Next Article in Journal
Antioxidant and Cytotoxic Evaluation of Aqueous Extracts from Hymenochaetaceae Fungi Associated with Endemic Chilean Sclerophyll Forest Trees
Next Article in Special Issue
Potential Therapeutic Appliances of Dietary Polyphenols: Resveratrol and Curcumin in Treatment of Gliomas
Previous Article in Journal
The Circadian Rhythm Gene Network Could Distinguish Molecular Profile and Prognosis for Glioblastoma
Previous Article in Special Issue
Time Does Matter: The Cellular Response to Resveratrol Varies Depending on the Exposure Duration
 
 
Font Type:
Arial Georgia Verdana
Font Size:
Aa Aa Aa
Line Spacing:
Column Width:
Background:
Article

Design, Synthesis, Theoretical Study, and Antioxidant Activity of Aromaticity-Extended Resveratrol Derivatives Incorporating Chalcogen

1
Transportation Environmental Research Department, Korea Railroad Research Institute, Uiwang 16105, Republic of Korea
2
Department of Chemistry and Institute of Applied Chemistry, Hallym University, Chuncheon 24252, Republic of Korea
3
Department of Chemistry and Institute for Molecular Science and Fusion Technology, Kangwon National University, Chuncheon 24341, Republic of Korea
*
Authors to whom correspondence should be addressed.
These authors contributed equally to this work.
Int. J. Mol. Sci. 2025, 26(12), 5872; https://doi.org/10.3390/ijms26125872
Submission received: 16 May 2025 / Revised: 10 June 2025 / Accepted: 14 June 2025 / Published: 19 June 2025

Abstract

Naturally occurring antioxidants have attracted significant research interest, owing to their radical scavenging ability that can be improved via structural modifications. In this study, aromaticity-extended resveratrol analogues (35) containing chalcogens were designed and synthesized using ring closure and Horner–Wadsworth–Emmons reactions. The antioxidant activities of the derivatives were evaluated using 2,2′-azino-bis(3-ethylbenzothiazoline-6-sulfonic acid) (ABST) assay. All resveratrol derivatives (35) exhibited higher radical scavenging activities than resveratrol 1 and analogue 2, with benzoselenophene-conjugated derivative 5 demonstrating the highest activity. The improved antioxidant performance of the resveratrol derivatives was attributed to the extended π conjugation resulting from the incorporation of fused rings, benzoheteroles. Additionally, the integration of benzoheteroles into resveratrol contributed to an efficient reduction in HOMO-LUMO gaps. This study demonstrates that aromaticity extension by introducing benzofuran, benzothiophene, and benzoselenophene is a feasible strategy for improving the antioxidant activity of naturally occurring oxidants.

Graphical Abstract

1. Introduction

Reactive oxygen species (ROS) induce oxidative damage to cells, particularly targeting DNA, proteins, and lipids. This oxidative stress is a key factor in cancer development, as DNA damage can result in mutations, abnormal cell growth, and disrupted differentiation [1]. Antioxidant components in enzymes and food scavenge ROS to hinder radical chain reactions, thereby reducing lipid peroxidation and cellular damage. To prevent cellular damage, the body has a complex network of antioxidant defenses that includes enzymatic and non-enzymatic antioxidants; however, an imbalance of antioxidants and ROS in the body leads to oxidative stress, which can cause cellular damage and a number of diseases [2,3]. Therefore, adequate supplementation with exogenous antioxidants is essential to protect the body from diseases. Exogenous antioxidants are classified as either synthetic or natural. Synthetic antioxidants, such as butylated hydroxyanisole (BHA) and butylated hydroxytoluene (BHT), are widely used because of their low costs and high antioxidant activities [4]. However, excessive use and improper application of synthetic antioxidants have been associated with side effects such as cancer [5]. Consequently, research has focused on deriving antioxidants from natural sources with relatively few side effects [5,6]. Plant-derived natural antioxidants, such as phenolic compounds, are widely used as additives in food, medicine, and cosmetics because of their ability to inhibit oxidative stress caused by lipid oxidation and ROS. Resveratrol (3,5,4′-trihydroxy-trans-stilbene) (1) (Figure 1) is a naturally occurring phenolic stilbenoid found mainly in grapes, mulberries, and peanuts. Previous studies have shown that resveratrol 1 exhibits antioxidant, anticancer, anti-inflammatory, antidiabetic, and cardioprotective properties [7]. The antioxidant activity of resveratrol can be attributed to several chemical and biological mechanisms, including the stabilization of free radicals, inhibition of lipid peroxidation, and upregulation of endogenous antioxidant enzymes [7,8]. Notably, compared to resorcinol, the hydroxyl group of the phenol moiety in resveratrol has been reported to exhibit superior hydrogen transfer and peroxyl radical scavenging activities [9]. To improve biological activity of phenoxy radicals, structural modification via elongating conjugation and encapsulation with a bovine serum albumin (BSA)–caffeic acid (CA) conjugate has been suggested [10,11,12,13]. The extended π conjugation of phenoxy radicals has been proposed as a strategy for stabilizing their resonance and enhancing their scavenging properties. In particular, aromaticity extension can contribute to the elongation of π-conjugated systems, maximizing delocalization and lowering the dissociation energy of phenolic O–H bonds [10]. Fused ring systems facilitate charge delocalization in cyclic conjugation, making them promising approaches to achieve the aromaticity extension strategy [14]. A previous study on π-extended resveratrol derivatives, including compound 2 with fused benzene rings, revealed enhanced ABTS radical scavenging activities compared to resveratrol [8].
In this study, we designed resveratrol derivatives 35 with extended aromaticity by introducing fused rings containing chalcogens such as benzofuran, benzothiophene, and benzoselenophene (Figure 1). In each designed compound, the chalcogen atoms contribute two π electrons, resulting in a total of ten π electrons. This satisfies Hückel’s rule for aromaticity, with the π-electrons delocalized throughout the fused ring systems. The synthetic routes to compounds 35 are discussed, and their antioxidant activities are compared in relation to the extended aromaticity, including a bicyclic π system found in resveratrol derivative 2 [8]. Although benzofuran and benzothiophene do not inherently possess significant antioxidant activity, their derivatives with phenolic hydroxyl groups, capable of scavenging free radicals or donating hydrogen atoms, can exhibit antioxidant properties. Thus, benzofuran and benzothiophene have been used as building blocks for the synthesis of heterocyclic compounds that show biological activities [15,16]. Selenium is an essential trace element that plays many biological roles in the body, including antioxidation, antitumor, and anti-inflammatory activities. In particular, selenophene derivatives have shown antioxidant activities, such as the neutralization and scavenging of free radicals and other ROS [9,16,17]. Therefore, this study aimed to propose synthetic routes and compare the radical scavenging activities of new resveratrol derivatives with fused heterocyclic rings.

2. Results and Discussion

2.1. Preparation of the Resveratrol Derivatives

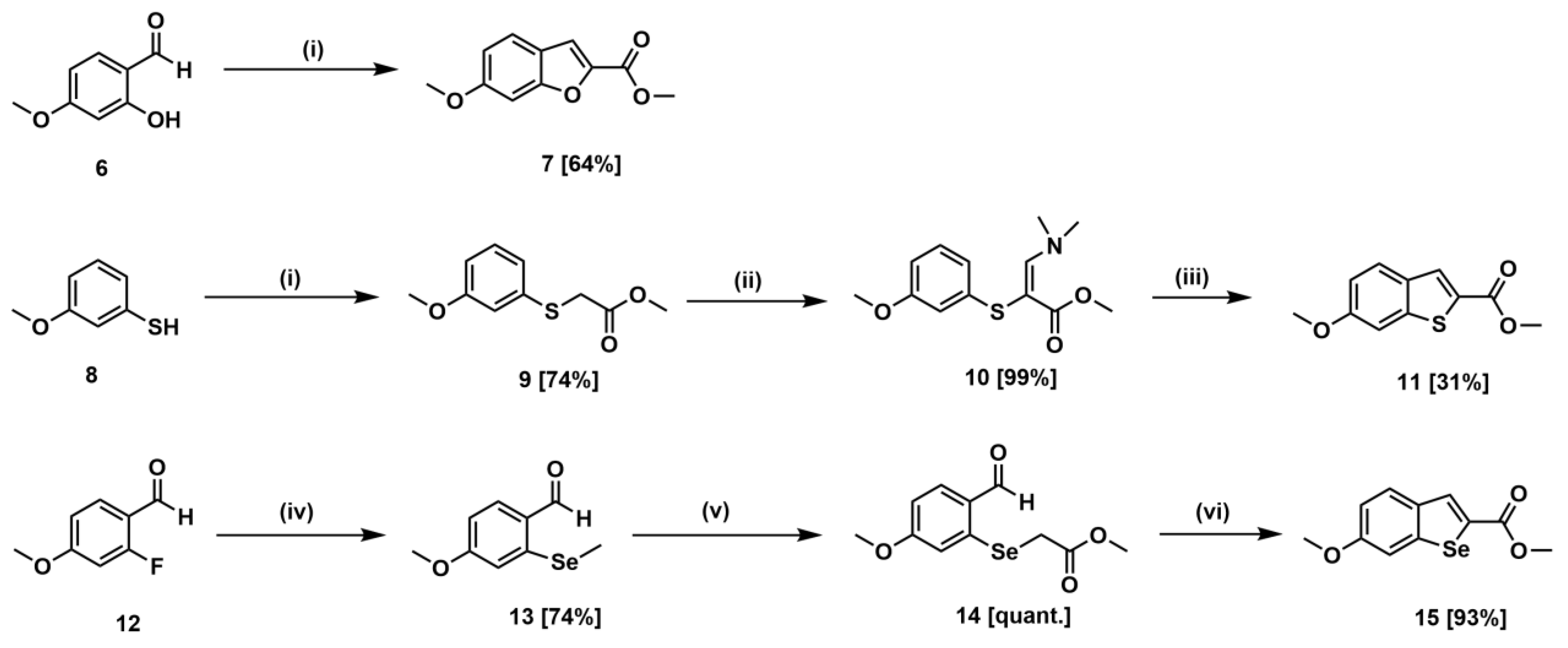
The synthesis of resveratrol derivatives 3, 4, and 5 commenced with the formation of benzofuran, benzothiophene, and benzoselenophene derivatives 7, 11, and 15, respectively (Scheme 1). Derivative 2 was synthesized according to the previously reported method [8]. Treatment of 2-hydroxy-4-methoxybenzaldehye 6 with methyl bromoacetate in the presence of K2CO3 afforded methyl 6-methoxybenzofuran-2-carboxylate 7 in 64% yield. In a Rap–Stoermer reaction to synthesize benzofuran derivatives, the use of CH3CN as the solvent resulted in a higher yield of compound 7 (64%) compared to dimethylformamide (DMF), which provided a yield of 27%. For the synthesis of 6-methoxybenzo[b]thiophene-2-carboxylate 11, 3-methoxybenzenethiol 8 was used as the starting material. The thiol moiety of 3-methoxybenzenethiol 8 was transformed into thioacetate 9 in 74% yield using methyl bromoacetate and K2CO3. To generate an enamine fragment at the α carbon of the carbonyl group, compound 9 underwent a condensation reaction with DMF-dimethylformamide dimethyl acetal (DMA), yielding dimethylaminomethylene derivative 10. A ring closure reaction of 10, performed using iodine in chloroform, afforded 6-methoxybenzo[b]thiophene-2-carboxylate 11 in 31% yield. To synthesize benzoselenophene derivative 15, 2-fluoro-4-methoxybenzaldehyde 12 was treated with a mixture of dimethyl diselenide and dithiothreitol in DMF. In an addition–elimination reaction, methyl selenoate served as a more effective nucleophile than ethyl selenoate because of its lower steric hindrance, resulting in a 74% yield of 4-methoxy-2-(methylselanyl)benzaldehyde 13. Under reflux conditions, with excess methyl bromoacetate, 4-methoxy-2-(methylselanyl)benzaldehyde quantitatively transformed into methyl 2-((2-formyl-5-methoxyphenyl)selanyl)acetate 14. The formation of α carbon in selanyl acetate 14 facilitated cyclization and dehydration under K2CO3, affording 6-methoxybenzo[b]selenophene-2-carboxylate 15 in 93% yield.
Compound 7, 11, and 15, obtained through cyclization, underwent the same synthetic route to afford π-extended target molecules 3, 4, and 5 as shown in Scheme 2. The methoxy substituents of compounds 7, 11, and 15 were replaced with benzyl-protecting groups, allowing for simultaneous deprotection with other benzyl groups in the final step. BBr3 was used for the demethylation of compounds 7, 11, and 15 to produce 7.1, 11.1, and 15.1 with yields ranging from 62% to 93%. Subsequent protection with benzyl bromide afforded carboxylates 7.2, 11.2, and 15.2 in yields ranging from 92% to quantitative. To introduce conjugated vinyl benzene, carboxylates 7.2, 11.2, and 15.2 were transformed to carbaldehydes 7.4, 11.4, and 15.4, respectively, through quantitative lithium aluminum hydride (LAH) reduction followed by 2-iodoxybenzoic acid (IBX) oxidation, achieving yields ranging from 82% to quantitative. During the oxidation of (6-(benzyloxy)benzofuran-2-yl)methanol 7.3, IBX afforded carboxaldehyde 7.4 in 82% yield, whereas MnO2 showed no reactivity and pyridinium dichromate (PDC) resulted in a lower yield of 40%.
To conjugate E-alkene with carbaldehydes 7.4, 11.4, and 15.4, a Horner–Wadsworth– Emmons reaction was performed with diethyl 3,5-bis(benzyloxy)benzylphosphonate and NaH [8]. Using DMF as the solvent, the olefination of carbaldehyde 7.4 formed (E)-6-(benzyloxy)-2-(3,5-bis(benzyloxy)styryl)-benzofuran 7.5 in 76% yield, which is significantly higher than the 20% yield obtained using THF as the solvent. Under identical conditions, the Horner–Wadsworth–Emmons reaction produced (E)-6-(benzyloxy)-2-(3,5-bis(benzyloxy)styryl)benzo[b]thiophene 11.5 and (E)-6-(benzyloxy)-2-(3,5-bis(benzyloxy)styryl)benzo[b]selenophene 15.5 in 81% and 84% yields, respectively. Finally, deprotection of benzyl groups using AlCl3 afforded π-extended resveratrol derivatives 3, 4, and 5 in 36%, 37%, and 40% yields, respectively, whereas BBr3 did not work for deprotection.

2.2. Antioxidant Activity

To evaluate the antioxidant activities of the designed compounds, an ABTS scavenging assay was used [18]. An ABTS assay is efficient for estimating antioxidant capacity and involves electron transfer reduction by antioxidants. The ABTS assay measures the reduction of a blue–green ABTS radical cation, which shows a decrease in absorbance at 734 nm upon interaction with antioxidants. Free radical scavenging activities of compounds 15, determined using the ABTS assay, are presented in Figure 2. Radical inhibition activities of derivatives 25 increased sharply as the concentration increased, exceeding that of resveratrol 1, although compound 2 was the least effective at low concentrations. Half-maximal inhibitory concentration (IC50) values indicate the concentration of the sample required to reduce the initial free radical concentration by 50%. As listed in Table 1, derivatives 2, 3, 4, and 5 exhibited IC50 values of 4.16 ± 0.12, 3.39 ± 0.59, 3.02 ± 0.30, and 2.75 ± 0.30 μM, respectively. These results indicate that compounds 25 possess superior scavenging activities relative to resveratrol 1, which has an IC50 of 5.15 ± 0.35 μM. The enhanced antioxidant activities of resveratrol derivatives 25 as compared to those of resveratrol 1 can be attributed to the improved stabilization of radical species such as phenoxy radicals via delocalization of the π electrons by extended and planar π conjugation. In comparison to resveratrol analogue 2 fused with the benzene ring, the derivatives 3, 4, and 5 fused with heterocyclic compounds exhibited enhanced ABTS radical scavenging activity. Notably, the IC50 values against ABTS radicals improved with the atomic number of the chalcogen in the benzoheteroles 3, 4, and 5. While the high electronegativity of oxygen in the benzofuran moiety can reduce π delocalization, the larger and more polarizable selenium enhances π delocalization. In addition to ABTS, DPPH scavenging assays were also used for compounds 1, 3, 4, and 5 [19]. According to Figure S1 and Table S1, resveratrol 1 displayed negligible antioxidant activity in the DPPH assay, exhibiting an IC50 value exceeding 100 μM. In contrast, derivatives 3, 4, and 5 showed significant antioxidant properties, exhibiting IC50 values of 40.20 ± 0.89, 46.52 ± 3.42, and 36.71 ± 1.41 μM, respectively. While the derivative 3, containing benzofuran, showed a better IC50 value than that of derivative 4 with benzothiophene in the DPPH assay, derivative 5 demonstrated the highest antioxidant activity in both the ABTS and DPPH assays.
Extended conjugation in resveratrol derivatives 25 was further explored by performing calculations using B3LYP/6-31G+(d,p) in the gas phase and MeOH, the results of which are presented in Table 2. HOMO-LUMO gaps of derivatives 25 in both the gas phase and MeOH were smaller than that of resveratrol 1, with similar energy gaps observed among derivatives 35. Compared to naphthalene analogue 2, derivatives 35 with benzoheteroles showed smaller energy gaps. These theoretical observations align with the improved ABTS radical scavenging activity of compounds 35. Benzofuran, benzothiophene, and benzoselenophene are known to have planar structures that contribute to the extension of π conjugation [14,20,21]. In addition, the excitation in the UV spectral energies were observed to shift toward lower energies as the size of the chalcogens of the benzoheteroles increases, resulting in a systematic decrease in the HOMO–LUMO gap [14]. Therefore, the findings from the aforementioned literature also provide a rationale for the superior antioxidant activities of derivatives 35 compared to the parent, resveratrol 1. Especially, benzoselenophene-conjugated derivative 5, exhibiting the highest antioxidant activity in the ABTS assay, was identified as the most efficient antioxidant among the studied derivatives.

3. Materials and Methods

3.1. Materials

All chemicals were obtained from Aldrich (St. Louis, MO, USA), TCI (Tokyo, Japan), Alfa Aesar (Heysham, UK), Junsei (Tokyo, Japan), Samchun (Seoul, Republic of Korea), and Burdick & Jackson (Muskegon, MI, USA) and were used without further purification. All solvents used for reactions were freshly distilled using appropriate dehydrating agents under argon or purchased as anhydrous solvents. All solvents used for chromatography were purchased and used without further purification. 1H-NMR spectra were recorded on a Varian Mercury (Varian, CA, USA) 300 MHz FT-NMR and 75 MHz for 13C, with the chemical shift (δ) reported in parts per million (ppm) downfield relative to TMS and the coupling constants (J) quoted in Hz. Peak splitting patterns were abbreviated as s (singlet), d (doublet), t (triplet), q (quartet), dd (doublet of doublet), and m (multiplet). CDCl3, CD3OD, (CD3)2CO, or DMSO-d6 was used as a solvent, and TMS (tetramethylsilane) was used an internal standard in NMR measurement. Mass spectra were recorded using JEOL’s JMS-700 (JEOL, Tokyo, Japan)/Agilent-5977E/Agilent-7802A (Agilent, Santa Clara, CA, USA) spectrometer. High-resolution mass spectra were recorded on a JMS-700 (JEOL, Tokyo, Japan) spectrometer. Reactions were monitored by thin-layer chromatography (TLC) on silica gel 60 F254 (Merck, Darmstadt, Germany) plates and visualized by UV light (254 nm) or stained with p-anisaldehyde and phosphomolybdic acid. Chromatographic purification was carried out using Silica gel 60 (230-400 mesh, Merck, Darmstadt, Germany).

3.2. Syntheses

3.2.1. Methyl 6-Methoxybenzofuran-2-carboxylate (7)

K2CO3 (2.73 g, 19.72 mmol) and methyl bromoacetate (0.75 mL, 7.89 mmol) were added to a stirred solution of compound 6 (1.0 g, 6.57 mmol) in CH3CN (65 mL). The reaction mixture was refluxed for 4 h under argon. After the reaction was completed, the reaction mixture was brought to room temperature, filtered through a Celite® pad, and washed with CH3CN (15 mL). Then, the filtrate was concentrated under reduced pressure. The residue was purified by column chromatography (EtOAc/hexane = 1/8) to yield compound 7 (0.88 g, 4.27 mmol, 64.7%) as a white solid. 1H NMR (300 MHz, CDCl3) δ: 3.84 (s, 3H), 3.93 (s, 3H), 6.91 (dd, J = 8.7, 2.1 Hz, 1H), 7.02 (d, J = 2.1 Hz, 1H), 7.43 (s, 1H), 7.50 (d, J = 8.7 Hz, 1H); 13C NMR (75 MHz, CDCl3) δ: 52.2, 55.5, 95.4, 113.8, 114.1, 119.9, 122.9, 144.3, 156.8, 159.7, 160.3; GC-MS m/z 206 (M+, base).

3.2.2. Methyl 6-Hydroxybenzofuran-2-carboxylate (7.1)

A stirred solution of compound 7 (0.4 g, 1.94 mmol) in anhydrous CH2Cl2 (12 mL) was cooled to −20 °C under an argon atmosphere. BBr3 (1.0 M in CH2Cl2, 0.4 mL, 4.27 mmol) was then added dropwise. After 30 min of stirring at −20 °C, the reaction mixture was brought to room temperature and stirred for an additional 3 h. Then, the reaction mixture was cooled again to 0 °C, and MeOH (2 mL) was slowly added to quench the excess BBr3, followed by stirring for 10–15 min. The reaction mixture was extracted with CH2Cl2 (3 × 30 mL), and the combined organic layers were washed with distilled H2O (2 × 25 mL) and brine (25 mL), dried over anhydrous Na2SO4, and concentrated in vacuo. The residue was purified by column chromatography (EtOAc/hexane = 1/2) to afford compound 7.1 (0.23 g, 62.2%) as a white solid. 1H NMR (300 MHz, CD3OD) δ: 3.98 (s, 3H), 6.82 (dd, J = 8.7, 2.1 Hz, 1H), 6.90 (d, J = 2.1 Hz, 1H), 7.47 (s, 1H), 7.49 (d, J = 8.7 Hz, 1H); 13C NMR (75 MHz, CD3OD) δ: 52.7, 98.6, 115.3, 115.7, 120.7, 124. 5, 145.3, 158.8, 160.0, 161.6; GC-MS m/z 192 (M+, base).

3.2.3. Methyl 6-(Benzyloxy)benzofuran-2-carboxylate (7.2)

K2CO3 (0.80 g, 5.78 mmol) and benzyl bromide (0.55 mL, 4.62 mmol) were added to a solution of compound 7.1 (0.74 g, 3.85 mmol) in acetone (10 mL) under an argon atmosphere at room temperature. The solution was refluxed for 4 h with stirring, and the reaction mixture was brought to room temperature, filtered through a Celite® pad, and washed with acetone (15 mL). The filtrate was concentrated in vacuo. The residue was dissolved in EtOAc (50 mL) and washed with distilled H2O (2 × 15 mL) and brine (15 mL), dried over anhydrous Na2SO4, and concentrated in vacuo. The residue was purified by column chromatography (EtOAc/hexane = 1/4) to afford compound 7.2 (1.00 g, 3.54 mmol, 92.6%) as a white solid. 1H NMR (300 MHz, CDCl3) δ: 3.94 (s, 3H), 5.10 (s, 2H), 7.00 (dd, J = 8.7, 2.1 Hz, 1H), 7.10 (d, J = 2.1 Hz, 1H), 7.31–7.44 (m, 6H), 7.52 (d, J = 8.7 Hz, 1H); 13C NMR (75 MHz, CDCl3) δ: 52.5, 71.0, 97.5, 114.2, 114.8, 120.7, 123.2, 127.6, 128.2, 128.8, 136.7, 145.1, 157.2, 159.8, 159.9; GC-MS m/z 282 (M+, base).

3.2.4. (6-(Benzyloxy)benzofuran-2-yl)methanol (7.3)

LiAlH4 (2.0 M in THF, 2.71 mL, 5.31 mmol, 1.5 eq.) was added dropwise to a stirred solution of compound 7.2 (1.0 g, 3.54 mmol) in THF (5 mL) at 0 °C under an argon atmosphere. After completion of addition, the reaction mixture was brought to room temperature and stirred for an additional 90 min. After the reaction was completed, the reaction mixture was cooled to 0 °C, and the excess LiAlH4 was quenched by aq. sat. K2CO3 solution (1 mL). Then, the resulting mixture was filtered through a Celite® pad and washed with EtOAc (20 mL). The filtrate was dried over Na2SO4 and concentrated in vacuo to afford compound 7.3 (0.90 g, quantitative) as a white solid. 1H NMR (300 MHz, CDCl3) δ: 1.65 (br s, 1H), 4.70 (s, 2H), 5.08 (s, 2H), 6.56 (s, 1H), 6.92 (dd, J = 8.1, 2.1 Hz, 1H), 7.04 (d, J = 2.1 Hz, 1H), 7.30–7.44 (m, 6H); 13C NMR (75 MHz, CDCl3) δ: 52.3, 71.0, 97.5, 114.2, 114.8, 120.7, 123.2, 127.6, 128.2, 128.8, 136.7, 145.1, 157.2, 159.8; GC-MS m/z 254 (M+, base).

3.2.5. 6-(Benzyloxy)benzofuran-2-carbaldehyde (7.4)

A mixture of compound 7.3 (0.29 g, 1.14 mmol) and IBX (2-iodoxybenzoic acid, 0.48 g, 1.71 mmol) in DMSO (5 mL) was stirred for 2 h at 90 °C under an argon atmosphere. After the addition of EtOAc (40 mL), the organic layer was washed with aq. sat. NaHCO3 solution (15 mL) and distilled H2O (3 × 15 mL) and brine (2 × 15 mL) and dried over anhydrous Na2SO4. Solvent evaporation under reduced pressure yielded compound 7.4 (0.24 g, 82.7%) as a yellow solid. 1H NMR (300 MHz, CDCl3) δ: 5.13 (s, 2H), 7.07 (dd, J = 8.7, 2.1 Hz, 1H), 7.09 (d, J = 2.1 Hz, 1H), 7.03–7.47 (m, 6H), 7.59 (d, J = 8.7 Hz, 1H), 9.72 (s, 1H); 13C NMR (75 MHz, CDCl3) δ: 70.9, 97.3, 115.4, 117.7, 120.4, 123.9, 127.4, 128.2, 128.6, 136.3, 152.8, 157.9, 160.8, 178.4; GC-MS m/z 252 (M+, base).

3.2.6. (E)-6-(Benzyloxy)-2-(3,5-bis(benzyloxy)styryl)benzofuran (7.5)

Diethyl 3,5-bis(benzyloxy)benzylphosphonate (0.80 g, 1.82 mmol) in DMF (4 mL) was added dropwise to a suspension of NaH (60% in mineral oil, 0.13 g, 5.47 mmol) in DMF (3 mL) at 0 °C and stirred for 20~30 min. Compound 7.4 (0.46 g, 1.82 mmol) in DMF (5 mL) was transferred dropwise to the above mixture under an argon atmosphere. The resulting mixture was brought to room temperature and stirred for 3 h. After the reaction was completed, distilled H2O (5 mL) was added to the reaction mixture slowly to quench excess NaH. The resulting mixture was extracted with EtOAc (3 × 30 mL). The combined organic layer was washed with distilled H2O (2 × 15 mL) and brine (15 mL), dried over anhydrous Na2SO4, and concentrated in vacuo. The residue was purified by column chromatography (EtOAc/hexane = 1/8) to afford compound 7.5 (0.75g, 76.5%) as a yellow solid. 1H NMR (300 MHz, CDCl3) δ: 5.04 (s, 4H), 5.09 (s, 2H), 6.54 (t, J = 2.2 Hz, 1H), 6.57 (s, 1H) 6.74 (d, J = 2.2 Hz, 2H) 6.88 (d, J = 15.9 Hz, 1H), 6.90 (dd, J = 8.4, 2.2 Hz, 1H), 7.05 (d, J = 2.2 Hz, 1H), 7.11 (d, J = 15.9 Hz, 1H), 7.35–7.45 (m, 16H); 13C NMR (75 MHz, CDCl3) δ: 70.2, 70.6, 96.9, 101.9, 105.4, 105.8, 112.5, 117.0, 120.9, 122.6, 127.3, 127.4, 127.9, 128.5, 128.7, 136.7, 136,8, 138.7, 154.1, 155.8, 157.4, 160.0; MS (EI+) m/z 538 (M+, base), 447, 356, 265.

3.2.7. (E)-5-(2-(6-Hydroxybenzofuran-2-yl)vinyl)benzene-1,3-diol (3)

AlCl3 (4.34 g, 32.53 mmol) was added to a mixture of compound 7.5 (0.73 g, 1.36 mmol) and N,N-dimethylaniline (2.96 mL, 24.40 mmol) in DCM (10 mL) under an argon atmosphere and stirred for 3 h at room temperature. After the reaction was completed, 1M HCl (10 mL) was added to the mixture dropwise at 0 °C and stirred for 10 min. The reaction mixture was extracted with EtOAc (3 × 30 mL). The combined organic layer was washed with aq. sat. NaHCO3 solution (15 mL) and distilled H2O (2 × 15 mL) and brine (15 mL) dried over anhydrous Na2SO4, and concentrated in vacuo. The residue was purified by column chromatography (CH2Cl2/MeOH = 97/3), yielding 3 (0.13 g, 36.1%) as a yellow solid. 1H NMR (300 MHz, (CD3)2CO) δ 8.58 (br s, 1H), 8.33 (br s, 2H), 7.35 (dd, J = 8.4, 0.8 Hz, 1H), 7.03 (d, J = 16.0 Hz, 1H), 6.98 (d, J = 16.0 Hz, 1H), 6.94 (d, J = 2.0 Hz, 1H) 6.77 (dd, J = 8.4, 2.0 Hz, 1H), 6.71 (d, J = 0.8 Hz, 1H), 6.57 (d, J = 2.0 Hz, 1H), 6.31 (t, J = 2.0 Hz, 1H); 13C NMR (75 MHz, (CD3)2CO) δ 98.5, 103.7, 106.2, 113.2, 117.5, 121.9, 122.7, 129.6, 139.8, 154.9, 157.0, 157.1, 159.6; MS (EI+) m/z 268 (M+, base); HRMS m/z (M+) calcd for C16H12O4: 268.0736, Found: 268.0734.

3.2.8. Methyl 2-((3-Methoxyphenyl)thio)acetate (9)

Methyl bromoacetate (0.18 mL, 1.95 mmol) was added to a stirred suspension of compound 8 (0.228 g, 1.63 mmol) and K2CO3 (0.67 g, 4.88 mmol) in acetone (6 mL) under an argon atmosphere at room temperature. After 5 h of refluxing, the reaction mixture was brought to room temperature, filtered through Celite®, and washed with acetone (10 mL). Then, the filtrate was concentrated in vacuo. The residue was dissolved in EtOAc (50 mL), washed with 1N HCl (10 mL), distilled H2O (2 × 15 mL) and brine (15 mL), dried over anhydrous Na2SO4, and concentrated in vacuo. The residue was purified by column chromatography (EtOAc/hexane = 1/8) to afford compound 9 (0.26 g, 74.3%) as a clear liquid. 1H NMR (300 MHz, CDCl3) δ: 3.65 (s, 2H), 3.71 (s, 3H), 3.78 (s, 3H), 6.74 (d, J = 7.2 Hz, 1H), 6.93 (s, 1H), 6.94 (d, J = 7.8 Hz, 1H), 7.19 (t, J = 7.9 Hz, 1H); 13C NMR (75 MHz, CDCl3) δ: 36.5, 52.5, 55,3, 112.9, 115.1, 121.8, 130.0, 136.3, 159.9, 169.8; GC-MS m/z 212 (M+, base).

3.2.9. Methyl 3-(Dimethylamino)-2-((3-methoxyphenyl)thio)acrylate (10)

A solution of compound 9 (9.0 g, 42.40 mmol) in N,N-dimethylformamide dimethyl acetal (6.1 mL, 45.93 mmol) was stirred for 10 h at 80 °C under argon. After the completion of the reaction, the reaction mixture was brought to room temperature. The residue resulting from in vacuo solvent evaporation was purified by column chromatography (EtOAc/hexane = 1/4) to obtain compound 10 (11.31 g, 99.8%) as a brown liquid. 1H NMR (300 MHz, CDCl3) δ: 3.08 (s, 6H), 3.57 (s, 3H), 3.65 (s, 3H), 6.50 (d, J = 7.8 Hz, 1H), 6.60 (s, 1H), 6.63 (d, J = 8.1 Hz, 1H), 7.04 (t, J = 7.8 Hz, 1H) 7.98 (s, 1H); 13C NMR (75 MHz, CDCl3) δ: 42.6, 51.3, 54.8, 81.7, 109.6, 110.2, 116.8, 129.1, 129.3, 142.2, 155.3, 159.7, 169.6; GC-MS m/z 267 (M+, base).

3.2.10. Methyl 6-Methoxybenzo[b]thiophene-2-carboxylate (11)

A mixture of compound 10 (1.00 g, 3.74 mmol) and iodine (2.56 g, 10.10 mmol) in anhydrous CH2Cl2 (10 mL) was refluxed for 12 h under argon. After the completion of the reaction, the reaction mixture was diluted with CH2Cl2 (30 mL), washed sequentially with aq. sat. Na2S2O3 (2 × 15 mL), distilled H2O (2 × 15 mL) and brine (15 mL), dried over anhydrous Na2SO4, and concentrated in vacuo. The residue was purified with column chromatography (EtOAc/hexane = 1/30) to afford compound 11 (0.26 g, 1.17 mmol, 31.3%) as a white solid. 1H NMR (300 MHz, CDCl3) δ 3.88 (s, 3H), 3.92 (s, 3H), 7.00 (dd, J = 8.8, 2.0 Hz, 1H), 7.26 (s, 1H), 7.72 (d, J = 8.8 Hz, 1H), 7.95 (s, 1H); 13C NMR (75 MHz, CDCl3) δ: 52.2, 55.7, 104.6, 115.7, 126.2, 130.3, 130.7, 132.8, 144.3, 159.5, 163.1; GC-MS m/z 222 (M+, base).

3.2.11. Methyl 6-Hydroxybenzo[b]thiophene-2-carboxylate (11.1)

BBr3 (1.0 M solution in CH2Cl2, 2.2 mL, 2.24 mmol) was added slowly to a stirred solution of compound 11 (0.25 g, 1.12 mmol) in anhydrous CH2Cl2 (5 mL) at 0 °C under an argon atmosphere. After stirring for 2 h at 0 °C and an additional 2 h at room temperature, the resulting mixture was cooled again to 0 °C. Then, MeOH (2 mL) was added slowly to quench the excess BBr3, followed by 20 min of stirring at room temperature. The reaction mixture was diluted with CH2Cl2 (35 mL), washed with distilled H2O (2 × 10 mL) and brine (10 mL), dried over anhydrous Na2SO4, and concentrated in vacuo. The residue was purified by column chromatography (EtOAc/hexane = 1/8) to obtain compound 11.1 (0.19 g, 82.6 %) as a white solid. 1H NMR (300 MHz, CD3OD) δ: 3.87 (s, 3H), 6.92 (d, J = 8.8 Hz, 1H), 7.20 (s, 1H), 7.71 (d, J = 8.8 Hz, 1H) 7.92 (s, 1H); 13C NMR (75 MHz, CD3OD) δ: 52.7, 107.8, 116.8, 127.5, 130.5, 131.7, 133.2, 145.6, 158.8, 164.8; GC-MS m/z 208 (M+, base).

3.2.12. Methyl 6-(Benzyloxy)benzo[b]thiophene-2-carboxylate (11.2)

Benzyl bromide (0.57 mL, 4.80 mmol) was added to a suspension of compound 11.1 (1.00 g, 4.80 mmol) and K2CO3 (1.33 g, 9.60 mmol) in acetone (20 mL) under an argon atmosphere at room temperature. After 10 h of refluxing, the reaction mixture was brought to room temperature, filtered through Celite®, and washed with acetone (10 mL). The filtrate was concentrated in vacuo. The residue was dissolved in EtOAc (45 mL), washed with 1N HCl (10 mL), distilled H2O (2 × 10 mL) and brine (10 mL), dried over anhydrous Na2SO4, and concentrated under reduced pressure. The residue was purified by column chromatography (EtOAhc/hexane = 1/10) to obtain compound 11.2 (1.42 g, 4.76 mmol, 99.3%) as a white solid. 1H NMR (300 MHz, CDCl3) δ: 3.91 (s, 3H), 5.12, (s, 2H), 7.08 (dd, J = 8.8, 1.9 Hz, 1H), 7.34–7.45 (m, 6H), 7.73 (d, J = 8.8 Hz, 1H), 7.96 (s, 1H); 13C NMR (75 MHz, CDCl3) δ: 52.3, 70.6, 105.9, 116.2, 126.3, 127.4, 128.1, 128.6, 130.3, 130.9, 133.0, 136.5, 144.1, 158.6, 163.1; GC-MS m/z 298 (M+, base).

3.2.13. (6-(Benzyloxy)benzo[b]thiophen-2-yl)methanol (11.3)

Following the same method used for the preparation of compound 7.3, treatment of compound 11.2 (1.4 g, 4.69 mmol) in anhydrous THF (10 mL) with LiAlH4 (2.0 M in THF, 5.6 mL, 5.63 mmol, 1.2 eq.) afforded compound 11.3 (1.26 g, 99.2%) as a white solid. 1H NMR (300 MHz, CDCl3) δ: 2.13 (br s, 1H), 4.83 (s, 2H), 5.08 (s, 2H), 7.02 (dd, J = 8.8, 2.0 Hz, 1H), 7.01 (s, 1H), 7.31–7.44 (m, 6H), 7.57 (d, J = 8.8 Hz, 1H); 13C NMR (75 MHz, CDCl3) δ: 60.9, 70.7, 106.8, 115.0, 121.1, 124.1, 127.4, 127.9, 128.5, 133.8, 137.0, 141.4, 142.3, 156.6; GC-MS m/z 270 (M+, 100%).

3.2.14. 6-(Benzyloxy)benzo[b]thiophene-2-carbaldehyde (11.4)

Following the same method used for the preparation of compound 7.4, treatment of compound 11.3 (1.26 g, 4.66 mmol) with IBX (1.96 g, 6.99 mmol) in DMSO (20 mL) afforded 11.4 (1.18 g, 94.4%) as a yellow solid. 1H NMR (300 MHz, CDCl3) δ: 5.15 (s, 2H), 7.11 (dd, J = 8.8, 2.4 Hz, 1H), 7.34–7.45 (m, 6H), 7.80 (d, J = 8.8 Hz, 1H), 7.92 (s, 1H), 9.99 (s, 1H); 13C NMR (75 MHz, CDCl3) δ: 70.9, 106.5, 117.0, 127.2, 127.6, 128.3, 128.8, 139.1, 134.2, 136.5, 141.6, 145.2, 159.7, 183.8; GC-MS m/z 268 ([M]+, 100%).

3.2.15. (E)-6-(Benzyloxy)-2-(3,5-bis(benzyloxy)styryl)benzo[b]thiophene (11.5)

Following the same method used for the preparation of compound 7.5, treatment of diethyl 3,5-bis(benzyloxy)benzylphosphonate (1.94 g, 4.40 mmol) in DMF (6 mL) with NaH (60% in mineral oil, 0.32 g, 13.19 mmol) in DMF (4 mL), followed by the addition of compound 11.4 (1.18 g, 4.40 mmol) in DMF (6 mL), afforded compound 11.5 (1.99 g, 81.6%) as a yellow solid. 1H NMR (300 MHz, CDCl3) δ: 5.03 (s, 4H), 5.70 (s, 2H), 6.53 (s, 1H), 6.71 (s, 2H), 6.78 (d, J = 16.1 Hz, 1H), 6.98 (d, J = 8.8 Hz, 1H), 7.11 (s, 1H), 7.20 (d, J = 16.1 Hz, 1H), 7.28–7.40 (m, 16H), 7.53 (d, J = 8.8 Hz, 1H); 13C NMR (75 MHz, CDCl3) δ: 70.4, 70.7, 102.1, 102.2, 106.1, 106.3, 106.7, 115.0, 123.0, 124.0, 127.4, 127.9, 128.5, 129.3, 129.7, 134.5, 136.9, 137.0, 138.9, 139.3, 140.5, 140.6, 157.1, 160.2; MS (EI+) m/z 554 (M+, base), 463, 281, 91.

3.2.16. (E)-5-(2-(6-Hydroxybenzo[b]thiophen-2-yl)vinyl)benzene-1,3-diol (4)

Following the same method used for the preparation of compound 3, treatment of compound 11.5 (0.16 g, 0.29 mmol) and N,N-dimethylaniline (0.44 mL, 3.47 mmol) in anhydrous CH2Cl2 (10 mL) with AlCl3 (0.61 g, 4.61 mmol) afforded compound 4 (0.03 g, 37.5 %) as a yellow solid. 1H NMR (300 MHz, (CD3)2CO) δ: 6.31 (s, 1H), 6.56, (s, 2H), 6.75 (d, J = 16.1 Hz, 1H), 6.90 (d, J = 8.4 Hz, 1H), 7.25 (s, 1H), 7.27 (s, 1H) 7.33 (d, J = 16.1 Hz, 1H), 7.58 (d, J = 8.4 Hz, 1H) 8.41 (br s, 3H); 13C NMR (75 MHz, (CD3)2CO) δ: 103.6, 106.1, 108.3, 115.5, 123.4, 124.2, 125.1, 130.4, 134.6, 139.9, 140.5, 141.5, 156.6, 159.6; MS (EI+) m/z 284 (M+, base) HRMS m/z (M+) calcd for C16H12O3S: 284.0507, Found: 284.0510.

3.2.17. 4-Methoxy-2-(methylselanyl)benzaldehyde (13)

A mixture of dimethyl diselenide (1.99 g, 10.57 mmol) and dithiothreitol (0.98 g, 6.34 mmol) in anhydrous DMF (8 mL) was stirred for 1 h at 80 °C under an argon atmosphere. To this mixture, compound 12 (1.63 g, 10.57 mmol) and DBU (3.95 mL, 26.42 mmol) were added. The resulting mixture was heated with stirring for another 12 h. After the reaction was completed, the reaction mixture was brought to room temperature, and distilled H2O (10 mL) was added to it. After extraction with EtOAc (3 × 30 mL), the organic layer was washed with distilled H2O (3 × 15 mL) and brine (2 × 15 mL), dried over anhydrous Na2SO4, and concentrated in vacuo. The residue was purified by column chromatography (EtOAc/hexane = 1/8) to obtain compound 13 (1.80 g, 74.4%) as a yellow solid. 1H NMR (300 MHz, CDCl3) δ: 2.26 (s, 3H), 3.90 (s, 3H), 6.81 (dd, J = 8.4, 2.2 Hz, 1H), 6.90 (s, 1H), 7.71 (d, J = 8.4 Hz, 1H), 9.95 (s, 1H); 13C NMR (75 MHz, CDCl3) δ: 5.8, 55.6, 110.1, 114.2, 128.5, 136.9, 140.8, 163.8, 190,3; MS (EI+) m/z 230 (M+), 215 (base), 187, 135.

3.2.18. Methyl 2-((2-Formyl-5-methoxyphenyl)selanyl)acetate (14)

A mixture of compound 13 (1.30 g, 5.67 mmol) and methyl bromoacetate (10.10 mL, 113.47 mmol) was refluxed for 3 h under an argon atmosphere. After the reaction was completed, the reaction mixture was brought to room temperature, and the evaporation of methyl bromoacetate yielded compound 14 (1.63 g, quantitative) as a white solid. 1H NMR (300 MHz, CDCl3) δ: 3.56 (s, 2H), 3.72 (s, 3H), 3.93 (s, 3H), 6.85 (dd, J = 8.7, 1.8 Hz, 1H), 7.29 (s, 1H), 7.72 (d, J = 8.7 Hz, 1H) 9.92 (s, 1H); 13C NMR (75 MHz, CDCl3) δ: 25.2, 52.5, 55.8, 111.9, 114.6, 128.2, 136.7, 139.2, 164.0, 171.1, 190.4; MS (EI+) m/z 288 (M+), 286, 214 (base), 187.

3.2.19. Methyl 6-Methoxybenzo[b]selenophene-2-carboxylate (15)

A suspension of compound 14 (0.48 g, 1.67 mmol) and K2CO3 (0.69 g, 5.01 mmol) in anhydrous CH3CN (15 mL) was refluxed for 4 h under an argon atmosphere. After the reaction was completed, the reaction mixture was brought to room temperature, filtered through a Celite® pad, and washed with CH3CN (10 mL). The filtrate was concentrated under reduced pressure. The residue was dissolved in EtOAc (45 mL), washed sequentially with 1N HCl (9 mL), H2O (2 × 10 mL) and brine (10 mL), dried over anhydrous Na2SO4 and concentrated under reduced pressure to yield compound 15 (0.42 g, 93.3%) as a white solid. 1H NMR (300 MHz, CDCl3) δ: 3.86 (s, 3H), 3.89 (s, 3H), 6.98 (dd, J = 8.7, 2.4 Hz, 1H), 7.34 (s, 1H), 7.73 (d, J = 8.7 Hz, 1H), 8.18 (s, 1H); 13C NMR (75 MHz, CDCl3) δ: 52.3, 55.6, 108.4, 115.0, 127.9, 132.7, 134.1, 135.0, 145.9, 159.3, 164.1; MS (EI+) m/z 270 (M+, base), 268, 239, 168.

3.2.20. Methyl 6-Hydroxybenzo[b]selenophene-2-carboxylate (15.1)

Following the method used to prepare compound 11.1, treatment of compound 15 (0.22 g, 0.82 mmol) in CH2Cl2 (10 mL) with BBr3 (1.0 M in CH2Cl2; 0.32 mL, 3.44 mmol) afforded compound 15.1 (0.20 g, 93.3%) as a white solid. 1H NMR (300 MHz, DMSO-d6) δ: 3.82 (s, 3H), 6.91 (dd, J = 8.4, 1.2 Hz, 1H), 7.44 (s, 1H), 7.82 (d, J = 8.4 Hz, 1H), 8.24 (s, 1H), 10.11 (br s, 1H); 13C NMR (75 MHz, DMSO-d6) δ: 62.0, 120.8, 125.2, 138.2, 140.3, 143.2, 144.2, 154.9, 167.1, 173.3; MS (EI+) m/z 256 (M+, base), 254, 225, 197.

3.2.21. Methyl 6-(Benzyloxy)benzo[b]selenophene-2-carboxylate (15.2)

Following the method used to prepare compound 7.2, treatment of compound 15.1 (0.19 g, 0.74 mmol) and K2CO3 (0.21 g, 1.49 mmol) in acetone (10 mL) with benzyl bromide (0.10 mL, 0.82 mmol) yielded compound 15.2 (0.26 g, quantitative) as a white solid. 1H NMR (300 MHz, CDCl3) δ: 3.89 (s, 3H), 5.11 (s, 2H), 7.06 (dd, J = 8.7, 2.3 Hz, 1H), 7.33–7.44 (m, 6H), 7.75 (d, J = 8.7 Hz, 1H), 8.18 (s, 1H); 13C NMR (75 MHz, CDCl3) δ:52.4, 70.6, 109.8, 115.7, 127.3, 128.1, 128.6, 133.0, 134.1, 135.3, 136.5, 145.9, 158.5, 164.2; MS (EI+) m/z 346 (M+, base), 344, 255, 168.

3.2.22. (6-(Benzyloxy)benzo[b]selenophen-2-yl)methanol (15.3)

Following the method used to prepare compound 7.3, treatment of compound 15.2 (1.1 g, 3.19 mmol) in THF (20 mL) with LiAlH4 (2.0 M in THF, 1.91 mL, 3.82 mmol) yielded compound 15.3 (1.01 g, 99.0%) as a white solid. 1H NMR (300 MHz, CDCl3) δ: 2.15 (br s, 1H), 4.85 (d, J = 5.4 Hz, 2H), 5.08 (s, 2H), 7.00 (d, J = 8.4 Hz, 1H), 7.24 (s, 1H), 7.34–7.44 (m, 6H), 7.56 (d, J = 8.4 Hz, 1H); 13C NMR (75 MHz, CDCl3) δ: 62.9, 70.7, 110.5, 114.6, 124.0, 125.6, 127.4, 127.9, 128.5, 136.0, 137.0, 142.6, 146.4, 156.5; MS (EI+) m/z 318 (M+, base), 316, 227, 91.

3.2.23. 6-(Benzyloxy)benzo[b]selenophene-2-carbaldehyde (15.4)

Following the method used to prepare compound 7.4, treatment of compound 15.3 (0.21 g, 0.66 mmol) with IBX (0.28 g, 0.99 mmol) in DMSO (3 mL) yielded compound 15.4 (0.21 g, quantitative) as a yellow solid. 1H NMR (300 MHz, CDCl3) δ: 5.14 (s, 2H), 7.09 (dd, J = 8.7, 2.1 Hz, 1H), 7.34–7.45 (m, 6H), 7.82 (d, J = 8.7 Hz, 1H), 8.15 (s, 1H), 9.89 (s, 1H); 13C NMR (75 MHz, CDCl3) δ: 70.7, 110.2, 116.1, 127.4, 128.2, 128.6, 128.8, 135.1, 136.3, 138.1, 144.5, 146.1, 159.3, 184.9; LRMS (EI+) m/z 316 (M+, base), 225, 169, 167.

3.2.24. (E)-6-(Benzyloxy)-2-(3,5-bis(benzyloxy)styryl)benzo[b]selenophene (15.5)

Following the method used to prepare compound 7.5, treatment of diethyl 3,5-bis(benzyloxy)benzylphosphonate (0.28 g, 0.63 mmol) in DMF (6 mL) with NaH (60% in mineral oil, 0.046 g, 1.90 mmol) in DMF (4 mL), followed by the addition of compound 15.4 (0.2 g, 0.63 mmol) in DMF (6 mL), afforded compound 15.5 (0.32g, 84.2%) as a yellow solid. 1H NMR (300 MHz, CDCl3) δ: 5.04 (s, 4H), 5.09 (s, 2H), 6.53 (s, 1H), 6.62 (d, J = 15.9 Hz, 1H) 6.71 (s, 2H) 6.97 (d, J = 9.3 Hz, 1H), 7.22 (d, J = 15.9 Hz, 1H), 7.29–7.40 (m, 17H), 7.54 (d, J = 8.7 Hz, 1H); 13C NMR (75 MHz, CDCl3) δ: 70.4, 70.7, 102.3, 106.1, 110.5, 114.7, 125.3, 125.6, 126.9, 127.3, 127.4, 127.9, 128.5, 130.9, 136.8, 136.9, 137.0, 139.0, 141.2, 143.3, 157.1, 160.3; MS (EI+) m/z 602 (M+, base), 600, 603, 329.

3.2.25. (E)-5-(2-(6-Hydroxybenzo[b]selenophen-2-yl)vinyl)benzene-1,3-diol (5)

Following the method used to prepare compound 3, treatment of compound 15.5 (0.27 g, 0.45 mmol) and N,N-dimethylaniline (1.02 mL, 8.08 mmol) in anhydrous CH2Cl2 (10 mL) with AlCl3 (1.44 g, 10.77 mmol) afforded compound 5 (0.06 g, 40.0%) as a yellow solid. 1H NMR (300 MHz, (CD3)2CO) δ: 6.30 (t, J = 1.5 Hz, 1H), 6.55, (d, J = 1.5 Hz, 2H), 6.61 (d, J = 15.6 Hz, 1H), 6.87 (dd, J = 8.4, 1.8 Hz, 1H), 7.32 (d, J = 15.6 Hz, 1H), 7.35 (d, J = 1.8 Hz, 1H), 7.40 (s, 1H), 7.56 (d, J = 8.4 Hz, 1H), 8.34 (br s, 3H); 13C NMR (75 MHz, (CD3)2CO) δ: 103.6, 106.1, 112.1, 115.3, 125.7, 126.6, 128.0, 131.6, 136.8, 140.0, 142.0, 143.2, 156.6, 159.6; MS (EI+) m/z 332 (M+, base), 330, 252; HRMS m/z (M+) calcd for C16H12O3Se: 331.9952, Found: 331.9954.

3.3. Measurement of Antioxidant Activity Using ABTS

The radical cation solution was freshly produced by blending equal volumes of 7 mM ABTS (2,2′-azino-bis(3-ethylbenzothiazoline-6-sulfonic acid)) stock solution and 2.45 mM potassium persulfate stock solution. This mixture was kept at 0 °C in the dark for at least 12 h. This solution was then diluted with methanol to achieve a UV absorption value of 1.00 at 734 nm. Compounds 15 were also dissolved in methanol to make 1000 µM stock solutions, which were subsequently diluted with methanol to final concentrations of 7.80, 15.6, 31.25, 62.5, 125, 250, 500, and 1000 µM. In three separate sets of test tubes, 0.9 mL of the ABTS solution was mixed with 0.1 mL of each compound’s solution in the dark. After 30 min of incubation, UV absorption at 734 nm was recorded. A mixture with 0.9 mL of ABTS and 0.1 mL of methanol was used as a control solution. UV-1800 (Shimadzu Corporation, Kyoto, Japan) was used to measure UV absorption. Radical scavenging rates were determined from the UV absorption data, and the IC50 values were computed with Origin 8 software (OriginLab Corporation, Northampton, MA, USA).

3.4. Computational Method

Geometric optimizations and energy calculations for all compounds were conducted in the aqueous phase at the B3LYP/6-31+G(d,p) level of theory. Frequency calculations at the same level of theory were performed to determine the optimized geometries with no imaginary frequency. The MeOH solvent effect was included using an integral equation formalism of the polarizable continuum model (IEFPCM). All calculations were carried out using Gaussian 09 programs [22].

4. Conclusions

Aromaticity-extended resveratrol derivatives 3, 4, and 5, incorporating benzofuran, benzothiophene, and benzoselenophene, respectively, were synthesized via ring closure and Horner–Wadsworth–Emmons reactions. The antioxidant activities of the synthesized derivatives were assessed using an ABST assay. Compared to the parent, resveratrol 1, resveratrol derivatives 35 exhibited higher radical scavenging activities, with IC50 values in the range of 2.75–3.39 μM. The presence of aromaticity-extended benzoheterols in resveratrol derivatives 35 facilitated the stabilization of the radical species via delocalization of the π electrons, thereby improving the antioxidant activities of the systems. In addition, derivatives 3, 4, and 5 fused with heterocyclic compounds exhibited improved ABTS radical scavenging activity compared to resveratrol analogue 2 with a naphthalene moiety. B3LYP calculations confirmed the efficient π extension in compounds 35 based on the decreased HOMO–LUMO gaps compared to those of resveratrol 1 and derivative 2. Therefore, aromaticity extension by incorporation of benzofuran, benzothiophene, and benzoselenophene presents a viable approach for synthesizing efficient antioxidant agents. The novel resveratrol derivatives with fused heterocyclic rings have the potential to enhance the health benefits of resveratrol and offer new avenues for the development of advanced functional materials and therapeutic agents.

Supplementary Materials

The supporting information can be downloaded at: https://www.mdpi.com/article/10.3390/ijms26125872/s1.

Author Contributions

Writing—original draft preparation, methodology, and data curation, S.K.; investigation and methodology, H.M.L.; methodology, Y.S.; supervision, H.H.; conceptualization, writing—review and editing, and project administration, J.T.L. All authors have read and agreed to the published version of the manuscript.

Funding

This research was supported by National Research Foundation of Korea (NRF) grants funded by the Korea government (MOE) (RS-2023-00245431 to H.H. and 2017R1D1A1A02018831 to J.T.L.) and a grant from the R&D Program of the Korea Railroad Research Institute (Development of core digital and eco-friendly technologies in the railway sector, PK2503D2, to S.K.).

Institutional Review Board Statement

Not applicable.

Informed Consent Statement

Not applicable.

Data Availability Statement

The data presented in this study are available upon request.

Conflicts of Interest

The authors declare no conflicts of interest.

References

  1. Halliwell, B.; Gutteridge, J.M.C. Role of Free Radicals and Catalytic Metal Ions in Human Disease: An Overview. Methods Enzymol. 1990, 186, 1–85. [Google Scholar] [PubMed]
  2. Kim, Y.-W.; Byzova, T.V. Oxidative Stress in Angiogenesis and Vascular Disease. Blood 2013, 123, 625–631. [Google Scholar] [CrossRef] [PubMed]
  3. Nimse, S.B.; Pal, D. Free Radicals, Natural Antioxidants, and Their Reaction Mechanisms. RSC Adv. 2015, 5, 27986. [Google Scholar] [CrossRef]
  4. Ding, M.; Zou, J. Rapid Micropreparation Procedure for the Gas Chromatographic–Mass Spectrometric Determination of BHT, BHA and TBHQ in Edible Oils. Food Chem. 2012, 131, 1051–1055. [Google Scholar] [CrossRef]
  5. Xu, X.; Liu, A.; Hu, S.; Ares, I.; Martínez-Larrañaga, M.-R.; Wang, X.; Martínez, M.; Anadόn, A.; Martínez, M.-A. Synthetic Phenolic Antioxidants: Metabolism, Hazards and Mechanism of Action. Food Chem. 2021, 353, 129488. [Google Scholar] [CrossRef]
  6. Rahman, M.; Islam, B.; Biswas, M.; Alam, A.H.M.K. In Vitro Antioxidant and Free Radical Scavenging Activity of Different Parts of Tabebuia Pallida Growing in Bangladesh. BMC Res. Notes 2015, 8, 621. [Google Scholar] [CrossRef]
  7. Gülçin, İ. Antioxidant Properties of Resveratrol: A Structure–Activity Insight. Innov. Food Sci. Emerg. Technol. 2010, 11, 210–218. [Google Scholar] [CrossRef]
  8. Nam, K.Y.; Damodar, K.; Lee, Y.; Park, L.S.; Gim, J.G.; Park, J.P.; Jeon, S.H.; Lee, J.T. Design and Synthesis of π-Extended Resveratrol Analogues and In Vitro Antioxidant and Anti-Inflammatory Activity Evaluation. Molecules 2021, 26, 646. [Google Scholar] [CrossRef] [PubMed]
  9. Mániková, D.; Šestáková, Z.; Rendeková, J.; Vlasáková, D.; Lukáčová, P.; Paegle, E.; Arsenyan, P.; Chovanec, M. Resveratrol-Inspired Benzo[b]selenophenes Act as Anti-Oxidants in Yeast. Molecules 2018, 23, 507. [Google Scholar] [CrossRef]
  10. Li, Q.-S.; Li, Y.; Deora, G.S.; Ruan, B.-F. Derivatives and Analogues of Resveratrol: Recent Advances in Structural Modification. Mini-Rev. Med. Chem. 2019, 19, 809–825. [Google Scholar] [CrossRef]
  11. Tang, J.-J.; Fan, G.-J.; Dai, F.; Ding, D.-J.; Wang, Q.; Lu, D.-L.; Li, R.-R.; Li, X.-Z.; Hu, L.-M.; Jin, X.-L.; et al. Finding More Active Antioxidants and Cancer Chemoprevention Agents by Elongating the Conjugated Links of Resveratrol. Free Radic. Biol. Med. 2011, 50, 1447–1457. [Google Scholar] [CrossRef]
  12. Benayahoum, A.; Amira-Guebailia, H.; Houache, O. On the Role of Ethylene Bridge Elongation in the Antioxidant Activity of Polyhydroxylated Stilbenes: A Theoretical Approach. Comptes Rendus Chim. 2015, 18, 149–159. [Google Scholar] [CrossRef]
  13. Fan, Y.; Liu, Y.; Gao, L.; Zhang, Y.; Yi, J. Improved Chemical Stability and Cellular Antioxidant Activity of Resveratrol in Zein Nanoparticle with Bovine Serum Albumin-Caffeic Acid Conjugate. Food Chem. 2018, 261, 283–291. [Google Scholar] [CrossRef] [PubMed]
  14. Muranaka, A.; Yasuike, S.; Liu, C.-Y.; Kurita, J.; Kakusawa, N.; Tsuchiya, T.; Okuda, M.; Kobayashi, N.; Matsumoto, Y.; Yoshida, K.; et al. Effect of Periodic Replacement of the Heteroatom on the Spectroscopic Properties of Indole and Benzofuran Derivatives. J. Phys. Chem. A 2009, 113, 464–473. [Google Scholar] [CrossRef]
  15. Farhat, J.; Alzyoud, L.; Alwahsh, M.; Al-Omari, B. Structure–Activity Relationship of Benzofuran Derivatives with Potential Anticancer Activity. Cancers 2022, 14, 2196. [Google Scholar] [CrossRef]
  16. Tavadyan, L.A.; Manukyan, Z.H.; Harutyunyan, L.H.; Musayelyan, M.V.; Sahakyan, A.D.; Tonikyan, H.G. Antioxidant Properties of Selenophene, Thiophene and Their Aminocarbonitrile Derivatives. Antioxidants 2017, 6, 22. [Google Scholar] [CrossRef] [PubMed]
  17. Elsherbini, M.; Hamama, W.S.; Zoorob, H.H. An Easy Synthetic Approach to Construct Some Ebselen Analogues and Benzo[b]selenophene Derivatives: Their Antioxidant and Cytotoxic Assessment. J. Heterocycl. Chem. 2018, 55, 1645–1650. [Google Scholar] [CrossRef]
  18. Amorati, R.; Valgimigli, L. Advantages and Limitations of Common Testing Methods for Antioxidants. Free Radic. Res. 2015, 49, 633–649. [Google Scholar] [CrossRef]
  19. Floegel, A.; Kim, D.-O.; Chung, S.-J.; Koo, S.I.; Chum, O.K. Comparison of ABTS/DPPH assays to measure antioxidant capacity in popular antioxidant-rich US foods. J. Food Compos. Anal. 2011, 24, 1043–1048. [Google Scholar] [CrossRef]
  20. Harder, S.; Boersma, J.; Brandsma, L.; Kanters, J.A.; Bauer, W.; Pi, R.; Schleyer, P.v.R.; Schoellhorn, H.; Thewalt, U. Structure of 2-Lithiobenzofuran-Tmeda and 2-Lithiobenzothiophene-Tmeda in the Solid State and in Solution. Organometallics 1989, 8, 1688–1696. [Google Scholar] [CrossRef]
  21. Yamaguchi, T.; Fujita, Y.; Irie, M. Photochromism of a Novel 6π Conjugate System Having a Bis(2,3′-benzothienyl) Unit. Chem. Commun. 2004, 8, 1010–1011. [Google Scholar] [CrossRef] [PubMed]
  22. Frisch, M.J.; Trucks, G.W.; Schlegel, H.B.; Scuseria, G.E.; Robb, M.A.; Cheeseman, J.R.; Scalmani, G.; Barone, V.; Mennucci, B.; Petersson, G.A.; et al. Gaussian 09 Revision D.01; Gaussian, Inc.: Wallingford, CT, USA, 2014. [Google Scholar]
Figure 1. Structure of resveratrol 1 and derivatives 25.
Figure 1. Structure of resveratrol 1 and derivatives 25.
Ijms 26 05872 g001
Scheme 1. Synthesis of benzofuran, benzothiophene, and benzoselenophene derivatives 7, 11, and 15. Reagents and conditions: (i) methyl bromoacetate, K2CO3, reflux; (ii) N,N-dimethylformamide dimethyl acetal, 80 °C; (iii) iodine, CHCl3, reflux; (iv) dimethyl diselenide, dithiothreitol, DMF, DBU, 80 °C; (v) methyl bromoacetate, reflux; (vi) K2CO3, CH3CN, reflux.
Scheme 1. Synthesis of benzofuran, benzothiophene, and benzoselenophene derivatives 7, 11, and 15. Reagents and conditions: (i) methyl bromoacetate, K2CO3, reflux; (ii) N,N-dimethylformamide dimethyl acetal, 80 °C; (iii) iodine, CHCl3, reflux; (iv) dimethyl diselenide, dithiothreitol, DMF, DBU, 80 °C; (v) methyl bromoacetate, reflux; (vi) K2CO3, CH3CN, reflux.
Ijms 26 05872 sch001
Scheme 2. Synthesis of aromaticity extended resveratrol derivatives 3, 4, and 5. Reagents and conditions: (i) BBr3, DCM, room temp.; (ii) benzyl bromide, K2CO3, acetone, room temp.; (iii) LiAlH4, THF, room temp.; (iv) 2-iodoxybenzoic acid, DMSO, 90 °C; (v) NaH, diethyl 3,5-bis(benzyloxy)benzylphosphonate, DMF, room temp.; (vi) N,N-dimethylaniline, DCM, AlCl3, room temp.
Scheme 2. Synthesis of aromaticity extended resveratrol derivatives 3, 4, and 5. Reagents and conditions: (i) BBr3, DCM, room temp.; (ii) benzyl bromide, K2CO3, acetone, room temp.; (iii) LiAlH4, THF, room temp.; (iv) 2-iodoxybenzoic acid, DMSO, 90 °C; (v) NaH, diethyl 3,5-bis(benzyloxy)benzylphosphonate, DMF, room temp.; (vi) N,N-dimethylaniline, DCM, AlCl3, room temp.
Ijms 26 05872 sch002
Figure 2. Radical scavenging activities of resveratrol 1 and aromaticity-extended resveratrol derivatives (25) in ABTS assay.
Figure 2. Radical scavenging activities of resveratrol 1 and aromaticity-extended resveratrol derivatives (25) in ABTS assay.
Ijms 26 05872 g002
Table 1. IC50 values of resveratrol 1 and aromaticity-extended resveratrol derivatives (25) in ABTS assay.
Table 1. IC50 values of resveratrol 1 and aromaticity-extended resveratrol derivatives (25) in ABTS assay.
CompoundIC50 (μM)
15.15 ± 0.35
24.16 ± 0.12
33.39 ± 0.59
43.02 ± 0.30
52.75 ± 0.30
Table 2. Calculated HOMO–LUMO energy levels and energy gaps of aromaticity-extended resveratrol derivatives (25) in the gas phase and MeOH at the B3LYP/6-31G+(d,p) level of theory.
Table 2. Calculated HOMO–LUMO energy levels and energy gaps of aromaticity-extended resveratrol derivatives (25) in the gas phase and MeOH at the B3LYP/6-31G+(d,p) level of theory.
CompoundGas PhaseMeOH
HOMO (eV)LUMO (eV)ΔEH-L (eV)HOMO (eV)LUMO (eV)ΔEH-L (eV)
1−5.58−1.643.94−5.66−1.723.94
2−5.55−1.783.77−5.61−1.863.76
3−5.42−1.893.53−5.51−1.993.52
4−5.49−1.943.55−5.56−2.013.55
5−5.50−1.973.53−5.56−2.033.53
Disclaimer/Publisher’s Note: The statements, opinions and data contained in all publications are solely those of the individual author(s) and contributor(s) and not of MDPI and/or the editor(s). MDPI and/or the editor(s) disclaim responsibility for any injury to people or property resulting from any ideas, methods, instructions or products referred to in the content.

Share and Cite

MDPI and ACS Style

Ko, S.; Lim, H.M.; Song, Y.; Hwang, H.; Lee, J.T. Design, Synthesis, Theoretical Study, and Antioxidant Activity of Aromaticity-Extended Resveratrol Derivatives Incorporating Chalcogen. Int. J. Mol. Sci. 2025, 26, 5872. https://doi.org/10.3390/ijms26125872

AMA Style

Ko S, Lim HM, Song Y, Hwang H, Lee JT. Design, Synthesis, Theoretical Study, and Antioxidant Activity of Aromaticity-Extended Resveratrol Derivatives Incorporating Chalcogen. International Journal of Molecular Sciences. 2025; 26(12):5872. https://doi.org/10.3390/ijms26125872

Chicago/Turabian Style

Ko, Sangwon, Hyun Min Lim, Yeonho Song, Hyonseok Hwang, and Jeong Tae Lee. 2025. "Design, Synthesis, Theoretical Study, and Antioxidant Activity of Aromaticity-Extended Resveratrol Derivatives Incorporating Chalcogen" International Journal of Molecular Sciences 26, no. 12: 5872. https://doi.org/10.3390/ijms26125872

APA Style

Ko, S., Lim, H. M., Song, Y., Hwang, H., & Lee, J. T. (2025). Design, Synthesis, Theoretical Study, and Antioxidant Activity of Aromaticity-Extended Resveratrol Derivatives Incorporating Chalcogen. International Journal of Molecular Sciences, 26(12), 5872. https://doi.org/10.3390/ijms26125872

Note that from the first issue of 2016, this journal uses article numbers instead of page numbers. See further details here.

Article Metrics

Back to TopTop