Structural and Immunological Features of PR-10 Allergens: Focusing on the Major Alder Pollen Allergen Aln g 1
Abstract
1. Introduction
2. Results and Discussion
2.1. Influence on the Expression of Alarmin Genes in Epithelial Cells
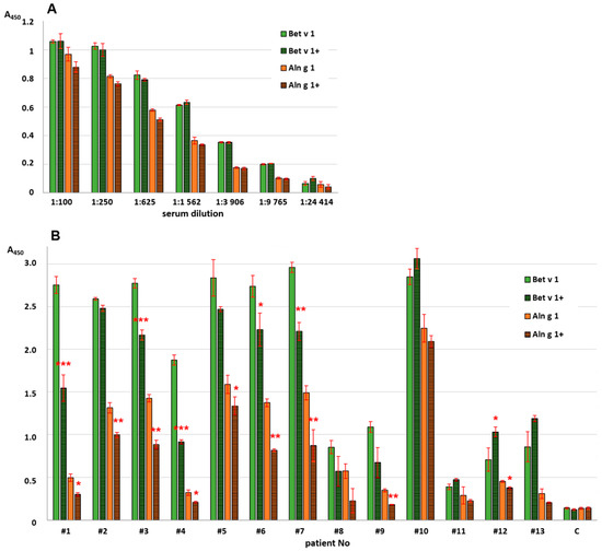
2.2. Effects of Heating on the Structure and Antibody-Binding Capacity of Alder Aln g 1
2.3. Ligand-Binding Capacity of Aln g 1
2.4. Effect of Amino Acid Substitutions on the Antibody- and Lipid-Binding Capacity of Aln g 1
3. Materials and Methods
3.1. Materials
3.2. Stimulation of Calu-3 Cells with Aln g 1 and Bet v 1
3.3. RNA Extraction
3.4. Real-Time PCR
3.5. Production of Aln g 1 and It Mutant
3.6. CD Spectroscopy
3.7. Immunoglobulin Binding Assay
3.8. Computational Studies
3.9. Ligand Binding
4. Conclusions
Supplementary Materials
Author Contributions
Funding
Institutional Review Board Statement
Informed Consent Statement
Data Availability Statement
Conflicts of Interest
References
- Papadopoulos, N.G.; Agache, I.; Bavbek, S.; Bilo, B.M.; Braido, F.; Cardona, V.; Custovic, A.; de Monchy, J.; Demoly, P.; Eigenmann, P.; et al. Research needs in allergy: An EAACI position paper, in collaboration with EFA. Clin. Transl. Allergy 2012, 2, 21. [Google Scholar] [CrossRef] [PubMed]
- The European Academy of Allergy and Clinical Immunology (EAACI). Advocacy Manifesto Tackling the Allergy Crisis in Europe-Concerted Policy Action Needed. June 2015 Version. Available online: https://www.veroval.info/-/media/diagnostics/files/knowledge/eaaci_advocacy_manifesto.pdf (accessed on 10 March 2024).
- Finkina, E.I.; Melnikova, D.N.; Bogdanov, I.V.; Ovchinnikova, T.V. Plant Pathogenesis-Related Proteins PR-10 and PR-14 as Components of Innate Immunity System and Ubiquitous Allergens. Curr. Med. Chem. 2017, 24, 1772–1787. [Google Scholar] [CrossRef] [PubMed]
- Polak, D.; Vollmann, U.; Grilo, J.; Bogdanov, I.V.; Aglas, L.; Ovchinnikova, T.V.; Ferreira, F.; Bohle, B. Bet v 1-independent sensitization to major allergens in Fagales pollen: Evidence at the T-cell level. Allergy 2023, 78, 743–751. [Google Scholar] [CrossRef] [PubMed]
- Kleine-Tebbe, J.; Zuberbier, T.; Werfel, T.; Krüll, M.; Wagenmann, M.; Johansen, N.; Würtzen, P.A.; Wolf, H.; Mücke, V.; Wüstenberg, E.; et al. Is allergy immunotherapy with birch sufficient to treat patients allergic to pollen of tree species of the birch homologous group? Allergy 2020, 75, 1327–1336. [Google Scholar] [CrossRef] [PubMed]
- Vieths, S.; Scheurer, S.; Ballmer-Weber, B. Current understanding of cross-reactivity of food allergens and pollen. Ann. N. Y. Acad. Sci. 2002, 964, 47–68. [Google Scholar] [CrossRef] [PubMed]
- Grilo, J.R.; Kitzmüller, C.; Aglas, L.; Acosta, G.S.; Vollmann, U.; Ebner, C.; Horak, F.; Kinaciyan, T.; Radauer, C.; Ferreira, F.; et al. IgE-cross-blocking antibodies to Fagales following sublingual immunotherapy with recombinant Bet v 1. Allergy 2021, 76, 2555–2564. [Google Scholar] [CrossRef] [PubMed]
- Čelakovská, J.; Bukač, J.; Vaňková, R.; Krejsek, J.; Andrýs, C. The relation between the sensitization to molecular components of inhalant allergens and food reactions in patients suffering from atopic dermatitis. Food Agric. Immunol. 2021, 32, 33–53. [Google Scholar] [CrossRef]
- Kahlert, H.; Suck, R.; Weber, B.; Nandy, A.; Wald, M.; Keller, W.; Cromwell, O.; Fiebig, H. Characterization of a Hypoallergenic Recombinant Bet v 1 Variant as a Candidate for Allergen-Specific Immunotherapy. Int. Arch. Allergy Immunol. 2008, 145, 193–206. [Google Scholar] [CrossRef] [PubMed]
- Klimek, L.; Bachert, C.; Lukat, K.; Pfaar, O.; Meyer, H.; Narkus, A. Allergy immunotherapy with a hypoallergenic recombinant birch pollen allergen rBet v 1-FV in a randomized controlled trial. Clin. Transl. Allergy 2015, 5, 28. [Google Scholar] [CrossRef]
- Arquint, O.; Helbling, A.; Crameri, R.; Ferreira, F.; Breitenbach, M.; Pichler, W.J. Reduced in vivo allergenicity of Bet v 1d isoform, a natural component of birch pollen. J. Allergy Clin. Immunol. 1999, 104, 1239–1243. [Google Scholar] [CrossRef]
- Spangfort, M.D.; Mirza, O.; Ipsen, H.; van Neerven, R.J.J.; Gajhede, M.; Larsen, J.N. Dominating IgE-binding epitope of Bet v 1, the major allergen of birch pollen, characterized by X-ray crystallography and site-directed mutagenesis. J. Immunol. 2003, 171, 3084–3090. [Google Scholar] [CrossRef] [PubMed]
- Brier, S.; Le Mignon, M.; Jain, K.; Lebrun, C.; Peurois, F.; Kellenberger, C.; Floch, V.B.; Mascarell, L.; Nony, E.; Moingeon, P. Characterization of epitope specificities of reference antibodies used for the quantification of the birch pollen allergen Bet v 1. Allergy 2018, 73, 1032–1040. [Google Scholar] [CrossRef] [PubMed]
- Neudecker, P.; Lehmann, K.; Nerkamp, J.; Haase, T.; Wangorsch, A.; Fötisch, K.; Hoffmann, S.; Rösch, P.; Vieths, S.; Scheurer, S. Mutational epitope analysis of Pru av 1 and Api g 1, the major allergens of cherry (Prunus avium) and celery (Apium graveolens): Correlating IgE reactivity with three-dimensional structure. Biochem. J. 2003, 376, 97–107. [Google Scholar] [CrossRef] [PubMed]
- Hecker, J.; Diethers, A.; Schulz, D.; Sabri, A.; Plum, M.; Michel, Y.; Mempel, M.; Ollert, M.; Jakob, T.; Blank, S.; et al. An IgE epitope of Bet v 1 and fagales PR10 proteins as defined by a human monoclonal IgE. Allergy 2012, 67, 1530–1537. [Google Scholar] [CrossRef] [PubMed]
- Guryanova, S.V.; Finkina, E.I.; Melnikova, D.N.; Bogdanov, I.V.; Bohle, B.; Ovchinnikova, T.V. How Do Pollen Allergens Sensitize? Front. Mol. Biosci. 2022, 9, 900533. [Google Scholar] [CrossRef] [PubMed]
- Finkina, E.I.; Melnikova, D.N.; Bogdanov, I.V.; Matveevskaya, N.S.; Ignatova, A.A.; Toropygin, I.Y.; Ovchinnikova, T.V. Impact of Different Lipid Ligands on the Stability and IgE-Binding Capacity of the Lentil Allergen Len c 3. Biomolecules 2020, 10, 1668. [Google Scholar] [CrossRef] [PubMed]
- Soh, W.T.; Aglas, L.; Mueller, G.A.; Gilles, S.; Weiss, R.; Scheiblhofer, S.; Huber, S.; Scheidt, T.; Thompson, P.M.; Briza, P.; et al. Multiple roles of Bet v 1 ligands in allergen stabilization and modulation of endosomal protease activity. Allergy 2019, 74, 2382–2393. [Google Scholar] [CrossRef] [PubMed]
- Mattila, K.; Renkonen, R. Modelling of Bet v 1 binding to lipids. Scand. J. Immunol. 2009, 70, 116–124. [Google Scholar] [CrossRef]
- Roan, F.; Obata-Ninomiya, K.; Ziegler, S.F. Epithelial cell-derived cytokines: More than just signaling the alarm. J. Clin. Investig. 2019, 129, 1441–1451. [Google Scholar] [CrossRef]
- Tordesillas, L.; Gómez-Casado, C.; Garrido-Arandia, M.; Murua-García, A.; Palacín, A.; Varela, J.; Konieczna, P.; Cuesta-Herranz, J.; Akdis, C.A.; O’Mahony, L.; et al. Transport of Pru p 3 across gastrointestinal epithelium—An essential step towards the induction of food allergy? Clin. Exp. Allergy 2013, 43, 1374–1383. [Google Scholar] [CrossRef]
- Nešić, A.; Čavić, M.; Popović, M.; Gavrović-Jankulović, M. A new approach for activation of the kiwifruit cysteine protease for usage in in-vitro testing. Mol. Biol. Rep. 2021, 48, 4065–4072. [Google Scholar] [CrossRef] [PubMed]
- Wang, S.; Sun, X.; Wang, M.; Deng, Z.; Niu, B.; Chen, Q. Effect of roasted peanut allergen Ara h 3 protein on the sensitization of Caco-2 cells. J. Sci. Food Agric. 2021, 101, 5325–5336. [Google Scholar] [CrossRef] [PubMed]
- Bohle, B.; Zwölfer, B.; Heratizadeh, A.; Jahn-Schmid, B.; Antonia, Y.D.; Alter, M.; Keller, W.; Zuidmeer, L.; van Ree, R.; Werfel, T.; et al. Cooking birch pollen-related food: Divergent consequences for IgE- and T cell-mediated reactivity in vitro and in vivo. J. Allergy Clin. Immunol. 2006, 118, 242–249. [Google Scholar] [CrossRef] [PubMed]
- Husslik, F.; Hanschmann, K.-M.; Krämer, A.; von Loetzen, C.S.; Schweimer, K.; Bellinghausen, I.; Treudler, R.; Simon, J.C.; Vogel, L.; Völker, E.; et al. Folded or Not? Tracking Bet v 1 Conformation in Recombinant Allergen Preparations. PLoS ONE 2015, 10, e0132956. [Google Scholar] [CrossRef] [PubMed][Green Version]
- Johansen, P.; Senti, G.; Gómez, J.M.M.; Wüthrich, B.; Bot, A.; Kündig, T.M. Heat denaturation, a simple method to improve the immunotherapeutic potential of allergens. Eur. J. Immunol. 2005, 35, 3591–3598. [Google Scholar] [CrossRef] [PubMed]
- Finkina, E.I.; Bogdanov, I.V.; Ziganshin, R.H.; Strokach, N.N.; Melnikova, D.N.; Toropygin, I.Y.; Matveevskaya, N.S.; Ovchinnikova, T.V. Structural and Immunologic Properties of the Major Soybean Allergen Gly m 4 Causing Anaphylaxis. Int. J. Mol. Sci. 2022, 23, 15386. [Google Scholar] [CrossRef] [PubMed]
- Melnikova, D.N.; Finkina, E.I.; Bogdanov, I.V.; Tagaev, A.A.; Ovchinnikova, T.V. Features and Possible Applications of Plant Lipid-Binding and Transfer Proteins. Membranes 2023, 13, 2. [Google Scholar] [CrossRef] [PubMed]
- von Loetzen, C.S.; Hoffmann, T.; Hartl, M.J.; Schweimer, K.; Schwab, W.; Rösch, P.; Hartl-Spiegelhauer, O. Secret of the major birch pollen allergen Bet v 1: Identification of the physiological ligand. Biochem. J. 2014, 457, 379–390. [Google Scholar] [CrossRef] [PubMed]
- Tordesillas, L.; Cubells-Baeza, N.; Gómez-Casado, C.; Berin, C.; Esteban, V.; Barcik, W.; O’Mahony, L.; Ramirez, C.; Pacios, L.F.; Garrido-Arandia, M.; et al. Mechanisms underlying induction of allergic sensitization by Pru p 3. Clin. Exp. Allergy 2017, 47, 1398–1408. [Google Scholar] [CrossRef]
- Gonzalez-Klein, Z.; Cuevas-Zuviria, B.; Wangorsch, A.; Hernandez-Ramirez, G.; Pazos-Castro, D.; Oeo-Santos, C.; Romero-Sahagun, A.; Pacios, L.F.; Tome-Amat, J.; Scheurer, S.; et al. The key to the allergenicity of lipid transfer protein (LTP) ligands: A structural characterization. Biochim. et Biophys. Acta (BBA)-Mol. Cell Biol. Lipids 2021, 1866, 158928. [Google Scholar] [CrossRef]
- Ferreira, F.; Ebner, C.; Kramer, B.; Casari, G.; Briza, P.; Kungl, A.J.; Grimm, R.; Jahn-Schmid, B.; Breiteneder, H.; Kraft, D.; et al. Modulation of IgE reactivity of allergens by site-directed mutagenesis: Potential use of hypoallergenic variants for immunotherapy. FASEB J. 1998, 12, 231–242. [Google Scholar] [CrossRef] [PubMed]
- Gieras, A.; Cejka, P.; Blatt, K.; Focke-Tejkl, M.; Linhart, B.; Flicker, S.; Stoecklinger, A.; Marth, K.; Drescher, A.; Thalhamer, J.; et al. Mapping of Conformational IgE Epitopes with Peptide-Specific Monoclonal Antibodies Reveals Simultaneous Binding of Different IgE Antibodies to a Surface Patch on the Major Birch Pollen Allergen, Bet v 1. J. Immunol. 2011, 186, 5333–5344. [Google Scholar] [CrossRef] [PubMed]
- O’hehir, R.E.; Prickett, S.R.; Rolland, J.M. T Cell Epitope Peptide Therapy for Allergic Diseases. Curr. Allergy Asthma Rep. 2016, 16, 14. [Google Scholar] [CrossRef] [PubMed]
- Livak, K.J.; Schmittgen, T.D. Analysis of Relative Gene Expression Data Using Real-Time Quantitative PCR and the 2−ΔΔCT Method. Methods 2001, 25, 402–408. [Google Scholar] [CrossRef] [PubMed]
- Tian, W.; Chen, C.; Lei, X.; Zhao, J.; Liang, J. CASTp 3.0: Computed atlas of surface topography of proteins. Nucleic Acids Res. 2018, 46, W363–W367. [Google Scholar] [CrossRef]
- Buhot, N.; Gomès, E.; Milat, M.-L.; Ponchet, M.; Marion, D.; Lequeu, J.; Delrot, S.; Coutos-Thévenot, P.; Blein, J.-P. Modulation of the biological activity of a tobacco LTP1 by lipid complexation. Mol. Biol. Cell 2004, 15, 5047–5052. [Google Scholar] [CrossRef]







| Sample | Conditions | α-helix, % | β-sheet, % | β-turn, % | Random, % | NRMSD * |
|---|---|---|---|---|---|---|
| Aln g 1 | 20 °C | 14.0 | 33.6 | 20.4 | 32.1 | 0.02 |
| 40 °C | 13.8 | 33.1 | 21.1 | 32.0 | 0.02 | |
| 60 °C | 10.2 | 35.9 | 21.9 | 32.0 | 0.02 | |
| 80 °C | 9.4 | 35.6 | 22.5 | 32.6 | 0.02 | |
| 98 °C | 8.8 | 35.6 | 22.5 | 33.0 | 0.04 | |
| 20 °C end | 9.6 | 34.6 | 21.5 | 34.4 | 0.03 | |
| Aln g 1 +LPPG | 20 °C | 32.6 | 18.9 | 21.4 | 27.1 | 0.03 |
| 40 °C | 32.6 | 18.6 | 21.4 | 28.4 | 0.04 | |
| 60 °C | 33.3 | 23.7 | 17.7 | 25.2 | 0.07 | |
| 80 °C | 21.5 | 25.2 | 22.0 | 31.3 | 0.03 | |
| 98 °C | 21.1 | 26.2 | 22.1 | 30.6 | 0.02 | |
| 20 °C end | 29.0 | 19.7 | 21.8 | 29.6 | 0.02 |
Disclaimer/Publisher’s Note: The statements, opinions and data contained in all publications are solely those of the individual author(s) and contributor(s) and not of MDPI and/or the editor(s). MDPI and/or the editor(s) disclaim responsibility for any injury to people or property resulting from any ideas, methods, instructions or products referred to in the content. |
© 2024 by the authors. Licensee MDPI, Basel, Switzerland. This article is an open access article distributed under the terms and conditions of the Creative Commons Attribution (CC BY) license (https://creativecommons.org/licenses/by/4.0/).
Share and Cite
Melnikova, D.N.; Finkina, E.I.; Potapov, A.E.; Danilova, Y.D.; Toropygin, I.Y.; Matveevskaya, N.S.; Ovchinnikova, T.V.; Bogdanov, I.V. Structural and Immunological Features of PR-10 Allergens: Focusing on the Major Alder Pollen Allergen Aln g 1. Int. J. Mol. Sci. 2024, 25, 4965. https://doi.org/10.3390/ijms25094965
Melnikova DN, Finkina EI, Potapov AE, Danilova YD, Toropygin IY, Matveevskaya NS, Ovchinnikova TV, Bogdanov IV. Structural and Immunological Features of PR-10 Allergens: Focusing on the Major Alder Pollen Allergen Aln g 1. International Journal of Molecular Sciences. 2024; 25(9):4965. https://doi.org/10.3390/ijms25094965
Chicago/Turabian StyleMelnikova, Daria N., Ekaterina I. Finkina, Andrey E. Potapov, Yulia D. Danilova, Ilia Y. Toropygin, Natalia S. Matveevskaya, Tatiana V. Ovchinnikova, and Ivan V. Bogdanov. 2024. "Structural and Immunological Features of PR-10 Allergens: Focusing on the Major Alder Pollen Allergen Aln g 1" International Journal of Molecular Sciences 25, no. 9: 4965. https://doi.org/10.3390/ijms25094965
APA StyleMelnikova, D. N., Finkina, E. I., Potapov, A. E., Danilova, Y. D., Toropygin, I. Y., Matveevskaya, N. S., Ovchinnikova, T. V., & Bogdanov, I. V. (2024). Structural and Immunological Features of PR-10 Allergens: Focusing on the Major Alder Pollen Allergen Aln g 1. International Journal of Molecular Sciences, 25(9), 4965. https://doi.org/10.3390/ijms25094965

