Abstract
Mycobacterium tuberculosis, the infectious agent behind tuberculosis (TB), underscores the significance of targeting enzymes such as arabinosyltransferases in drug development efforts. Benzothiozinone derivatives, which have been assessed for their effectiveness against TB, present a promising avenue for treatment. Utilizing a high virtual screening quantitative structure–activity relationship (QSAR-VS), a set of forty Benzothiozinone (C1–C40) compounds were investigated to build a robust model with satisfactory performance metrics (R2 = 0.82, R2adj = 0.78, Ntest = 10, R2test = 0.70). This model enabled the creation of databases containing new derivatives for screening drug-like properties and predicting MIC activity in TB treatment. The best-scoring compounds were screened by molecular docking with Mycobacterium tuberculosis kinases A and B (PDB code: 6B2P) and validated by molecular dynamics simulations to elucidate the most stable drug–protein interactions. Additionally, the MM-PBSA analysis shows that the strongest binding occurs in complexes X3, X4, and X6 with ΔGbind values of −8.2, −15.3, and −12.0 kcal/mol, respectively. Our in silico study aims to prospect these new anti-tubercular drugs and their potential development through perspective in vitro and in vivo assays.
1. Introduction
As reported, tuberculosis remains one of the primary infectious diseases globally, leading to more than 10 million active cases annually and causing around 1.5 million deaths each year [,]. Mycobacterium tuberculosis (Mtb) is the main causative agent of tuberculosis, leading to the emergence of multidrug-resistant (MDR) and extensively drug-resistant (XDR) strains of Mtb, as well as treatment failures in tuberculosis patients []. The mycobacterial cell envelope, with its intricate and unique structure, has been identified as a promising target for developing novel tuberculosis drugs [,,,,,]. This envelope consists of layers such as peptidoglycan, mycolic acids, and arabinogalactan polysaccharides, which play a critical role in protecting and supporting Mtb growth []. Researchers are exploring enzymes involved in cell wall biosynthesis and other potential drug targets within this pathway to develop more effective strategies for new anti-tuberculosis drug development [,].
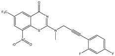
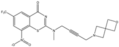
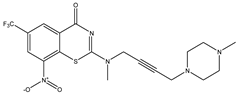
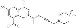
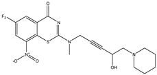
Developing new and more effective agents to combat the global tuberculosis epidemic by targeting the essential proteins of resistant Mtb is a promising strategy []. Notably, a recent review on anti-tuberculosis drug development via targeting the cell envelope of Mtb was reported, summarizing the development of drug enzymes involved in the biosynthesis of the cell wall in Mtb, and other potential drug targets in this pathway, providing more effective strategies for the development of new drugs []. Moreover, Xiaomei et al. [] reported a structure–activity relationship (SAR) analysis on a series of novel forty Benzothiozinone (btz) derivatives (C1–C40) as potent inhibitors for Mtb kinases. The SAR analysis aimed to identify the pharmacophore groups inhibiting tubercular activity and led to the discovery of novel agents with high minimal inhibitory concentration (MIC) with improved metabolic stability. As reported, the compound C11, shown in Figure 1, demonstrated the best antimycobacterial activity in an acute tuberculosis infection mouse model [].
Figure 1.
Molecular structure of the reference C11 derivative.
Despite much effort to identify efficient drug sensitivity towards tuberculosis, the latter remains a significant global health challenge, and innovative approaches are essential to reduce MDR strains and improve anti-tuberculosis treatment outcomes. In recent years, in silico techniques involving computational and analytical methods have become increasingly prominent for designing and discovering novel compounds with noteworthy biological properties [].
Moreover, the drug discovery process for Mtb has been enhanced with a structure-based computer-aided drug design (CADD) approach []. This CADD approach, including quantitative structure–activity relationships (QSAR), molecular docking, molecular dynamics simulations, and ADMET properties, combined with advanced software are currently used to develop, predict, and optimize active compounds (hits) as potential inhibitors against tuberculosis resistance and can be utilized in future chemotherapeutic development [].
In the present study, in silico approaches were used on forty Benzothiozinone derivatives (C1–C40), reported recently as effective agents against Mycobacterium tuberculosis kinases [], to predict novel potential inhibitors. The two-dimensional 2D-QSA model combined with the multiple linear regression (MLR) technique was used to design and evaluate new candidate compounds with improved tuberculosis inhibitory activity compared with the actual in vitro tested agents []. A new data library based on the modified synthesized series was also used to predict the minimal inhibitory concentration (pMIC) values. A molecular docking technique is employed to identify selected active amino acid residue sites within the tubercular target, with the stability of various ligand poses analyzed using molecular dynamics (MD) simulations. Finally, the drug-likeness of selected hits is assessed using the ADMET profile.
2. Results and Discussions
Several steps were involved to predict compounds with potent anti-tuberculosis activity to narrow down the potential inhibitor compounds. First, ADMET prediction screening evaluates the compounds’ adherence to Lipinski’s rules and pharmacokinetic properties. Subsequently, the 2D-QSAR model is used to predict the anti-tuberculosis activities within the value range of pMIC ≥ 7.5. The final screening of Mtb inhibitors involves molecular docking followed by dynamics simulations.
The SwissADME and pkCSM platforms are used to evaluate ADME properties, including Absorption, Distribution, Metabolism, and Excretion. Subsequently, the filtering is based on Lipinski’s Rule of Five, i.e., molecular weight (MW ≤ 500 Da), rotatable bonds (RTB ≤ 12), hydrogen bond donors (HBD ≤ 5), hydrogen bond acceptors (HBA ≤ 10), and Lipophilicity factor (LogP < 5) should be accounted to ensure a robust database. Additionally, compounds with predicted pMIC values lower than 7.5 were excluded. Compounds not meeting these criteria were excluded from the 2D-QSAR modeling and docking studies [,,,,].
2.1. Two-Dimensional QSAR Analysis
A genetic algorithm for descriptor selection is employed to develop a robust 2D-QSAR model for Mtb inhibition activity. Several 2D-QSAR models of pMIC activity were generated and validated to assess their capability to predict and enhance the biological activities of novel compounds. The selected pMIC model is formulated by the following equation:
where descriptors are defined as follows:
pMIC = −0.54 × nN − 55.69 × PW2 + 0.15 × RDF100m + 24.61 × G2m + 7.88 × R8u + 32.39
nN: number of Nitrogen atoms;
PW2: path/walk 2-Randic shape index;
RDF100m: Radial Distribution Function-100/weighted by mass;
G2m: 2nd component symmetry directional WHIM index/weighted by mass;
R8u: R autocorrelation of lag 8/unweighted.
During the training process, which utilizes 30 data points, the model yields the following statistical metrics:
Number of testing data points Ntest = 12, R2 = 0.81, R2adj = 0.78, MSE = 0.15, Q2CV = 0.69, R2test = 0.8, and Yrand = 0.22.
These statistical results indicate that the selected model surpasses threshold values for all parameters, in agreement with previous findings [,].
The prediction reliability of the developed MLR 2D-QSAR model is validated by metrics aligning with benchmark scores proposed by Golbraikh and Tropsha (2010) [,]. The determination coefficient assessment R2 value, exceeding 0.5, underscores the robustness of the 2D-QSAR model and its resistance to chance correlation during the modeling process [,,,].
Indeed, the determination coefficient (R2 = 0.81) suggests that the 2D-QSAR model accounts for 81% of the total variation in biological activities, demonstrating its satisfactory reliability for the training set compounds. Furthermore, the higher R2 value emphasizes that the model’s performance is not merely a result of chance correlation. Oppositely, low R2 and Q2CV values obtained from shuffled biological activities suggest the model’s inadequacy in creating a reliable predictive model under such conditions.
The QSAR-MLR multilinear regression analysis was carried out to showcase the correlations between selected descriptors and observed Mtb biological activity (pMIC), and the results are reported in Table 1.
Table 1.
Comparison of experimental and predicted activities pMIC, with (★) denoting test set samples.
A comparison between predicted pMIC (TB) values and experimental pMIC (TB) values is illustrated in Figure 2. The data points are divided into the training set (blue dots) and the test set (green circles).
Figure 2.
Correlation of observed and predicted pMIC values in the 2D-QSAR models.
A line of best fit runs through the data points, indicating the relationship between the predicted and experimental values. Points closer to this line represent more accurate predictions. This visual representation helps to assess the model’s performance in predicting biological activity, which is crucial for drug design and discovery.
Figure 3 shows the Williams plot, which plays a crucial role in establishing the applicability domain (AD) of the QSAR model. By assessing the standardized residuals against leverage values, the plot helps identify outlier compounds and ensure the model’s reliability.
Figure 3.
Visualization of the Williams plot depicting standardized residuals versus leverage for the MLR model, with h * = 0.250 and residual limits of ±3.
With five descriptors, the developed 2D-QSAR model excludes outlier compounds by setting a normalized residue limit of 3. All compounds in the training and test sets fell within the AD, as indicated by leverage values below the critical limit and standardized residuals within the range of ±3, which further validates the robustness of the model.
2.2. Library Creation
To optimize the leads for targeting specific biological activities, our 2D-QSAR approach involves developing a compound library by replacing ‘R’ atoms with distinct chemical moieties (see Figure 1). Utilizing a predefined R package library, it results in approximately 828 compounds, and each structure underwent energy minimization to ensure optimal alignment. Furthermore, to ensure a robust database, primarily filtering was applied for virtual screening, including ADMET criteria, which allow excluding molecules with pMIC values lower than 7.5.
2.3. Virtual Screening and Molecular Docking
After the pMIC threshold (>7.5) and ADMET filters, a high virtual screening (HVS) using the molecular docking technique was performed with the Molegro program to focus on the 10% most promising newly designed (X1–X20) molecules and gain more precise insights into their interaction with the biological target [].
The re-docking experiment was conducted on the protein structure, and the result is depicted in Figure 4.
Figure 4.
Conformational relationship between the pose and its reference ligand in the inhibitor 6B2P pocket (RMSD = 1.5 Å).
Notably, the best pose obtained resulted in an RMSD value of 1.5 Å for kinases A and B in the Mtb 6B2P target. These results indicate that the re-docking test successfully reproduces the active site of the crystal reference ligand pose within the 6B2P protein.
For the assessment of their affinity, all designed compounds were docked against the Mtb kinase, and the best conformations in the binding energy of Mtb and hydrogen bond energy (kcal/mol) results, are reported for the twenty selected (X1–X20) ligands and the native compound in Table 2 (the other compounds are reported in Table S1).
Table 2.
MolDock score and H-bond energy of the twenty best conformations (X1–X20) and the native compound in the binding pocket of Mtb.
Notably, the complexes formed between the designed compounds and the active residues of the Mtb kinase exhibit negative and low-binding energies, implying that the inhibition of tuberculosis is a thermodynamically favorable process. Indeed, MolDock score values (kcal/mol) of the top twenty (X1–X20) selected molecules range between −153.5 and −140.3 kcal/mol.
The three best-scoring ligands (X1, X2, and X3) show the highest binding stability with the MolDock score order (kcal/mol) of X1 (−153.5) > X2 (−152.8) > X3 (−152.1). These results (Table 2) strongly support the ability of the selected designed compounds (X1–X5) to bind the active site of the Mtb target and act as effective anti-tuberculosis inhibitors.
Their 2D interaction profiles for the three top-scoring ligands (X1, X2, and X3) with the active site residues are illustrated in Figure 5, highlighting key binding interactions within the active Mtb site. According to the 2D structural model generated via Biovia Studio, the active site of the tuberculosis kinase 6B2P target was identified.

Figure 5.
Two-dimensional interactions between active site residues of the tuberculosis kinase and compounds (a) X1, (b) X2, and (c) X3.
As shown in Figure 5, the first best-docked X1 ligand, showing the higher energy score (−153.5 kcal/mol), binds to the target protein and establishes two conventional H-bonds (green dotted lines) with PHE A: 157 and VAL A: 95 amino acid residues. Additional amino acid residues involved in molecular interactions with X1 include GLU A: 59, MET A: 145, GLY A: 97, LEU A: 17, ILE A: 78, VAL A: 167, and ILE A: 94.
Moreover, the second best-scoring X2 ligand, totalizing binding energy of −152.8 kcal/mol, establishes three hydrogen bonds with GLY A: 59 and VAL A: 95 amino acid residues within the kinase 6B2P protein. In addition, multiple interactions including π–alkyl, π–sigma, and π–sulfur bonds occur with LEU A: 17, MET A: 92, MET A: 155, ALA A: 38–63, and ILE A: 78 residues, contributing to the binding energy score (−152.8 kcal/mol), which closely aligns with that of the X1 congener.
The third best-scoring X3 ligand binds to the target protein, forming one conventional H-bond with VAL A: 95 residues. Furthermore, X3 interacts with other amino acid residues such as GLU A: 50, ILE A: 78, VAL A: 167, and ILE A: 94, featuring a binding affinity of −152.1 kcal/mol.
The molecular docking results (Table 2) of the newly designed best three (X1–X3) compounds reveal that binding affinity scores are relatively close, which suggests that these compounds might have a similar ability to inhibit the 6B2P target kinase.
2.4. Molecular Dynamics (MD) Simulations
Molecular dynamics (MD) simulations are widely used in various biological applications to simulate structural and physiological perturbations, providing close real-time mobility of complexes [,,,,]. The trajectories obtained from these simulations offer valuable and detailed insights into the stability of ligand–receptor complexes and their molecular interactions.
The dynamics results (500 ns) of the high-scoring ligands (X1–X6) with tuberculosis kinase targets are performed using the RMSD, RMSF, and Rg parameters, as depicted in Figure 6, Figure 7 and Figure 8, respectively.
Figure 6.
RMSD maps of the receptor–ligands at 500 ns of simulation time.
Figure 7.
RMSF of protein and the protein–ligand complexes.
Figure 8.
Rg of proteins and ligands.
Figure 6 shows the variations in the RMSD values obtained for the complexes (X1–X6) associated with the tuberculosis kinase 6B2P, except for the X5 system, which oscillates between 1.8 and 2.8 Å and reaches stability after the first 20 ns of simulation. It is noteworthy that the RMSD for the free protein 6B2P is observed to range over 10 Å [,,,].
Additionally, the RMSF analysis shown in Figure 7 represents the average deviation of the residues over the 500 ns simulation from a reference position. RMSF values also indicate the thermodynamic stability and mobility rate of all residues. Figure 7 shows that RMSF values for protein–ligand complexes are less than 0.5 nm, suggesting that the ligands do not undergo significant conformational changes over time, despite the presence of different amino acids in the systems. Higher values indicate variable regions in proteins, while lower values indicate fixed regions [,].
Additionally, according to the MD simulations, the stability of the selected protein–ligand complexes over 500 ns is supported by the Rg data, as shown in Figure 8.
Indeed, the Rg parameter remains consistent with an average value of 1.9–2.1 nm, indicating both the dimensional stability and the compactness of the structures. Notably, a stably folded protein maintains relatively less variation in Rg values, signifying its dynamic stability. Furthermore, the Rg values suggest that the high-scoring ligands (X1–X6) remained stably bound to the 6B2P protein, without inducing any significant alterations in their structures [,,].
The ΔG binding free energy (ΔGbind) of the best-scoring compounds with the protein 6B2P was calculated from the last 100 ns MD simulation trajectories through the MM-PBSA approach. The calculated average ΔGbind values and standard deviations are given in Table 3.
Table 3.
Calculated binding free energies of the best compounds.
Table 3 shows that the strongest binding occurs in complexes X3, X4, and X6 with ΔGbind values of −8.2, −15.3, and −12.0 kcal/mol, respectively. These complexes also have the strongest van der Waals (vdW) and electrostatic interactions, contributing significantly to their stability. Oppositely, X5 shows the weakest and most highly unfavorable binding with a ΔGbind of +22.8 kcal/mol, likely due to unfavorable entropic effects or solvation penalties, despite moderate vdW (−25.9 kcal/mol) and electrostatic (−10.5 kcal/mol) attractive terms. Moreover, the X2 and X1 compounds exhibit weak to slightly favorable binding. Overall, van der Waals interactions are the dominant factors in stabilizing most complexes, as these contributions are consistently more negative than the electrostatic energies.
3. Materials and Methods
3.1. Building the Compound Dataset
To computationally evaluate the anti-Mycobacterium tuberculosis activity of new agents against the target kinases, the 2D-QSAR model was first built for the selected forty Benzothiozinone derivatives (C1–C40) compounds with their substituted structures (R) as shown in Figure 9, and their molecular structures are gathered in Table 4. As shown in Figure 1, the Benzothiozinone scaffold is kept fixed, while the alkynyl linker (R) is varied.
Figure 9.
Molecular structures of BTZ derivatives.
Table 4.
Two-dimensional structures of Benzothiozinone derivatives. * is for the test set.
Employing the 2D-QSAR model with Python 3.9.10, a database comprising Benzothiozinone derivatives was curated with compounds C1 and C11 demonstrating high affinity for the desired receptor and low to moderate activity for off-target receptors. The forty molecules were divided into a test set (*) of 10 compounds and a training set comprising the remaining molecules.
All compounds were imported into DRAGON v5.4 [], and among 1665 descriptors, 20 types were selected, mainly providing structural and contact information.
3.2. Two-Dimensional QSAR Virtual Screening and Model Development
To investigate the association between a dependent variable, specifically anti-tuberculosis activity, and a set of selected descriptors (independent variables), we conducted a virtual screening 2D-QSAR-VS analysis using Dragon and Molinspiration descriptors within the environment of R Studio version 2023.12.1 Build 402 (Posit Software, PBC) []. MLR technique was applied to the forty Benzothiozinone derivatives to assess the statistical robustness of the 2D-QSAR model. Furthermore, metric parameters such as the determination coefficient (R2), adjusted coefficient (R2adj), and mean squared error (MSE), in addition to the Y-randomization (R2rand) and leave-one-out (LOO) cross-validation of the 2D-QSAR-MLR model, are assessed.
The regression equation employed in our analysis is as follows []:
The pMIC represents the dependent variable, xi denotes the independent variables (molecular descriptors), and Bn represents the regression coefficients.
Moreover, the predictive performance of the 2D-QSAR-MLR model is evaluated using the R2test coefficient, which compares the observed and projected pMIC values for the test set. To minimize the risk of chance correlation, the Y-randomization test (R2rand) is conducted to ensure that the selected descriptors are not randomly correlated with the activities.
Additionally, the applicability domain (AD) is applied by using William’s plot and the R Studio software 2023.12.1 to assess leverage values and determine if a compound fell within the prediction boundaries of the model [,,]. The AD approach was defined within a squared area, using a standard deviation (x = ±3) as a cutoff value for accepting predictions, thus enhancing confidence in the practical utility of the model’s prediction.
3.3. Virtual Screening
To build the chemical compound library, a Python script was developed and tailored to streamline the generation of a diverse range of compounds. This was carried out by systematically substituting the initial Benzothiozinone derivatives [] and utilizing the RDKit library within the Python script for the efficient processing of chemical structures []. Initially, different substituents were introduced across forty different sites within the structures. Subsequently, energy minimization was carried out using RDKit’s MMFF force field [], and the optimized resulting structures were stored for further analysis.
Based on Benzothiozinone derivatives, the tuberculosis library database was screened using Molegro Virtual Docker (MVD) version 6.0 []. The molecular docking of the ligands within the active sites of the protein kinases was carried out to identify optimal conformations for the ligand–protein complexes [].
The re-docking test of the co-crystallized reference ligand is performed to validate the molecular docking analysis while keeping the protein structure unchanged with respect to its crystal-binding pocket. The poses obtained from the docking procedure were evaluated by comparing them to the crystal structure using the root mean square deviation (RMSD) parameter with the superpose option in Molegro. A docking technique is considered acceptable if the RMSD range is less than or equal to 2 Å []. The coordinates (x = 86.6, y = 76.5, z = 27.0) with a radius of 15 Å were defined as the docking site of the designed compounds in the protein 6B2P pocket. The virtual screening module was set to select the top 10% of the screened compounds with significant binding scores []. Specifically, the most active and least active molecules, along with designed drug candidates, were docked into the active site of dual inhibition of the essential protein Kinases A and B in the Mtb (PDB: 6B2P) [], obtained from the RCSB website (https://www1.rcsb.org, accessed on 10 March 2024) [].
Subsequently, small molecules with the highest docking scores were chosen for subsequent molecular dynamics simulations and Molecular Mechanics Poisson–Boltzmann Surface Area (MM-PBSA) analysis [,]. Discovery Studio Visualizer 2021 Client v21.1.0. was used to visualize different types of H-bond interactions within the ligand–protein complex [].
3.4. Molecular Dynamics Simulations
To assess the stability of the best dock–scoring complexes, molecular dynamics (MD) simulations were performed using the GROMACS 2023.4 (released 24 January 2024) software []. The topology of the ligands was generated using the CHARMM force field implemented in the SwissParam tool [,]. The protein complex (PDB ID: 6B2P) was solvated in a cubic box using the SPC/E extended simple point charge water models [], and counter ions were introduced to maintain the overall electrostatic neutrality of the system.
The simulation process involves several steps, including (1) reading the coordinates of the protein–ligand complex; (2) solvating the complex, determining the system’s shape and size, and neutralizing it by adding Na+ and Cl− ions; (3) setting periodic boundary conditions (PBC) to simulate an extensive system, followed by a short minimization to remove erroneous contacts; (4) system equilibration in NVT and NPT ensembles to achieve the desired temperature and pressure []; and (5) a production phase involving MD runs with specific parameters.
Furthermore, energy minimization utilizes the steepest descent algorithm, with a maximum of 100.000 steps, until structures are stabilized to a maximum force of 1000 kJ.mol−1 nm−1. Subsequently, 5 ns of NVT and NPT equilibrations was performed at 300 K and 1 atm []. Simulations ran for 500 ns with a time step of 2 fs.
The dynamics parameters, i.e., the RMSD, the root mean square fluctuation (RMSF), and the radius of gyration (Rg) parameters are calculated over the 500 ns simulation period. MD simulation trajectories were visualized using PyMOL software (Schrödinger, LLC, version 2.5.7) []. The MM-PBSA approach is commonly used for estimating the binding energy of protein–ligand. In this context, the gmx_MM-PBSA tool developed by Valdes-Tresanco [,] was utilized to calculate binding free energies of the complexes using a single trajectory protocol from GROMACS MD trajectories. Entropy calculations were performed over the specified trajectory range (startframe = 30,734 to endframe = 49,734), corresponding to the time interval of 307.34–497.34 ns, using a frame extraction interval of 100 ps. The system temperature was set to 310.15 K, and a segment size (ie_segment) of 50 was applied. The binding free energy was computed with an electrolyte strength of 0.15 M and a grid fill ratio of 4.0 to solve the Poisson–Boltzmann equation efficiently.
4. Conclusions
In this work, an investigation of the anti-tuberculosis (pMIC) activity of forty Benzothiozinone derivatives (C1–C40) as potent inhibitors of Mycobacterium tuberculosis (Mtb) kinases was carried out by combining multiple in silico approaches, including 2D-QSAR, molecular docking, MM-PBSA dynamics simulations, and ADMET properties. The in silico study aimed to design and explore novel agents with better-predicted minimal inhibitory concentrations (pMICs) than the reference compound C11, which exhibits the best antimycobacterial inhibition activity in an acute tuberculosis infection mouse model. The developed 2D-QSAR MLR model was then used to design a new dataset of Benzothiozinone derivatives based on optimizing their ADME properties. Twenty (X1–X20) models were selected for their higher predicted inhibition activity (pMIC) in comparison with the best in vitro C11 derivative. The molecular docking analysis of the selected ligands for their binding interactions unveiled the best-scoring compounds (X1–X6). This suggests that they can effectively interact with the active residues of Mtb kinase as promising anti-tuberculosis inhibitors. Furthermore, their stability within the target Mtb protein was confirmed through RMSD, RMSF, Rg, and MM-PBSA dynamics simulation parameters. Based on these results, compounds X3, X4, and X6 emerge as promising drug candidates for tuberculosis treatment. Our in silico findings could pave the way to further research in developing and rationalizing anti-tuberculosis inhibitor drugs guided by their in vitro and in vivo assays.
Supplementary Materials
The following supporting information can be downloaded at https://www.mdpi.com/article/10.3390/ijms26115129/s1.
Author Contributions
The manuscript was written with contributions from all authors. A.G. (Abdelmadjid Guendouzi) and A.G. (Abdelkrim Guendouzi), conceptualization, investigation, methodology, software, materials preparation, data collection, and writing—original draft; Z.S., formal analysis, materials preparation, data collection, and writing; L.B. and G.M., formal analysis, project administration, supervision, writing—original draft, validation, review, and editing. All authors have read and agreed to the published version of the manuscript.
Funding
The General Directorate of Scientific Research and Technological Development (DGRSDT) for the PRFU project (2022-2024: Grant No. B00L01EN250120220001), the Thematic Research Agency in Health and Life Sciences–ATRSSV for the PNR (Grant 2022-2024), and the French-Algerian research project PHC TASSILI+ (2024) from Campus France (Grant N° 51347WL), are acknowledged.
Institutional Review Board Statement
Not applicable.
Informed Consent Statement
Not applicable.
Data Availability Statement
All data generated or analyzed during this study are included in this published article.
Acknowledgments
The authors are grateful to the Frères Mentouri University of Constantine 1 (Algeria) and the Pharmaceutical Sciences Research Center (CRSP) for providing computing facilities. The General Directorate of Scientific Research and Technological Development (DGRSDT) with the support of the PRFU project and the Thematic Research Agency in Health and Life Sciences–ATRSSV are also acknowledged. The authors are also thankful for the support of the French-Algerian research project PHC TASSILI+ (2024).
Conflicts of Interest
The authors declare no conflicts of interest.
Abbreviations
The following abbreviations are used in this manuscript:
| 2D-QSAR | Two-dimensional quantitative structure–Activity Relationship |
| AD | Applicability Domain |
| ADMET | Absorption, Distribution, Metabolism, Excretion and Toxicity |
| btz | benzothiozinone |
| CADD | Computer-Aided Drug Design |
| HVS | High Virtual Screening |
| LOO | Leave-One-Out |
| MD | Molecular Dynamics |
| MDR | Multidrug-Resistant |
| MIC | Minimum Inhibitory Concentration |
| MLR | Multiple Linear Regression |
| MM-PBSA | Molecular Mechanics Poisson–Boltzmann Surface Area |
| MMFF | Merck Molecular Force Field |
| MSE | Mean Squared Error |
| Mtb | Mycobacterium tuberculosis |
| PBC | Periodic Boundary Conditions |
| PDB | Protein DataBank |
| pMIC | predicted Minimum Inhibitory Concentration |
| QSAR | Quantitative Structure–Activity Relationship |
| Rg | Radius of gyration |
| RMSD | Root Mean Square Deviation |
| RMSF | Root Mean Square Fluctuation |
| TB | TuBerculosis |
| vdW | van der Waals |
| VS | Virtual Screening |
| XDR | eXtensively Drug-Resistant |
References
- World Health Organization. Report of the 7th Virtual End TB Strategy Summit for the Highest TB Burden Countries and Countries on the WHO Global Watchlist 16–17 November 2021; World Health Organization: Geneva, Switzerland, 2022. [Google Scholar]
- World Health Organization. WHO Operational Handbook on Tuberculosis: Module 5: Management of Tuberculosis in Children and Adolescents; World Health Organization: Geneva, Switzerland, 2022. [Google Scholar]
- Ejalonibu, M.A.; Ogundare, S.A.; Elrashedy, A.A.; Ejalonibu, M.A.; Lawal, M.M.; Mhlongo, N.N.; Kumalo, H.M. Drug Discovery for Mycobacterium tuberculosis Using Structure-Based Computer-Aided Drug Design Approach. Int. J. Mol. Sci. 2021, 22, 13259. [Google Scholar] [CrossRef]
- Guendouzi, A.; Belkhiri, L.; Kebila, Y.; Houari, B.; Djekoune, A.; Boucekkine, A.; Tayyeb, J.Z.; Akash, S.; Abdellattif, M.H.; Guendouzi, A. Identification of tuberculosis inhibitors through QSAR-based virtual screening and molecular dynamics simulation of novel pyrimidine derivatives. J. Indian Chem. Soc. 2024, 101, 101298. [Google Scholar] [CrossRef]
- Hassan, A.M.M.; Mohammed, A.F.; Kumari, J.; Sriram, D.; Abdu-Allah, H.H.; Abdel-Moty, S.G. Hybrids of 4-aminosalicylic acid with dual anti-mycobacterial and anti-inflammatory activities: Synthesis, biological evaluation, in silico investigation and structure-activity relationships exploration. J. Mol. Struct. 2024, 1318, 139217. [Google Scholar] [CrossRef]
- Shah, Y.B.; Mistry, P.S.; Dhameliya, T.M.; Ranch, K. Tuberculosis: Current Treatment Options and Future Scope. In Tubercular Drug Delivery Systems: Advances in Treatment of Infectious Diseases; Shegokar, R., Pathak, Y., Eds.; Springer International Publishing: Cham, Switzerland, 2023; pp. 59–77. [Google Scholar]
- Shaikh, S.A.; Labhade, S.R.; Kale, R.R.; Pachorkar, P.Y.; Meshram, R.J.; Jain, K.S.; Labhade, H.S.; Boraste, D.R.; More, R.A.; Chobe, S.S.; et al. Synthesis, Biological and Molecular Docking Studies of Thiazole-Thiadiazole derivatives as potential Anti-Tuberculosis Agents. Chem. Biodivers. 2024, 21, e202400496. [Google Scholar] [CrossRef]
- Xu, X.; Dong, B.; Peng, L.; Gao, C.; He, Z.; Wang, C.; Zeng, J. Anti-tuberculosis drug development via targeting the cell envelope of Mycobacterium tuberculosis. Front. Microbiol. 2022, 13, 1056608. [Google Scholar] [CrossRef]
- Singh, V.; Chibale, K. Strategies to Combat Multi-Drug Resistance in Tuberculosis. Acc. Chem. Res. 2021, 54, 2361–2376. [Google Scholar] [CrossRef] [PubMed]
- Favrot, L.; Ronning, D.R. Targeting the mycobacterial envelope for tuberculosis drug development. Expert Rev. Anti-Infect. Ther. 2012, 10, 1023–1036. [Google Scholar] [CrossRef]
- Wu, X.; Wang, W.; Stelitano, G.; Riabova, O.; Wang, B.; Niu, W.; Cocorullo, M.; Shi, R.; Chiarelli, L.R.; Makarov, V.; et al. Benzothiozinone derivatives with anti-tubercular Activity−Further side chain investigation. Eur. J. Med. Chem. 2024, 264, 115976. [Google Scholar] [CrossRef]
- Bajorath, J. Computer-aided drug discovery [version 1; peer review: 3 approved]. F1000Research 2015, 4, 630. [Google Scholar] [CrossRef]
- Lipinski, C.A.; Lombardo, F.; Dominy, B.W.; Feeney, P.J. Experimental and computational approaches to estimate solubility and permeability in drug discovery and development settings. Adv. Drug Deliv. Rev. 2001, 46, 3–26. [Google Scholar] [CrossRef]
- Veber, D.F.; Johnson, S.R.; Cheng, H.-Y.; Smith, B.R.; Ward, K.W.; Kopple, K.D. Molecular Properties That Influence the Oral Bioavailability of Drug Candidates. J. Med. Chem. 2002, 45, 2615–2623. [Google Scholar] [CrossRef] [PubMed]
- Egan, W.J.; Merz, K.M.; Baldwin, J.J. Prediction of Drug Absorption Using Multivariate Statistics. J. Med. Chem. 2000, 43, 3867–3877. [Google Scholar] [CrossRef] [PubMed]
- Ghose, A.K.; Viswanadhan, V.N.; Wendoloski, J.J. A Knowledge-Based Approach in Designing Combinatorial or Medicinal Chemistry Libraries for Drug Discovery. 1. A Qualitative and Quantitative Characterization of Known Drug Databases. J. Comb. Chem. 1999, 1, 55–68. [Google Scholar] [CrossRef] [PubMed]
- Zhang, M.-Q.; Wilkinson, B. Drug discovery beyond the ‘rule-of-five’. Curr. Opin. Biotechnol. 2007, 18, 478–488. [Google Scholar] [CrossRef]
- Golbraikh, A.; Tropsha, A. Beware of q2! J. Mol. Graph. Model. 2002, 20, 269–276. [Google Scholar] [CrossRef]
- Guendouzi, A.; Belkhiri, L.; Guendouzi, A.; Derouiche, T.M.T.; Djekoun, A. A combined in silico approaches of 2D-QSAR, molecular docking, molecular dynamics and ADMET prediction of anti-cancer inhibitor activity for actinonin derivatives. J. Biomol. Struct. Dyn. 2024, 42, 119–133. [Google Scholar] [CrossRef]
- Tropsha, A. Best Practices for QSAR Model Development, Validation, and Exploitation. Mol. Inform. 2010, 29, 476–488. [Google Scholar] [CrossRef]
- Tropsha, A.; Gramatica, P.; Gombar, V.K. The Importance of Being Earnest: Validation is the Absolute Essential for Successful Application and Interpretation of QSPR Models. QSAR Comb. Sci. 2003, 22, 69–77. [Google Scholar] [CrossRef]
- Abchir, O.; Daoui, O.; Belaidi, S.; Ouassaf, M.; Qais, F.A.; ElKhattabi, S.; Belaaouad, S.; Chtita, S. Design of novel benzimidazole derivatives as potential α-amylase inhibitors using QSAR, pharmacokinetics, molecular docking, and molecular dynamics simulation studies. J. Mol. Model. 2022, 28, 106. [Google Scholar] [CrossRef]
- Guendouzi, A.; Mekelleche, S.M. Prediction of the melting points of fatty acids from computed molecular descriptors: A quantitative structure–property relationship study. Chem. Phys. Lipids 2012, 165, 1–6. [Google Scholar] [CrossRef]
- Guendouzi, A.; Belkhiri, L.; Djelti, F.; Zendaoui, Z.M.; Brahim, H.; Djekoun, A.; Boucekkine, A. In-silico design novel phenylsulfonyl furoxan and phenstatin derivatives as multi-target anti-cancer inhibitors based on 2D-QSAR, molecular docking, dynamics and ADMET approaches. Mol. Simul. 2024, 50, 470–492. [Google Scholar] [CrossRef]
- Guendouzi, A.; Belkhiri, L.; Culletta, G.; Tutone, M. Unveiling Novel Hybrids Quinazoline/Phenylsulfonylfuroxan Derivatives with Potent Multi-Anticancer Inhibition: DFT and In Silico Approach Combining 2D-QSAR, Molecular Docking, Dynamics Simulations, and ADMET Properties. ChemistrySelect 2024, 9, e202404283. [Google Scholar] [CrossRef]
- Djelti, F.; Berkane, A.; Alharbi, H.M.; Guendouzi, A.; Ghellai, I.; Nabil, B.; Belkhiri, L.; Brahim, H.; Tarik, C.; Belarbi, M.; et al. Identification of Ajuga Iva Extracts as Potential Candidates for Antidysmenorrhea Targeting Human COX2 and PGE2S-1 through In Vitro and In Silico Drug Repurposing Approach. ChemistrySelect 2024, 9, e202400353. [Google Scholar] [CrossRef]
- Akash, S.; Abdelkrim, G.; Bayil, I.; Hosen, E.; Mukerjee, N.; Shater, A.F.; Saleh, F.M.; Albadrani, G.M.; Al-Ghadi, M.Q.; Abdel-Daim, M.M.; et al. Antimalarial drug discovery against malaria parasites through haplopine modification: An advanced computational approach. J. Cell. Mol. Med. 2023, 27, 3168–3188. [Google Scholar] [CrossRef]
- Jawarkar, R.; Bakal, R.L.; Zaki, M.E.; Al-Hussain, S.; Ghosh, A.; Gandhi, A.; Mukerjee, N.; Samad, A.; Masand, V.H.; Lewaa, I. QSAR based virtual screening derived identification of a novel hit as a SARS CoV-229E 3CLpro Inhibitor: GA-MLR QSAR modeling supported by molecular Docking, molecular dynamics simulation and MMGBSA calculation approaches. Arab. J. Chem. 2022, 15, 103499. [Google Scholar] [CrossRef]
- Talete, S. DRAGON for Windows and Linux. 2007. Available online: http://www.talete.mi.it (accessed on 10 March 2024).
- RStudio, R.T. Integrated Development Environment for R; RStudio, PBC: Boston, MA, USA, 2020. [Google Scholar]
- Papa, E.; Dearden, J.C.; Gramatica, P. Linear QSAR regression models for the prediction of bioconcentration factors by physicochemical properties and structural theoretical molecular descriptors. Chemosphere 2007, 67, 351–358. [Google Scholar] [CrossRef] [PubMed]
- Gramatica, P. Principles of QSAR models validation: Internal and external. QSAR Comb. Sci. 2007, 26, 694–701. [Google Scholar] [CrossRef]
- Sun, Q.; Berkelbach, T.C.; Blunt, N.S.; Booth, G.H.; Guo, S.; Li, Z.; Liu, J.; McClain, J.D.; Sayfutyarova, E.R.; Sharma, S.; et al. PySCF: The Python-based simulations of chemistry framework. WIREs Comput. Mol. Sci. 2018, 8, e1340. [Google Scholar] [CrossRef]
- Tosco, P.; Stiefl, N.; Landrum, G. Bringing the MMFF force field to the RDKit: Implementation and validation. J. Cheminformatics 2014, 6, 37. [Google Scholar] [CrossRef]
- Bitencourt-Ferreira, G.; de Azevedo, W.F. Molegro Virtual Docker for Docking. In Docking Screens for Drug Discovery; de Azevedo, W.F., Jr., Ed.; Springer: New York, NY, USA, 2019; pp. 149–167. [Google Scholar]
- Westermaier, Y.; Barril, X.; Scapozza, L. Virtual screening: An in silico tool for interlacing the chemical universe with the proteome. Methods 2015, 71, 44–57. [Google Scholar] [CrossRef]
- Lengauer, T.; Rarey, M. Computational methods for biomolecular docking. Curr. Opin. Struct. Biol. 1996, 6, 402–406. [Google Scholar] [CrossRef] [PubMed]
- Anbuselvam, M.; Easwaran, M.; Meyyazhagan, A.; Anbuselvam, J.; Bhotla, H.K.; Sivasubramanian, M.; Annadurai, Y.; Kaul, T.; Pappusamy, M.; Balasubramanian, B. Structure-based virtual screening, pharmacokinetic prediction, molecular dynamics studies for the identification of novel EGFR inhibitors in breast cancer. J. Biomol. Struct. Dyn. 2021, 39, 4462–4471. [Google Scholar] [CrossRef] [PubMed]
- Wang, T.; Bemis, G.; Hanzelka, B.; Zuccola, H.; Wynn, M.; Moody, C.S.; Green, J.; Locher, C.; Liu, A.; Gao, H.; et al. Mtb PKNA/PKNB Dual Inhibition Provides Selectivity Advantages for Inhibitor Design To Minimize Host Kinase Interactions. ACS Med. Chem. Lett. 2017, 8, 1224–1229. [Google Scholar] [CrossRef] [PubMed]
- Kouranov, A.; Xie, L.; de la Cruz, J.; Chen, L.; Westbrook, J.; Bourne, P.E.; Berman, H.M. The RCSB PDB information portal for structural genomics. Nucleic Acids Res. 2006, 34 (Suppl. S1), D302–D305. [Google Scholar] [CrossRef]
- Valdés-Tresanco, M.S.; Valdés-Tresanco, M.E.; Valiente, P.A.; Moreno, E. gmx_MMPBSA: A New Tool to Perform End-State Free Energy Calculations with GROMACS. J. Chem. Theory Comput. 2021, 17, 6281–6291. [Google Scholar] [CrossRef]
- Miller, B.R., III; McGee, T.D.; Swails, J.M.; Homeyer, N.; Gohlke, H.; Roitberg, A.E. MMPBSA.py: An Efficient Program for End-State Free Energy Calculations. J. Chem. Theory Comput. 2012, 8, 3314–3321. [Google Scholar] [CrossRef] [PubMed]
- Studio, D. Discovery Studio, version 2.1, Accelrys: San Diego, CA, USA, 2008.
- Abraham, M.J.; Murtola, T.; Schulz, R.; Páll, S.; Smith, J.C.; Hess, B.; Lindahl, E. GROMACS: High performance molecular simulations through multi-level parallelism from laptops to supercomputers. SoftwareX 2015, 1, 19–25. [Google Scholar] [CrossRef]
- Zoete, V.; Cuendet, M.A.; Grosdidier, A.; Michielin, O. SwissParam: A fast force field generation tool for small organic molecules. J. Comput. Chem. 2011, 32, 2359–2368. [Google Scholar] [CrossRef]
- Vanommeslaeghe, K.; MacKerell, A.D., Jr. Automation of the CHARMM General Force Field (CGenFF) I: Bond Perception and Atom Typing. J. Chem. Inf. Model. 2012, 52, 3144–3154. [Google Scholar] [CrossRef]
- Orgensen, W.L.; Chandrasekhar, J.; Madura, J.D.; Impey, R.W.; Klein, M.L. Comparison of simple potential functions for simulating liquid water. J. Chem. Phys. 1983, 79, 926–935. [Google Scholar] [CrossRef]
- Parrinello, M.; Rahman, A. Polymorphic transitions in single crystals: A new molecular dynamics method. J. Appl. Phys. 1981, 52, 7182–7190. [Google Scholar] [CrossRef]
- Schrödinger, L. The PyMOL Molecular Graphics System, version 1.3 r1. 2010. Available online: https://www.pymol.org/#products (accessed on 10 March 2024).
Disclaimer/Publisher’s Note: The statements, opinions and data contained in all publications are solely those of the individual author(s) and contributor(s) and not of MDPI and/or the editor(s). MDPI and/or the editor(s) disclaim responsibility for any injury to people or property resulting from any ideas, methods, instructions or products referred to in the content. |
© 2025 by the authors. Licensee MDPI, Basel, Switzerland. This article is an open access article distributed under the terms and conditions of the Creative Commons Attribution (CC BY) license (https://creativecommons.org/licenses/by/4.0/).







































