Scholar] [CrossRef]
- Khaleeli, Z.; Ciccarelli, O.; Mizskiel, K.; Altmann, D.; Miller, D.H.; Thompson, A.J. Lesion Enhancement Diminishes with Time in Primary Progressive Multiple Sclerosis. Mult. Scler. 2010, 16, 317–324. [Google Scholar] [CrossRef]
- Thompson, A.J.; Kermode, A.G.; Wicks, D.; MacManus, D.G.; Kendall, B.E.; Kingsley, D.P.E.; McDonald, W.I. Major Differences in the Dynamics of Primary and Secondary Progressive Multiple Sclerosis. Ann. Neurol. 1991, 29, 53–62. [Google Scholar] [CrossRef] [PubMed]
- Schmierer, K.; Altmann, D.R.; Kassim, N.; Kitzler, H.; Kerskens, C.M.; Doege, C.A.; Aktas, O.; Lünemann, J.D.; Miller, D.H.; Zipp, F.; et al. Progressive Change in Primary Progressive Multiple Sclerosis Normal-Appearing White Matter: A Serial Diffusion Magnetic Resonance Imaging Study. Mult. Scler. 2004, 10, 182–187. [Google Scholar] [CrossRef] [PubMed]
- Woitek, R.; Leutmezer, F.; Dal-Bianco, A.; Furtner, J.; Kasprian, G.; Prayer, D.; Schöpf, V. Diffusion Tensor Imaging of the Normal-Appearing Deep Gray Matter in Primary and Secondary Progressive Multiple Sclerosis. Acta Radiol. 2020, 61, 85–92. [Google Scholar] [CrossRef]
- Lycklama, À.; Nijeholt, G.J.; Van Walderveen, M.A.A.; Castelijns, J.A.; Van Waesberghe, J.H.T.M.; Polman, C.; Scheltens, P.; Rosier, P.F.W.M.; Jongen, P.J.H.; Barkhof, F. Brain and Spinal Cord Abnormalities in Multiple Sclerosis. Correlation between MRI Parameters, Clinical Subtypes and Symptoms. Brain 1998, 121, 687–697. [Google Scholar] [CrossRef]
- van Walderveen, M.A.A.; à Nijeholt, G.J.L.; Adèr, H.J.; Jongen, P.J.H.; Polman, C.H.; Castelijns, J.A.; Barkhof, F. Hypointense Lesions on T1-Weighted Spin-Echo Magnetic Resonance Imaging: Relation to Clinical Characteristics in Subgroups of Patients With Multiple Sclerosis. Arch. Neurol. 2001, 58, 76–81. [Google Scholar] [CrossRef]
- Mahad, D.H.; Trapp, B.D.; Lassmann, H. Pathological Mechanisms in Progressive Multiple Sclerosis. Lancet Neurol. 2015, 14, 183–193. [Google Scholar] [CrossRef]
- Eshaghi, A.; Marinescu, R.V.; Young, A.L.; Firth, N.C.; Prados, F.; Jorge Cardoso, M.; Tur, C.; De Angelis, F.; Cawley, N.; Brownlee, W.J.; et al. Progression of Regional Grey Matter Atrophy in Multiple Sclerosis. Brain 2018, 141, 1665–1677. [Google Scholar] [CrossRef]
- Ceccarelli, A.; Rocca, M.A.; Pagani, E.; Colombo, B.; Martinelli, V.; Comi, G.; Filippi, M. A Voxel-Based Morphometry Study of Grey Matter Loss in MS Patients with Different Clinical Phenotypes. NeuroImage 2008, 42, 315–322. [Google Scholar] [CrossRef]
- Sampat, M.P.; Berger, A.M.; Healy, B.C.; Hildenbrand, P.; Vass, J.; Meier, D.S.; Chitnis, T.; Weiner, H.L.; Bakshi, R.; Guttmann, C.R.G. Regional White Matter Atrophy−Based Classification of Multiple Sclerosis in Cross-Sectional and Longitudinal Data. AJNR Am. J. Neuroradiol. 2009, 30, 1731. [Google Scholar] [CrossRef] [PubMed][Green Version]
- Portaccio, E.; Amato, M.P.; Portaccio, E.; Amato, M.P. Cognitive Impairment in Multiple Sclerosis: An Update on Assessment and Management. NeuroSci 2022, 3, 667–676. [Google Scholar] [CrossRef]
- Ziccardi, S.; Pizzini, F.B.; Guandalini, M.; Tamanti, A.; Cristofori, C.; Calabrese, M. Making Visible the Invisible: Automatically Measured Global and Regional Brain Volume Is Associated with Cognitive Impairment and Fatigue in Multiple Sclerosis. Bioengineering 2022, 10, 41. [Google Scholar] [CrossRef]
- Sousa, C.; Jacques, T.; Sá, M.J.; Alves, R.A. Cognitive Impairment in Multiple Sclerosis Phenotypes: Neuropsychological Assessment in a Portuguese Sample. Appl. Neuropsychol. Adult 2024, 31, 1153–1162. [Google Scholar] [CrossRef]
- Diker, S.; Has, A.C.; Kurne, A.; Göçmen, R.; Oğuz, K.K.; Karabudak, R. The Association of Cognitive Impairment with Gray Matter Atrophy and Cortical Lesion Load in Clinically Isolated Syndrome. Mult. Scler. Relat. Disord. 2016, 10, 14–21. [Google Scholar] [CrossRef]
- Oset, M.; Stasiolek, M.; Matysiak, M. Cognitive Dysfunction in the Early Stages of Multiple Sclerosis—How Much and How Important? Curr. Neurol. Neurosci. Rep. 2020, 20, 22. [Google Scholar] [CrossRef] [PubMed]
- Beatty, W.W.; Beatty, P.A.; Monson, N.; Hertsgaard, D.; Goodkin, D.E. Anterograde and Retrograde Amnesia in Patients with Chronic Progressive Multiple Sclerosis. Arch. Neurol. 1988, 45, 611–619. [Google Scholar] [CrossRef] [PubMed]
- Pitteri, M.; Romualdi, C.; Magliozzi, R.; Monaco, S.; Calabrese, M. Cognitive Impairment Predicts Disability Progression and Cortical Thinning in MS: An 8-Year Study. Mult. Scler. J. 2016, 23, 848–854. [Google Scholar] [CrossRef]
- Johnen, A.; Landmeyer, N.C.; Bürkner, P.C.; Wiendl, H.; Meuth, S.G.; Holling, H. Distinct Cognitive Impairments in Different Disease Courses of Multiple Sclerosis—A Systematic Review and Meta-Analysis. Neurosci. Biobehav. Rev. 2017, 83, 568–578. [Google Scholar] [CrossRef]
- Brochet, B.; Clavelou, P.; Defer, G.; De Seze, J.; Louapre, C.; Magnin, E.; Ruet, A.; Thomas-Anterion, C.; Vermersch, P. Cognitive Impairment in Secondary Progressive Multiple Sclerosis: Effect of Disease Duration, Age, and Progressive Phenotype. Brain Sci. 2022, 12, 183. [Google Scholar] [CrossRef]
- Dackovic, J.; Pekmezovic, T.; Mesaros, S.; Dujmovic, I.; Stojsavljevic, N.; Martinovic, V.; Drulovic, J. The Rao’s Brief Repeatable Battery in the Study of Cognition in Different Multiple Sclerosis Phenotypes: Application of Normative Data in a Serbian Population. Neurol. Sci. 2016, 37, 1475–1481. [Google Scholar] [CrossRef]
- Kizlaitienė, R.; Kaubrys, G.; Giedraitienė, N.; Ramanauskas, N.; Dementavičienė, J. Composite Marker of Cognitive Dysfunction and Brain Atrophy Is Highly Accurate in Discriminating Between Relapsing-Remitting and Secondary Progressive Multiple Sclerosis. Med. Sci. Monit. 2017, 23, 588–597. [Google Scholar] [CrossRef] [PubMed]
- De Meo, E.; Portaccio, E.; Giorgio, A.; Ruano, L.; Goretti, B.; Niccolai, C.; Patti, F.; Chisari, C.G.; Gallo, P.; Grossi, P.; et al. Identifying the Distinct Cognitive Phenotypes in Multiple Sclerosis. JAMA Neurol. 2021, 78, 414–425. [Google Scholar] [CrossRef]
- Schoonheim, M.M.; Broeders, T.A.A.; Geurts, J.J.G. The Network Collapse in Multiple Sclerosis: An Overview of Novel Concepts to Address Disease Dynamics. NeuroImage 2022, 35, 103108. [Google Scholar] [CrossRef]
- Sanfilipo, M.P.; Benedict, R.H.B.; Weinstock-Guttman, B.; Bakshi, R. Gray and White Matter Brain Atrophy and Neuropsychological Impairment in Multiple Sclerosis. Neurology 2006, 66, 685–692. [Google Scholar] [CrossRef] [PubMed]
- Riccitelli, G.; Rocca, M.A.; Pagani, E.; Rodegher, M.E.; Rossi, P.; Falini, A.; Comi, G.; Filippi, M. Cognitive Impairment in Multiple Sclerosis Is Associated to Different Patterns of Gray Matter Atrophy According to Clinical Phenotype. Hum. Brain Mapp. 2011, 32, 1535–1543. [Google Scholar] [CrossRef]
- Popescu, V.; Klaver, R.; Voorn, P.; Galis-De Graaf, Y.; Knol, D.L.; Twisk, J.W.R.; Versteeg, A.; Schenk, G.J.; Van Der Valk, P.; Barkhof, F.; et al. What Drives MRI-Measured Cortical Atrophy in Multiple Sclerosis? Mult. Scler. 2015, 21, 1280–1290. [Google Scholar] [CrossRef] [PubMed]
- Messina, S.; Patti, F. Gray Matters in Multiple Sclerosis: Cognitive Impairment and Structural MRI. Mult. Scler. Int. 2014, 2014, 609694. [Google Scholar] [CrossRef]
- Di Filippo, M.; Portaccio, E.; Mancini, A.; Calabresi, P. Multiple Sclerosis and Cognition: Synaptic Failure and Network Dysfunction. Nat. Rev. Neurosci. 2018, 19, 599–609. [Google Scholar] [CrossRef]
- Wilcox, O.; Amin, M.; Hancock, L.; Nakamura, K.; Lace, J.; Ontaneda, D.; Galioto, R. Associations Between Cognitive Impairment and Neuroimaging in Patients with Multiple Sclerosis. Arch. Clin. Neuropsychol. 2024, 39, 196–203. [Google Scholar] [CrossRef]
- Camp, S.J.; Stevenson, V.L.; Thompson, A.J.; Miller, D.H.; Borras, C.; Auriacombe, S.; Brochet, B.; Falautano, M.; Filippi, M.; Hérissé-Dulo, L.; et al. Cognitive Function in Primary Progressive and Transitional Progressive Multiple Sclerosis. A Controlled Study with MRI Correlates. Brain 1999, 122, 1341–1348. [Google Scholar] [CrossRef]
- Rocca, M.A.; Amato, M.P.; De Stefano, N.; Enzinger, C.; Geurts, J.J.; Penner, I.K.; Rovira, A.; Sumowski, J.F.; Valsasina, P.; Filippi, M. Clinical and Imaging Assessment of Cognitive Dysfunction in Multiple Sclerosis. Lancet Neurol. 2015, 14, 302–317. [Google Scholar] [CrossRef] [PubMed]
- Mashayekhi, F.; Sadigh-Eteghad, S.; Naseri, A.; Asadi, M.; Abbasi Garravnd, N.; Talebi, M. ApoE4-Positive Multiple Sclerosis Patients Are More Likely to Have Cognitive Impairment: A Cross-Sectional Study. Neurol. Sci. 2022, 43, 1189–1196. [Google Scholar] [CrossRef]
- Da Silva, A.M.; Cavaco, S.; Moreira, I.; Bettencourt, A.; Santos, E.; Pinto, C.; Gonçalves, A.; Coutinho, E.; Samões, R.; Dias, C.C.; et al. Cognitive Reserve in Multiple Sclerosis: Protective Effects of Education. Mult. Scler. 2015, 21, 1312–1321. [Google Scholar] [CrossRef]
- Graetz, C.; Gröger, A.; Luessi, F.; Salmen, A.; Zöller, D.; Schultz, J.; Siller, N.; Fleischer, V.; Bellenberg, B.; Berthele, A.; et al. Association of Smoking but Not HLA-DRB1*15:01, APOE or Body Mass Index with Brain Atrophy in Early Multiple Sclerosis. Mult. Scler. 2019, 25, 661–668. [Google Scholar] [CrossRef]
- Horáková, D.; Kýr, M.; Havrdová, E.; Doležal, O.; Lelková, P.; Pospíšilová, L.; Bergsland, N.; Dwyer, M.G.; Cox, J.L.; Hussein, S.; et al. Apolipoprotein E Ε4-Positive Multiple Sclerosis Patients Develop More Gray-Matter and Whole-Brain Atrophy: A 15-Year Disease History Model Based on a 4-Year Longitudinal Study. Folia Biol. 2010, 56, 242–251. [Google Scholar] [CrossRef]
- Simani, L.; Molaeipour, L.; Kian, S.; Leavitt, V.M. Correlation between Cognitive Changes and Neuroradiological Changes over Time in Multiple Sclerosis: A Systematic Review and Meta-Analysis. J. Neurol. 2024, 271, 5498–5518. [Google Scholar] [CrossRef] [PubMed]
- Gajewski, B.; Karlińska, I.; Domowicz, M.; Bednarski, I.; Świderek-Matysiak, M.; Stasiołek, M. No Relation Between Cognitive Impairment, Physical Disability and Serum Biomarkers in a Cohort of Progressive Multiple Sclerosis Patients. Biomolecules 2025, 15, 68. [Google Scholar] [CrossRef] [PubMed]
- Rotstein, D.; Montalban, X. Reaching an Evidence-Based Prognosis for Personalized Treatment of Multiple Sclerosis. Nat. Rev. Neurol. 2019, 15, 287–300. [Google Scholar] [CrossRef] [PubMed]
- Singer, B.A.; Feng, J.; Chiong-Rivero, H. Early Use of High-Efficacy Therapies in Multiple Sclerosis in the United States: Benefits, Barriers, and Strategies for Encouraging Adoption. J. Neurol. 2024, 271, 3116. [Google Scholar] [CrossRef]
- Torrico, T.J.; Munakomi, S. Neuroanatomy, Thalamus; StatPearls: Petersburg, FL, USA, 2023. [Google Scholar]
- Eshaghi, A.; Bodini, B.; Ridgway, G.R.; García-Lorenzo, D.; Tozer, D.J.; Sahraian, M.A.; Thompson, A.J.; Ciccarelli, O. Temporal and Spatial Evolution of Grey Matter Atrophy in Primary Progressive Multiple Sclerosis. NeuroImage 2014, 86, 257–264. [Google Scholar] [CrossRef]
- Rocca, M.A.; Mesaros, S.; Pagani, E.; Sormani, M.P.; Comi, G.; Filippi, M. Thalamic Damage and Long-Term Progression of Disability in Multiple Sclerosis. Radiology 2010, 257, 463–469. [Google Scholar] [CrossRef]
- Schoonheim, M.M.; Hulst, H.E.; Brandt, R.B.; Strik, M.; Wink, A.M.; Uitdehaag, B.M.J.; Barkhof, F.; Geurts, J.J.G. Thalamus Structure and Function Determine Severity of Cognitive Impairment in Multiple Sclerosis. Neurology 2015, 84, 776–783. [Google Scholar] [CrossRef]
- Coupé, P.; Planche, V.; Mansencal, B.; Kamroui, R.A.; Koubiyr, I.; Manjòn, J.V.; Tourdias, T. Lifespan Neurodegeneration of the Human Brain in Multiple Sclerosis. Hum. Brain Mapp. 2023, 44, 5602. [Google Scholar] [CrossRef] [PubMed]
- Kipp, M.; Wagenknecht, N.; Beyer, C.; Samer, S.; Wuerfel, J.; Nikoubashman, O. Thalamus Pathology in Multiple Sclerosis: From Biology to Clinical Application. Cell. Mol. Life Sci. C 2014, 72, 1127. [Google Scholar] [CrossRef] [PubMed]
- Bsteh, G.; Dal-Bianco, A.; Krajnc, N.; Berger, T. Biomarkers of Progression Independent of Relapse Activity—Can We Actually Measure It Yet? Int. J. Mol. Sci. 2025, 26, 4704. [Google Scholar] [CrossRef]
- Azevedo, C.J.; Overton, E.; Khadka, S.; Buckley, J.; Liu, S.; Sampat, M.; Kantarci, O.; Frenay, C.L.; Siva, A.; Okuda, D.T.; et al. Early CNS Neurodegeneration in Radiologically Isolated Syndrome. Neurol. Neuroimmunol. Neuroinflamm. 2015, 2, e102. [Google Scholar] [CrossRef]
- Hasan, K.M.; Walimuni, I.S.; Abid, H.; Frye, R.E.; Ewing-Cobbs, L.; Wolinsky, J.S.; Narayana, P.A. Multimodal Quantitative Magnetic Resonance Imaging of Thalamic Development and Aging across the Human Lifespan: Implications to Neurodegeneration in Multiple Sclerosis. J. Neurosci. 2011, 31, 16826–16832. [Google Scholar] [CrossRef]
- Jakimovski, D.; Silva, D.; Bergsland, N.; Dwyer, M.G.; Weinstock-Guttman, B.; Benedict, R.H.; Riolo, J.; Zivadinov, R. Therapy Effect on AI-Derived Thalamic Atrophy Using Clinical Routine MRI Protocol: A Longitudinal, Multi-Center, Propensity-Matched Multiple Sclerosis Study. Mult. Scler. Relat. Disord. 2023, 74, 104708. [Google Scholar] [CrossRef]
- Tobyne, S.; Russo, A.; Fox, R.; Klawiter, E. Thalamic Atrophy and Disability in Progressive Multiple Sclerosis Subgroups (P3.361). Neurology 2018, 90, P3-361. [Google Scholar] [CrossRef]
- Nicholson, S.; Russo, A.; Brewer, K.; Bien, H.; Eloyan, A.; Klawiter, E.; Tobyne, S. Regional Atrophy of the Thalamus as a Biomarker for Progressive Multiple Sclerosis (P12-4.007). Neurology 2022, 98, 1375. [Google Scholar] [CrossRef]
- Steenwijk, M.D.; Geurts, J.J.G.; Daams, M.; Tijms, B.M.; Wink, A.M.; Balk, L.J.; Tewarie, P.K.; Uitdehaag, B.M.J.; Barkhof, F.; Vrenken, H.; et al. Cortical Atrophy Patterns in Multiple Sclerosis Are Non-Random and Clinically Relevant. Brain 2016, 139, 115–126. [Google Scholar] [CrossRef] [PubMed]
- Goldstein, A.; Covington, B.P.; Mahabadi, N.; Mesfin, F.B. Neuroanatomy, Corpus Callosum; StatPearls: Petersburg, FL, USA, 2023. [Google Scholar]
- Fox, J.; Kraemer, M.; Schormann, T.; Dabringhaus, A.; Hirsch, J.; Eisele, P.; Szabo, K.; Weiss, C.; Amann, M.; Weier, K.; et al. Individual Assessment of Brain Tissue Changes in MS and the Effect of Focal Lesions on Short-Term Focal Atrophy Development in MS: A Voxel-Guided Morphometry Study. Int. J. Mol. Sci. 2016, 17, 489. [Google Scholar] [CrossRef]
- Odenthal, C.; Simpson, S.; Oughton, J.; van der Mei, I.; Rose, S.; Fripp, J.; Lucas, R.; Taylor, B.; Dear, K.; Ponsonby, A.L.; et al. Midsagittal Corpus Callosum Area and Conversion to Multiple Sclerosis after Clinically Isolated Syndrome: A Multicentre Australian Cohort Study. J. Med. Imaging Radiat. Oncol. 2017, 61, 453–460. [Google Scholar] [CrossRef]
- Yaldizli, Ö.; Atefy, R.; Gass, A.; Sturm, D.; Glassl, S.; Tettenborn, B.; Putzki, N. Corpus Callosum Index and Long-Term Disability in Multiple Sclerosis Patients. J. Neurol. 2010, 257, 1256–1264. [Google Scholar] [CrossRef]
- Papathanasiou, A.; Messinis, L.; Zampakis, P.; Papathanasopoulos, P. Corpus Callosum Atrophy as a Marker of Clinically Meaningful Cognitive Decline in Secondary Progressive Multiple Sclerosis. Impact on Employment Status. J. Clin. Neurosci. 2017, 43, 170–175. [Google Scholar] [CrossRef]
- Platten, M.; Brusini, I.; Andersson, O.; Ouellette, R.; Piehl, F.; Wang, C.; Granberg, T. Deep Learning Corpus Callosum Segmentation as a Neurodegenerative Marker in Multiple Sclerosis. J. Neuroimaging 2021, 31, 493–500. [Google Scholar] [CrossRef]
- Fujimori, J.; Nakashima, I. Early-Stage Volume Losses in the Corpus Callosum and Thalamus Predict the Progression of Brain Atrophy in Patients with Multiple Sclerosis. J. Neuroimmunol. 2024, 387, 578280. [Google Scholar] [CrossRef] [PubMed]
- Juha, M.; Leszek, S.; Sten, F.; Jan, H.; Jakob, B.; Olof, F.; Maria, K.W. Progression of Non-Age Related Callosal Brain Atrophy in Multiple Sclerosis. A Nine Years Longitudinal MRI Study Representing Four Decades of Disease Development. J. Neurol. Neurosurg. Psychiatry 2016, 78, 375–380. [Google Scholar] [CrossRef][Green Version]
- Ouellette, R.; Bergendal, Å.; Shams, S.; Martola, J.; Mainero, C.; Kristoffersen Wiberg, M.; Fredrikson, S.; Granberg, T. Lesion Accumulation Is Predictive of Long-Term Cognitive Decline in Multiple Sclerosis. Mult. Scler. Relat. Disord. 2018, 21, 110–116. [Google Scholar] [CrossRef] [PubMed]
- Demirbas, S.; Karaali, K.; Albayrak, Y.; Fidan, N. Segmentation with Artificial Intelligence and Automated Calculation of the Corpus Callosum Index in Multiple Sclerosis. Saudi Med. J. 2025, 46, 638–648. [Google Scholar] [CrossRef] [PubMed]
- Figueira, F.F.A.; Dos Santos, V.S.; Figueira, G.M.A.; Da Silva, Â.C.M. Corpus Callosum Index: A Practical Method for Long-Term Follow-up in Multiple Sclerosis. Arq. Neuropsiquiatr. 2007, 65, 931–935. [Google Scholar] [CrossRef] [PubMed]
- Demir, A.; Eren, F.; Ecem Yılmaz, S.; İslamoğlu, N.; Bilimleri Üniversitesi, S.; Şehir Hastanesi, K.; Kliniği, N.; Üniversitesi Tıp Fakültesi, S.; Kliniği, R.; Correspondence Ayşegül Demir, K. The Relationship Between Structural Measurements of the Corpus Callosum and Disability in Patients with Multiple Sclerosis. Genel Tıp Derg. 2022, 32, 433–438. [Google Scholar] [CrossRef]
- Evangelou, N.; Konz, D.; Esiri, M.M.; Smith, S.; Palace, J.; Matthews, P.M. Size-Selective Neuronal Changes in the Anterior Optic Pathways Suggest a Differential Susceptibility to Injury in Multiple Sclerosis. Brain 2001, 124, 1813–1820. [Google Scholar] [CrossRef]
- Ciccarelli, O.; Werring, D.J.; Barker, G.J.; Griffin, C.M.; Wheeler-Kingshott, C.A.M.; Miller, D.H.; Thompson, A.J. A Study of the Mechanisms of Normal-Appearing White Matter Damage in Multiple Sclerosis Using Diffusion Tensor Imaging: Evidence of Wallerian Degeneration. J. Neurol. 2003, 250, 287–292. [Google Scholar] [CrossRef]
- Coombs, B.D.; Best, A.; Brown, M.S.; Miller, D.E.; Corboy, J.; Baier, M.; Simon, J.H. Multiple Sclerosis Pathology in the Normal and Abnormal Appearing White Matter of the Corpus Callosum by Diffusion Tensor Imaging. Mult. Scler. 2004, 10, 392–397. [Google Scholar] [CrossRef] [PubMed]
- Ge, Y.; Law, M.; Johnson, G.; Herbert, J.; Babb, J.S.; Mannon, L.J.; Grossman, R.I. Preferential Occult Injury of Corpus Callosum in Multiple Sclerosis Measured by Diffusion Tensor Imaging. J. Magn. Reson. Imaging 2004, 20, 1–7. [Google Scholar] [CrossRef] [PubMed]
- Lin, X.; Tench, C.R.; Morgan, P.S.; Constantinescu, C.S. Use of Combined Conventional and Quantitative MRI to Quantify Pathology Related to Cognitive Impairment in Multiple Sclerosis. J. Neurol. Neurosurg. Psychiatry 2008, 79, 437–441. [Google Scholar] [CrossRef] [PubMed]
- Mesaros, S.; Rocca, M.A.; Riccitelli, G.; Pagani, E.; Rovaris, M.; Caputo, D.; Ghezzi, A.; Capra, R.; Bertolotto, A.; Comi, G.; et al. Corpus Callosum Damage and Cognitive Dysfunction in Benign MS. Hum. Brain Mapp. 2009, 30, 2656–2666. [Google Scholar] [CrossRef]
- Klawiter, E.C.; Ceccarelli, A.; Arora, A.; Jackson, J.; Bakshi, S.; Kim, G.; Miller, J.; Tauhid, S.; von Gizycki, C.; Bakshi, R.; et al. Corpus Callosum Atrophy Correlates with Gray Matter Atrophy in Patients with Multiple Sclerosis. J. Neuroimaging 2015, 25, 62–67. [Google Scholar] [CrossRef]
- Jimsheleishvili, S.; Dididze, M. Neuroanatomy, Cerebellum; StatPearls: Petersburg, FL, USA, 2023. [Google Scholar]
- Sarica, A.; Cerasa, A.; Quattrone, A. The Neurocognitive Profile of the Cerebellum in Multiple Sclerosis. Int. J. Mol. Sci. 2015, 16, 12185. [Google Scholar] [CrossRef]
- Parmar, K.; Fonov, V.S.; Naegelin, Y.; Amann, M.; Wuerfel, J.; Collins, D.L.; Gaetano, L.; Magon, S.; Sprenger, T.; Kappos, L.; et al. Regional Cerebellar Volume Loss Predicts Future Disability in Multiple Sclerosis Patients. Cerebellum 2022, 21, 632–646. [Google Scholar] [CrossRef]
- Cocozza, S.; Petracca, M.; Mormina, E.; Buyukturkoglu, K.; Podranski, K.; Heinig, M.M.; Pontillo, G.; Russo, C.; Tedeschi, E.; Russo, C.V.; et al. Cerebellar Lobule Atrophy and Disability in Progressive MS. J. Neurol. Neurosurg. Psychiatry 2017, 88, 1065–1072. [Google Scholar] [CrossRef]
- Young, C.B.; Reddy, V.; Sonne, J. Neuroanatomy, Basal Ganglia; StatPearls: Petersburg, FL, USA, 2023. [Google Scholar]
- Luo, X.; Mao, Q.; Shi, J.; Wang, X.; Li, C.-S.R. Putamen Gray Matter Volumes in Neuropsychiatric and Neurodegenerative Disorders. World J. Psychiatry Ment. Health Res. 2019, 3, 1020. [Google Scholar] [PubMed]
- Colato, E.; Stutters, J.; Narayanan, S.; Arnold, D.L.; Chataway, J.; Gandini Wheeler-Kingshott, C.A.M.; Barkhof, F.; Ciccarelli, O.; Eshaghi, A.; Chard, D.T. Longitudinal Network-Based Brain Grey Matter MRI Measures Are Clinically Relevant and Sensitive to Treatment Effects in Multiple Sclerosis. Brain Commun. 2024, 6, fcae234. [Google Scholar] [CrossRef]
- Krämer, J.; Meuth, S.G.; Tenberge, J.G.; Schiffler, P.; Wiendl, H.; Deppe, M. Early and Degressive Putamen Atrophy in Multiple Sclerosis. Int. J. Mol. Sci. 2015, 16, 23195. [Google Scholar] [CrossRef]
- Sastre-Garriga, J.; Pareto, D.; Battaglini, M.; Rocca, M.A.; Ciccarelli, O.; Enzinger, C.; Wuerfel, J.; Sormani, M.P.; Barkhof, F.; Yousry, T.A.; et al. MAGNIMS Consensus Recommendations on the Use of Brain and Spinal Cord Atrophy Measures in Clinical Practice. Nat. Rev. Neurol. 2020, 16, 171–182. [Google Scholar] [CrossRef]
- De Stefano, N.; Giorgio, A.; Battaglini, M.; Rovaris, M.; Sormani, M.P.; Barkhof, F.; Korteweg, T.; Enzinger, C.; Fazekas, F.; Calabrese, M.; et al. Assessing Brain Atrophy Rates in a Large Population of Untreated Multiple Sclerosis Subtypes. Neurology 2010, 74, 1868–1876. [Google Scholar] [CrossRef]
- Coerver, E.M.E.; Kaçar, S.; Ciccarelli, O.; Sormani, M.P.; Barkhof, F.; Arnold, D.L.; Schoonheim, M.M.; Van Kempen, Z.L.E.; Mostert, J.; Koch, M.W.; et al. Aging Is Associated with Reduced Inflammatory Disease Activity Independent of Disease Duration in Relapsing Multiple Sclerosis Trial Populations. Mult. Scler. 2024, 30, 1296. [Google Scholar] [CrossRef]
- El Garhy, N.M.; El Toukhy, M.M.; Fatouh, M.M. MR Volumetry in Detection of Brain Atrophic Changes in MS Patients and Its Implication on Disease Prognosis: Retrospective Study. Egypt. J. Radiol. Nucl. Med. 2022, 53, 78. [Google Scholar] [CrossRef]
- Kalkers, N.F.; Ameziane, N.; Bot, J.C.J.; Minneboo, A.; Polman, C.H.; Barkhof, F. Longitudinal Brain Volume Measurement in Multiple Sclerosis: Rate of Brain Atrophy Is Independent of the Disease Subtype. Arch. Neurol. 2002, 59, 1572–1576. [Google Scholar] [CrossRef] [PubMed]
- Huijbregts, S.C.J.; Kalkers, N.F.; De Sonneville, L.M.J.; De Groot, V.; Reuling, I.E.W.; Polman, C.H. Differences in Cognitive Impairment of Relapsing Remitting, Secondary, and Primary Progressive MS. Neurology 2004, 63, 335–339. [Google Scholar] [CrossRef]
- Foong, J.; Rozewicz, L.; Chong, W.K.; Thompson, A.J.; Miller, D.H.; Ron, M.A. A Comparison of Neuropsychological Deficits in Primary and Secondary Progressive Multiple Sclerosis. J. Neurol. 2000, 247, 97–101. [Google Scholar] [CrossRef]
- Renner, A.; Baetge, S.J.; Filser, M.; Ullrich, S.; Lassek, C.; Penner, I.K. Characterizing Cognitive Deficits and Potential Predictors in Multiple Sclerosis: A Large Nationwide Study Applying Brief International Cognitive Assessment for Multiple Sclerosis in Standard Clinical Care. J. Neuropsychol. 2020, 14, 347–369. [Google Scholar] [CrossRef]
- Wachowius, U.; Talley, M.; Silver, N.; Heinze, H.J.; Sailer, M. Cognitive Impairment in Primary and Secondary Progressive Multiple Sclerosis. J. Clin. Exp. Neuropsychol. 2005, 27, 65–77. [Google Scholar] [CrossRef]
- Ruet, A.; Deloire, M.; Charré-Morin, J.; Hamel, D.; Brochet, B. Cognitive Impairment Differs between Primary Progressive and Relapsing-Remitting MS. Neurology 2013, 80, 1501–1508. [Google Scholar] [CrossRef]
- Connick, P.; Chandran, S.; Bak, T.H. Patterns of Cognitive Dysfunction in Progressive MS. Behav. Neurol. 2013, 27, 259–265. [Google Scholar] [CrossRef]
- Planche, V.; Gibelin, M.; Cregut, D.; Pereira, B.; Clavelou, P. Cognitive Impairment in a Population-Based Study of Patients with Multiple Sclerosis: Differences between Late Relapsing−remitting, Secondary Progressive and Primary Progressive Multiple Sclerosis. Eur. J. Neurol. 2016, 23, 282–289. [Google Scholar] [CrossRef]
- Mistri, D.; Cacciaguerra, L.; Valsasina, P.; Pagani, E.; Filippi, M.; Rocca, M.A. Cognitive Function in Primary and Secondary Progressive Multiple Sclerosis: A Multiparametric Magnetic Resonance Imaging Study. Eur. J. Neurol. 2023, 30, 2801–2810. [Google Scholar] [CrossRef]
- Achiron, A.; Chapman, J.; Magalashvili, D.; Dolev, M.; Lavie, M.; Bercovich, E.; Polliack, M.; Doniger, G.M.; Stern, Y.; Khilkevich, O.; et al. Modeling of Cognitive Impairment by Disease Duration in Multiple Sclerosis: A Cross-Sectional Study. PLoS ONE 2013, 8, e71058. [Google Scholar] [CrossRef] [PubMed]
- Betscher, E.; Guenter, W.; Bonek, R. Memory in Polish Multiple Sclerosis Patients—Correlations with Mood and Fatigue. Psychiatr. Pol. 2021, 55, 1327–1339. [Google Scholar] [CrossRef] [PubMed]
- Ahmadian, N.; van Baarsen, K.; van Zandvoort, M.; Robe, P.A. The Cerebellar Cognitive Affective Syndrome—A Meta-Analysis. Cerebellum 2019, 18, 941–950. [Google Scholar] [CrossRef] [PubMed]
- Christodoulou, C.; Krupp, L.B.; Liang, Z.; Huang, W.; Melville, P.; Roque, C.; Scherl, W.F.; Morgan, T.; MacAllister, W.S.; Li, L.; et al. Cognitive Performance and MR Markers of Cerebral Injury in Cognitively Impaired MS Patients. Neurology 2003, 60, 1793–1798. [Google Scholar] [CrossRef] [PubMed]
- Kern, K.C.; Ekstrom, A.D.; Suthana, N.A.; Giesser, B.S.; Montag, M.; Arshanapalli, A.; Bookheimer, S.Y.; Sicotte, N.L. Fornix Damage Limits Verbal Memory Functional Compensation in Multiple Sclerosis. NeuroImage 2012, 59, 2932–2940. [Google Scholar] [CrossRef]
- Hulst, H.E.; Steenwijk, M.D.; Versteeg, A.; Pouwels, P.J.W.; Vrenken, H.; Uitdehaag, B.M.J.; Polman, C.H.; Geurts, J.J.G.; Barkhof, F. Cognitive Impairment in MS: Impact of White Matter Integrity, Gray Matter Volume, and Lesions. Neurology 2013, 80, 1025–1032. [Google Scholar] [CrossRef]
- Bodini, B.; Cercignani, M.; Khaleeli, Z.; Miller, D.H.; Ron, M.; Penny, S.; Thompson, A.J.; Ciccarelli, O. Corpus Callosum Damage Predicts Disability Progression and Cognitive Dysfunction in Primary-progressive MS after Five Years. Hum. Brain Mapp. 2012, 34, 1163. [Google Scholar] [CrossRef] [PubMed]
- Strik, M.; Dekker, I.; Ruet, A.; Hulst, H.; Wattjes, M.P.; Barkhof, F.; Uitdehaag, B.; Killestein, J.; Schoonheim, M. Regional Cerebellar Atrophy Related to Disability and Cognitive Progression in Multiple Sclerosis. NeuroImage Clin. 2025, 46, 103792. [Google Scholar] [CrossRef]
- Mirmosayyeb, O.; Nabizadeh, F.; Moases Ghaffary, E.; Yazdan Panah, M.; Zivadinov, R.; Weinstock-Guttman, B.; Benedict, R.H.B.; Jakimovski, D. Cognitive Performance and Magnetic Resonance Imaging in People with Multiple Sclerosis: A Systematic Review and Meta-Analysis. Mult. Scler. Relat. Disord. 2024, 88, 105705. [Google Scholar] [CrossRef]
- Gouveia, A.; Dias, S.P.; Santos, T.; Rocha, H.; Coelho, C.R.; Ruano, L.; Galego, O.; Diogo, M.C.; Seixas, D.; Sá, M.J.; et al. Cognitive Impairment and Magnetic Resonance Imaging Correlates in Primary Progressive Multiple Sclerosis. Acta Neurol. Scand. 2017, 136, 109–115. [Google Scholar] [CrossRef]
- Weier, K.; Penner, I.K.; Magon, S.; Amann, M.; Naegelin, Y.; Andelova, M.; Derfuss, T.; Stippich, C.; Radue, E.W.; Kappos, L.; et al. Cerebellar Abnormalities Contribute to Disability Including Cognitive Impairment in Multiple Sclerosis. PLoS ONE 2014, 9, e86916. [Google Scholar] [CrossRef]
- Pérez-Miralles, F.C.; Prefasi, D.; García-Merino, A.; Ara, J.R.; Izquierdo, G.; Meca-Lallana, V.; Gascón-Giménez, F.; Martínez-Ginés, M.L.; Ramió-Torrentà, L.; Costa-Frossard, L.; et al. Brain Region Volumes and Their Relationship with Disability Progression and Cognitive Function in Primary Progressive Multiple Sclerosis. Brain Behav. 2021, 11, e02044. [Google Scholar] [CrossRef]
- Batista, S.; Zivadinov, R.; Hoogs, M.; Bergsland, N.; Heininen-Brown, M.; Dwyer, M.G.; Weinstock-Guttman, B.; Benedict, R.H.B. Basal Ganglia, Thalamus and Neocortical Atrophy Predicting Slowed Cognitive Processing in Multiple Sclerosis. J. Neurol. 2012, 259, 139–146. [Google Scholar] [CrossRef] [PubMed]
- Jakimovski, D.; Zivadinov, R.; Weinstock, Z.; Burnham, A.; Wicks, T.R.; Suchan, C.; Sciortino, T.; Schweser, F.; Bergsland, N.; Dwyer, M.G.; et al. Cognitive Function in Severe Progressive Multiple Sclerosis. Brain Commun. 2024, 6, fcae226. [Google Scholar] [CrossRef]
- Delis, D.C.; Kaplan, E.; Kramer, J.H. Delis-Kaplan Executive Function System. PsycTESTS Dataset 2012. [Google Scholar] [CrossRef]
- Mannarelli, D.; Pauletti, C.; Missori, P.; Trompetto, C.; Cotellessa, F.; Fattapposta, F.; Currà, A. Cerebellum’s Contribution to Attention, Executive Functions and Timing: Psychophysiological Evidence from Event-Related Potentials. Brain Sci. 2023, 13, 1683. [Google Scholar] [CrossRef]
- Kuhlmann, T.; Moccia, M.; Coetzee, T.; Cohen, J.A.; Correale, J.; Graves, J.; Marrie, R.A.; Montalban, X.; Yong, V.W.; Thompson, A.J.; et al. Multiple Sclerosis Progression: Time for a New Mechanism-Driven Framework. Lancet Neurol. 2023, 22, 78–88. [Google Scholar] [CrossRef] [PubMed]
- Magliozzi, R.; Howell, O.W.; Nicholas, R.; Cruciani, C.; Castellaro, M.; Romualdi, C.; Rossi, S.; Pitteri, M.; Benedetti, M.D.; Gajofatto, A.; et al. Inflammatory Intrathecal Profiles and Cortical Damage in Multiple Sclerosis. Ann. Neurol. 2018, 83, 739–755. [Google Scholar] [CrossRef] [PubMed]
- Moccia, M.; Van De Pavert, S.; Eshaghi, A.; Haider, L.; Pichat, J.; Yiannakas, M.; Ourselin, S.; Wang, Y.; Wheeler-Kingshott, C.; Thompson, A.; et al. Pathologic Correlates of the Magnetization Transfer Ratio in Multiple Sclerosis. Neurology 2020, 95, E2965–E2976. [Google Scholar] [CrossRef] [PubMed]
- Absinta, M.; Maric, D.; Gharagozloo, M.; Garton, T.; Smith, M.D.; Jin, J.; Fitzgerald, K.C.; Song, A.; Liu, P.; Lin, J.P.; et al. A Lymphocyte-Microglia-Astrocyte Axis in Chronic Active Multiple Sclerosis. Nature 2021, 597, 709. [Google Scholar] [CrossRef]
- Yong, H.Y.F.; Yong, V.W. Mechanism-Based Criteria to Improve Therapeutic Outcomes in Progressive Multiple Sclerosis. Nat. Rev. Neurol. 2022, 18, 40–55. [Google Scholar] [CrossRef]
- Kutzelnigg, A.; Lucchinetti, C.F.; Stadelmann, C.; Brück, W.; Rauschka, H.; Bergmann, M.; Schmidbauer, M.; Parisi, J.E.; Lassmann, H. Cortical Demyelination and Diffuse White Matter Injury in Multiple Sclerosis. Brain 2005, 128, 2705–2712. [Google Scholar] [CrossRef]
- Howell, O.W.; Reeves, C.A.; Nicholas, R.; Carassiti, D.; Radotra, B.; Gentleman, S.M.; Serafini, B.; Aloisi, F.; Roncaroli, F.; Magliozzi, R.; et al. Meningeal Inflammation Is Widespread and Linked to Cortical Pathology in Multiple Sclerosis. Brain 2011, 134, 2755–2771. [Google Scholar] [CrossRef]
- Frischer, J.M.; Weigand, S.D.; Guo, Y.; Kale, N.; Parisi, J.E.; Pirko, I.; Mandrekar, J.; Bramow, S.; Metz, I.; Brück, W.; et al. Clinical and Pathological Insights into the Dynamic Nature of the White Matter Multiple Sclerosis Plaque. Ann. Neurol. 2015, 78, 710–721. [Google Scholar] [CrossRef] [PubMed]
- Klaver, R.; Popescu, V.; Voorn, P.; Galis-De Graaf, Y.; Van Der Valk, P.; De Vries, H.E.; Schenk, G.J.; Geurts, J.J.G. Neuronal and Axonal Loss in Normal-Appearing Gray Matter and Subpial Lesions in Multiple Sclerosis. J. Neuropathol. Exp. Neurol. 2015, 74, 453–458. [Google Scholar] [CrossRef] [PubMed]
- Fransen, N.L.; Crusius, J.B.A.; Smolders, J.; Mizee, M.R.; van Eden, C.G.; Luchetti, S.; Remmerswaal, E.B.M.; Hamann, J.; Mason, M.R.J.; Huitinga, I. Post-Mortem Multiple Sclerosis Lesion Pathology Is Influenced by Single Nucleotide Polymorphisms. Brain Pathol. 2020, 30, 106–119. [Google Scholar] [CrossRef]
- Vandebergh, M.; Andlauer, T.F.M.; Zhou, Y.; Mallants, K.; Held, F.; Aly, L.; Taylor, B.V.; Hemmer, B.; Dubois, B.; Goris, A. Genetic Variation in WNT9B Increases Relapse Hazard in Multiple Sclerosis. Ann. Neurol. 2021, 89, 884–894. [Google Scholar] [CrossRef] [PubMed]
- Taloni, A.; Farrelly, F.A.; Pontillo, G.; Petsas, N.; Giannì, C.; Ruggieri, S.; Petracca, M.; Brunetti, A.; Pozzilli, C.; Pantano, P.; et al. Evaluation of Disability Progression in Multiple Sclerosis via Magnetic-Resonance-Based Deep Learning Techniques. Int. J. Mol. Sci. 2022, 23, 10651. [Google Scholar] [CrossRef] [PubMed]
- Thompson, A.J.; Banwell, B.L.; Barkhof, F.; Carroll, W.M.; Coetzee, T.; Comi, G.; Correale, J.; Fazekas, F.; Filippi, M.; Freedman, M.S.; et al. Diagnosis of Multiple Sclerosis: 2017 Revisions of the McDonald Criteria. Lancet Neurol. 2018, 17, 162–173. [Google Scholar] [CrossRef]
- Lorscheider, J.; Buzzard, K.; Jokubaitis, V.; Spelman, T.; Havrdova, E.; Horakova, D.; Trojano, M.; Izquierdo, G.; Girard, M.; Duquette, P.; et al. Defining Secondary Progressive Multiple Sclerosis. Brain 2016, 139, 2395–2405. [Google Scholar] [CrossRef]
- Beck, A.T.; Steer, R.A.; Ball, R.; Ranieri, W.F. Comparison of Beck Depression Inventories -IA and -II in Psychiatric Outpatients. J. Pers. Assess. 1996, 67, 588–597. [Google Scholar] [CrossRef]
- Betscher, E.; Guenter, W.; Langdon, D.W.; Bonek, R. Polish Validation of the Brief International Cognitive Assessment for Multiple Sclerosis (BICAMS Battery): Correlation of Cognitive Impairment with Mood Disorders and Fatigue. Neurol. Neurochir. Pol. 2021, 55, 59–66. [Google Scholar] [CrossRef]
- Gajewski, B.; Karlińska, I.; Stasiołek, M. Symbol Digit Modalities Test in Progressive Multiple Sclerosis. Neurol. Neurochir. Pol. 2024, 58, 221–232. [Google Scholar] [CrossRef]
- Potticary, H.; Langdon, D. A Systematic Review and Meta-Analysis of the Brief Cognitive Assessment for Multiple Sclerosis (BICAMS) International Validations. J. Clin. Med. 2023, 12, 703. [Google Scholar] [CrossRef]
- Dusankova, J.B.; Kalincik, T.; Havrdova, E.; Benedict, R.H.B. Cross Cultural Validation of the Minimal Assessment of Cognitive Function in Multiple Sclerosis (MACFIMS) and the Brief International Cognitive Assessment for Multiple Sclerosis (BICAMS). Clin. Neuropsychol. 2012, 26, 1186–1200. [Google Scholar] [CrossRef]
- Stroop, J.R. Studies of Interference in Serial Verbal Reactions. J. Exp. Psychol. 1935, 18, 643–662. [Google Scholar] [CrossRef]
- Scarpina, F.; Tagini, S. The Stroop Color and Word Test. Front. Psychol. 2017, 8, 557. [Google Scholar] [CrossRef]
- Rościszewska-żukowska, I.; Podyma, M.; Stasiołek, M.; Siger, M. Thalamus Atrophy in the Peri-Pregnancy Period in Clinically Stable Multiple Sclerosis Patients: Preliminary Results. Brain Sci. 2021, 11, 1270. [Google Scholar] [CrossRef]
- Puzio, T.; Matera, K.; Karwowski, J.; Piwnik, J.; Białkowski, S.; Podyma, M.; Dunikowski, K.; Siger, M.; Stasiołek, M.; Grzelak, P.; et al. Deep Learning-Based Automatic Segmentation of Brain Structures on MRI: A Test-Retest Reproducibility Analysis. Comput. Struct. Biotechnol. J. 2025, 28, 128–140. [Google Scholar] [CrossRef]
- Whitwell, J.L.; Crum, W.R.; Watt, H.C.; Fox, N.C. Normalization of Cerebral Volumes by Use of Intracranial Volume: Implications for Longitudinal Quantitative MR Imaging. AJNR Am. J. Neuroradiol. 2001, 22, 1483. [Google Scholar] [PubMed]
- Kurtzke, J.F. Rating Neurologic Impairment in Multiple Sclerosis: An Expanded Disability Status Scale (EDSS). Neurology 1983, 33, 1444–1452. [Google Scholar] [CrossRef] [PubMed]
- Kappos, L.; Wolinsky, J.S.; Giovannoni, G.; Arnold, D.L.; Wang, Q.; Bernasconi, C.; Model, F.; Koendgen, H.; Manfrini, M.; Belachew, S.; et al. Contribution of Relapse-Independent Progression vs Relapse-Associated Worsening to Overall Confirmed Disability Accumulation in Typical Relapsing Multiple Sclerosis in a Pooled Analysis of 2 Randomized Clinical Trials. JAMA Neurol. 2020, 77, 1132–1140. [Google Scholar] [CrossRef] [PubMed]



| Parameter | PwPMS (N = 39) | PwPPMS (N = 20) | PwSPMS (N = 19) | p-Value * | ||||
|---|---|---|---|---|---|---|---|---|
| Mean | SD | Mean | SD | Mean | SD | |||
| Age [years] | 54.51 | 7.77 | 54.40 | 7.07 | 54.63 | 8.64 | 0.9277 | |
| Sex [F/M] | 27/12 | 13/7 | 14/5 | 0.8101 | ||||
| Years of education [years] | 12.72 | 3.11 | 12.85 | 3.34 | 12.58 | 2.93 | 0.7890 | |
| Disease duration [years] | 13.87 | 9.38 | 8.00 | 6.08 | 20.05 | 8.26 | 0.00001 | |
| EDSS baseline | 5.18 | 1.14 | 4.75 | 1.16 | 5.63 | 0.96 | 0.0137 | |
| EDSS follow-up | 5.51 | 1.16 | 5.13 | 1.28 | 5.92 | 0.87 | 0.0287 | |
| Therapy [N (%)] | HET | 14 (36%) | 10 (50%) | 4 (21%) | ||||
| MET | 12 (31%) | 0 (0%) | 12 (63%) | |||||
| other | 2 (5%) | 2 (10%) | 0 (0%) | |||||
| no DMT | 11 (28%) | 8 (40%) | 3 (16%) | |||||
| Δ Fraction [%] | PwPMS (N = 39) | PwPPMS (N = 20) | PwSPMS (N = 19) | p-Value * | |||
|---|---|---|---|---|---|---|---|
| Mean | SD | Mean | SD | Mean | SD | ||
| ΔWMF | 0.1081 | 2.8856 | 0.4147 | 3.9935 | −0.2845 | 1.2447 | 0.4732 |
| ΔGMF | −0.3491 | 2.9575 | −0.3633 | 3.5637 | −0.3168 | 2.3348 | 0.9621 |
| ΔBCF | −0.2378 | 1.8664 | −0.3410 | 2.6084 | −0.1245 | 0.6986 | 0.7299 |
| ΔLTF | 0.0013 | 0.0330 | −0.0001 | 0.0471 | 0.0024 | 0.0084 | 0.8263 |
| ΔRTF | 0.0021 | 0.0493 | 0.0034 | 0.0708 | 0.0004 | 0.0116 | 0.8553 |
| ΔLPF | −0.0008 | 0.0214 | −0.0006 | 0.0269 | −0.0010 | 0.0152 | 0.9539 |
| ΔRPF | −0.0041 | 0.0169 | −0.0045 | 0.0227 | −0.0045 | 0.0095 | 0.9945 |
| ΔLHF | −0.0020 | 0.0237 | −0.0013 | 0.0289 | −0.0036 | 0.0178 | 0.7672 |
| ΔRHF | −0.0016 | 0.0216 | −0.0016 | 0.0294 | −0.0019 | 0.0106 | 0.9643 |
| ΔLCPF | −0.0001 | 0.0151 | −0.0014 | 0.0197 | 0.0008 | 0.0094 | 0.6561 |
| ΔRCPF | −0.0010 | 0.0178 | −0.0024 | 0.0226 | 0.0006 | 0.0122 | 0.6130 |
| ΔCCF | −0.0041 | 0.0215 | −0.0026 | 0.0263 | −0.0081 | 0.0191 | 0.4627 |
| ΔCWMF | −0.0018 | 0.2313 | 0.0128 | 0.2663 | −0.0418 | 0.2186 | 0.4893 |
| ΔCGMF | 0.0239 | 0.6762 | 0.0491 | 0.9634 | 0.0074 | 0.1804 | 0.8547 |
| ΔCF | 0.0221 | 0.8141 | 0.0620 | 1.1563 | −0.0344 | 0.2558 | 0.7264 |
| Test | Baseline | p-Value * | Follow-Up | p-Value * | p-Value ** | ||||||||||||
|---|---|---|---|---|---|---|---|---|---|---|---|---|---|---|---|---|---|
| PwPMS (N = 39) | PwPPMS (N = 20) | PwSPMS (N = 19) | PwPMS (N = 39) | PwPPMS (N = 20) | PwSPMS (N = 19) | PwPMS (N = 39) | PwPPMS (N = 20) | PwSPMS (N = 19) | |||||||||
| Mean | SD | Mean | SD | Mean | SD | Mean | SD | Mean | SD | Mean | SD | ||||||
| BICAMS | 1.21 | 0.86 | 1.05 | 0.89 | 1.37 | 0.83 | 0.2544 | 1.34 | 0.97 | 1.25 | 1.02 | 1.44 | 0.92 | 0.5408 | 0.0960 | 0.0421 | 0.6676 |
| SDMT | 32.51 | 11.24 | 32.95 | 13.96 | 32.05 | 7.79 | 0.8047 | 32.39 | 13.45 | 32.85 | 15.43 | 31.89 | 11.26 | 0.8266 | 0.9626 | 0.9486 | 1.0000 |
| CVLT | 50.00 | 10.73 | 51.50 | 8.99 | 48.42 | 12.35 | 0.3821 | 49.21 | 11.26 | 51.60 | 10.85 | 46.56 | 11.42 | 0.1725 | 0.8291 | 0.9371 | 0.7218 |
| BVMT-R | 18.74 | 7.43 | 19.50 | 8.29 | 17.89 | 6.48 | 0.5066 | 17.03 | 7.61 | 17.20 | 7.72 | 16.82 | 7.72 | 0.8833 | 0.0209 | 0.0338 | 0.3614 |
| SCWT-A | 28.97 | 7.07 | 28.90 | 9.03 | 29.05 | 4.43 | 0.9466 | 29.55 | 7.27 | 29.70 | 9.17 | 29.39 | 4.58 | 0.8941 | 0.4363 | 0.4183 | 0.8424 |
| SCWT-B | 71.74 | 24.25 | 75.16 | 28.64 | 68.32 | 19.08 | 0.3927 | 71.89 | 23.87 | 73.16 | 28.94 | 70.56 | 17.78 | 0.7426 | 0.9027 | 0.3193 | 0.3079 |
| Δ Test | PwPMS (N = 39) | PwPPMS (N = 20) | PwSPMS (N = 19) | p-Value * | |||
|---|---|---|---|---|---|---|---|
| Mean | SD | Mean | SD | Mean | SD | ||
| ΔBICAMS | 0.10 | 0.50 | 0.20 | 0.41 | 0.00 | 0.58 | 0.2235 |
| ΔSDMT | −0.95 | 8.79 | −0.10 | 6.84 | −1.84 | 10.58 | 0.5482 |
| ΔCVLT | −2.05 | 12.92 | 0.10 | 5.59 | −4.32 | 17.57 | 0.3070 |
| ΔBVMT-R | −2.10 | 5.27 | −2.30 | 4.50 | −1.89 | 6.10 | 0.8155 |
| ΔSCWT-A | −0.18 | 5.74 | 0.80 | 4.32 | −1.21 | 6.90 | 0.2871 |
| ΔSCWT-B | −0.16 | 8.01 | −2.00 | 8.51 | 1.78 | 7.17 | 0.1527 |
Disclaimer/Publisher’s Note: The statements, opinions and data contained in all publications are solely those of the individual author(s) and contributor(s) and not of MDPI and/or the editor(s). MDPI and/or the editor(s) disclaim responsibility for any injury to people or property resulting from any ideas, methods, instructions or products referred to in the content. |
© 2025 by the authors. Licensee MDPI, Basel, Switzerland. This article is an open access article distributed under the terms and conditions of the Creative Commons Attribution (CC BY) license (https://creativecommons.org/licenses/by/4.0/).
Share and Cite
Gajewski, B.; Siger, M.; Karlińska, I.; Bednarski, I.A.; Świderek-Matysiak, M.; Stasiołek, M. Brain Atrophy and Cognitive Impairment in Primary and Secondary Progressive Multiple Sclerosis Cohort—Similar Progressive MS Phenotype. Int. J. Mol. Sci. 2025, 26, 8523. https://doi.org/10.3390/ijms26178523
Gajewski B, Siger M, Karlińska I, Bednarski IA, Świderek-Matysiak M, Stasiołek M. Brain Atrophy and Cognitive Impairment in Primary and Secondary Progressive Multiple Sclerosis Cohort—Similar Progressive MS Phenotype. International Journal of Molecular Sciences. 2025; 26(17):8523. https://doi.org/10.3390/ijms26178523
Chicago/Turabian StyleGajewski, Bartosz, Małgorzata Siger, Iwona Karlińska, Igor A. Bednarski, Mariola Świderek-Matysiak, and Mariusz Stasiołek. 2025. "Brain Atrophy and Cognitive Impairment in Primary and Secondary Progressive Multiple Sclerosis Cohort—Similar Progressive MS Phenotype" International Journal of Molecular Sciences 26, no. 17: 8523. https://doi.org/10.3390/ijms26178523
APA StyleGajewski, B., Siger, M., Karlińska, I., Bednarski, I. A., Świderek-Matysiak, M., & Stasiołek, M. (2025). Brain Atrophy and Cognitive Impairment in Primary and Secondary Progressive Multiple Sclerosis Cohort—Similar Progressive MS Phenotype. International Journal of Molecular Sciences, 26(17), 8523. https://doi.org/10.3390/ijms26178523

