Cytotoxic Natural Products from Cryptomeria japonica (Thunb. ex L.) D.Don
Abstract
1. Introduction
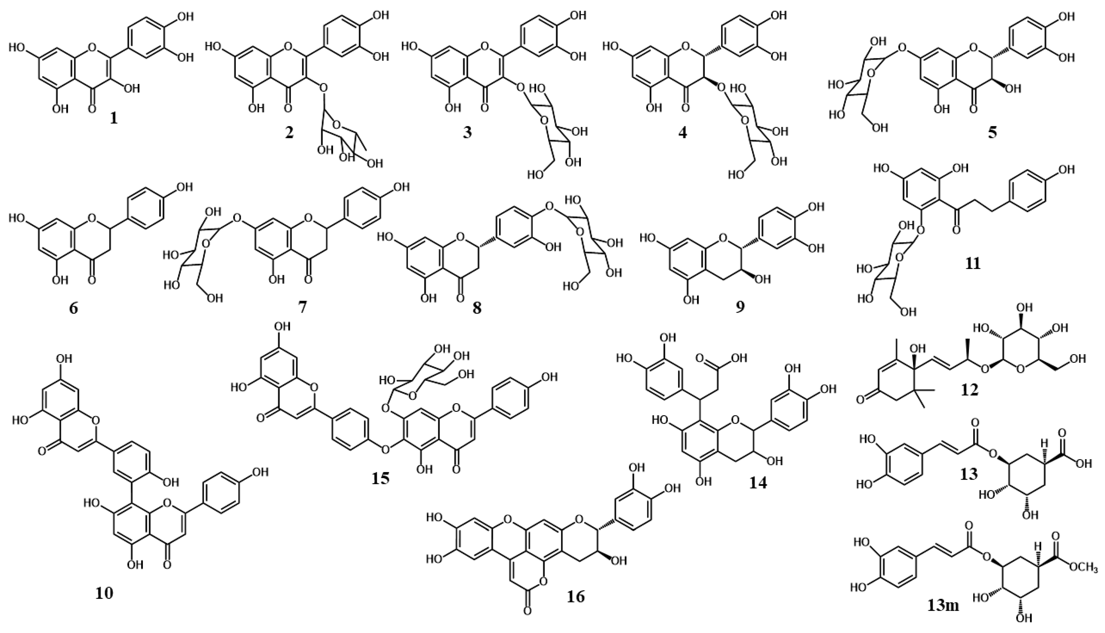
2. Results
3. Discussion
4. Materials and Methods
4.1. Plant Material
4.2. Extraction and Purification by Partition with Organic Solvents
4.3. Amberlite XAD-7 Chromatography
4.4. Sephadex LH-20 Gel Filtration Chromatography
4.5. Spectroscopy
4.6. Cytotoxicity
5. Conclusions
Supplementary Materials
Author Contributions
Funding
Institutional Review Board Statement
Informed Consent Statement
Data Availability Statement
Conflicts of Interest
References
- Moriguchi, N.; Uchiyama, K.; Miyagi, R.; Moritsuka, E.; Takahashi, A.; Tamura, K.; Tsumura, Y.; Teshima, K.M.; Tachida, H.; Kusumi, J. Inferring the demographic history of Japanese cedar, Cryptomeria japonica, using amplicon sequencing. Heredity 2019, 123, 371–383. [Google Scholar] [CrossRef] [PubMed]
- Ingrouille, M. Historical Ecology of the British Flora; Chapman & Hall: London, UK, 1995; Volume xi, 347p. [Google Scholar]
- Cha, J.-D.; Kim, J.-Y. Essential Oil from Cryptomeria japonica Induces Apoptosis in Human Oral Epidermoid Carcinoma Cells via Mitochondrial Stress and Activation of Caspases. Molecules 2012, 17, 3890–3901. [Google Scholar] [CrossRef]
- Ho, S.-T.; Tung, Y.-T.; Kuo, Y.-H.; Lin, C.-C.; Wu, J.-H. Ferruginol Inhibits Non–Small Cell Lung Cancer Growth by Inducing Caspase-Associated Apoptosis. Integr. Cancer Ther. 2015, 14, 86–97. [Google Scholar] [CrossRef] [PubMed]
- Chen, C.-C.; Wu, J.-H.; Yang, N.-S.; Chang, J.-Y.; Kuo, C.-C.; Wang, S.-Y.; Kuo, Y.-H. Cytotoxic C35 Terpenoid Cryptotrione from the Bark of Cryptomeria japonica. Org. Lett. 2010, 12, 2786–2789. [Google Scholar] [CrossRef] [PubMed]
- Lin, F.-M.; Tsai, C.-H.; Yang, Y.-C.; Tu, W.-C.; Chen, L.-R.; Liang, Y.-S.; Wang, S.-Y.; Shyur, L.-F.; Chien, S.-C.; Cha, T.-L.; et al. A Novel Diterpene Suppresses CWR22Rv1 Tumor Growth In vivo through Antiproliferation and Proapoptosis. Cancer Res. 2008, 68, 6634–6642. [Google Scholar] [CrossRef] [PubMed]
- Shyur, L.-F.; Huang, C.-C.; Lo, C.-P.; Chiu, C.-Y.; Chen, Y.-P.; Wang, S.-Y.; Chang, S.-T. Hepatoprotective phytocompounds from Cryptomeria japonica are potent modulators of inflammatory mediators. Phytochemistry 2008, 69, 1348–1358. [Google Scholar] [CrossRef]
- Li, W.-H.; Chang, S.-T.; Chang, S.-C.; Chang, H.-T. Isolation of antibacterial diterpenoids from Cryptomeria japonica bark. Nat. Prod. Res. 2008, 22, 1085–1093. [Google Scholar] [CrossRef]
- Kofujita, H.; Ota, M.; Takahashi, K.; Kawai, Y.; Hayashi, Y. A diterpene quinone from the bark of Cryptomeria japonica. Phytochemistry 2002, 61, 895–898. [Google Scholar] [CrossRef]
- Takao, Y.; Kuriyama, I.; Yamada, T.; Mizoguchi, H.; Yoshida, H.; Mizushina, Y. Antifungal properties of Japanese cedar essential oil from waste wood chips made from used sake barrels. Mol. Med. Rep. 2012, 5, 1163–1168. [Google Scholar]
- Sasaki, S.; Tozawa, T.; Sugamoto, K.; Matsushita, Y.; Satoh, T. Diterpene para-hydroquinone compounds derived from cryptoquinone inhibit adipocyte differentiation of mouse 3T3-L1 cells and activate the Nrf2/ARE pathway. Biosci. Biotechnol. Biochem. 2013, 77, 2131–2133. [Google Scholar] [CrossRef] [PubMed]
- Shyur, L.-F.; Huang, C.-C.; Hsu, Y.-Y.; Cheng, Y.-W.; Yang, S.-D. A sesquiterpenol extract potently suppresses inflammation in macrophages and mice skin and prevents chronic liver damage in mice through JNK-dependent HO-1 expression. Phytochemistry 2011, 72, 391–399. [Google Scholar] [CrossRef]
- Cheng, S.-S.; Chang, H.-T.; Chang, S.-T.; Tsai, K.-H.; Chen, W.-J. Bioactivity of selected plant essential oils against the yellow fever mosquito Aedes aegypti larvae. Biores Technol. 2003, 89, 99–102. [Google Scholar] [CrossRef] [PubMed]
- Cha, J.-D.; Jeong, M.R.; Jeong, S.I.; Moon, S.E.; Kil, B.S.; Yun, S.I.; Lee, K.Y.; Song, Y.H. Chemical composition and antimicrobial activity of the essential oil of Cryptomeria japonica. Phytother. Res. 2007, 21, 295–299. [Google Scholar] [CrossRef]
- Oh, S.-J.; Kim, J.-M.; Ju, Y.-S.; Jeong, S.-I.; Na, S.-Y. Chemical Composition and Antimicrobial Activity of the Essential Oil of Cryptomeria japonica. J. Korean Med. Ophthalmol. Otolaryngol. Dermatol. 2006, 19, 68–74. [Google Scholar]
- Cheng, S.S.; Lin, H.Y.; Chang, S.T. Chemical composition and antifungal activity of essential oils from different tissues of Japanese Cedar (Cryptomeria japonica). J. Agric. Food Chem. 2005, 53, 614–619. [Google Scholar] [CrossRef] [PubMed]
- Satyal, P.; Setzer, W. Chemical composition of Cryptomeria japonica leaf oil from Nepal. Am. J. Essent. Oil Nat. Prod. 2016, 3, 7–10. [Google Scholar]
- Moiteiro, C.; Esteves, T.; Ramalho, L.; Rojas, R.; Alvarez, S.; Zacchino, S.; Bragança, H. Essential oil characterization of two Azorean Cryptomeria japonica populations and their biological evaluations. Nat. Prod. Commun. 2013, 8, 1785–1790. [Google Scholar] [CrossRef]
- Nakagawa, T.; Zhu, Q.; Ishikawa, H.; Ohnuki, K.; Kakino, K.; Horiuchi, N.; Shinotsuka, H.; Naito, T.; Matsumoto, T.; Minamisawa, N.; et al. Multiple uses of Essential Oil and By-Products from Various Parts of the Yakushima Native Cedar (Cryptomeria japonica). J. Wood Chem. Technol. 2016, 36, 42–55. [Google Scholar] [CrossRef]
- Shieh, B.; Iizuka, Y.; Matsubara, Y. Monoterpenoid and Sesquiterpenoid Constituents of the Essential Oil of Sugi (Cryptomeria japonica D.Don.). Agric. Biol. Chem. 1981, 45, 1493–1495. [Google Scholar]
- Lima, A.; Arruda, F.; Medeiros, J.; Baptista, J.; Madruga, J.; Lima, E. Variations in Essential Oil Chemical Composition and Biological Activities of Cryptomeria japonica (Thunb. ex L.f.) D.Don. from Different Geographical Origins: A Critical Review. Appl. Sci. 2021, 11, 11097. [Google Scholar] [CrossRef]
- Kim, S.H.; Lee, S.Y.; Hong, C.Y.; Gwak, K.S.; Park, M.J.; Smith, D.; Choi, I.G. Whitening and antioxidant activities of bornyl acetate and nezukol fractionated from Cryptomeria japonica essential oil. Int. J. Cosmet. Sci. 2013, 35, 484–490. [Google Scholar] [PubMed]
- Arruda, F.; Rosa, J.S.; Rodrigues, A.; Oliveira, L.; Lima, A.; Barroso, J.G.; Lima, E. Essential Oil Variability of Azorean Cryptomeria japonica Leaves under Different Distillation Methods, Part 1: Color, Yield and Chemical Composition Analysis. Appl. Sci. 2022, 12, 452. [Google Scholar]
- Su, W.-C.; Fang, J.-M.; Cheng, Y.-S. Sesquiterpenes from leaves of Cryptomeria japonica. Phytochemistry 1995, 39, 603–607. [Google Scholar]
- Morisawa, J.; Kim, C.S.; Kashiwagi, T.; Tebayashi, S.; Horiike, M. Repellents in the Japanese cedar, Cryptomeria japonica, against the pill-bug, Armadillidium vulgare. Biosci. Biotechnol. Biochem. 2002, 66, 2424–2428. [Google Scholar] [CrossRef] [PubMed]
- Arihara, S.; Umeyama, A.; Bando, S.; Imoto, S.; Ono, M.; Yoshikawa, K. Three new sesquiterpenes from the black heartwood of Cryptomeria japonica. Chem. Pharm. Bull. 2004, 52, 463–465. [Google Scholar]
- Matsubara, E.; Tsunetsugu, Y.; Ohira, T.; Sugiyama, M. Essential Oil of Japanese Cedar (Cryptomeria japonica) Wood Increases Salivary Dehydroepiandrosterone Sulfate Levels after Monotonous Work. Int. J. Environ. Res. Public. Health. 2017, 14, 97. [Google Scholar] [PubMed]
- Chang, C.-I.; Chen, C.-C.; Wang, S.-Y.; Chang, H.-S.; Chao, L.K.; Chen, J.-J.; Chen, C.-C.; Kuo, Y.-H. Three new abietane-type diterpenes from the bark of Cryptomeria japonica. Phytochem. Lett. 2017, 19, 46–49. [Google Scholar] [CrossRef]
- Suzuki, Y.; Saijo, H.; Takahashi, K.; Kofujita, H.; Ashitani, T. Growth-inhibitory components in Sugi (Cryptomeria japonica) extracts active against Microcystis aeruginosa. Cogent Environ. Sci. 2018, 4, 1466401. [Google Scholar] [CrossRef]
- Chang, C.-I.; Wang, S.-Y.; Wu, M.-D.; Cheng, M.-J.; Ko, H.-H.; Chang, H.-S.; Chen, J.-J.; Chen, C.-C.; Kuo, Y.-H. Two new sesquarterpenoids from the bark of Cryptomeria japonica. Phytochem. Lett. 2017, 22, 56–60. [Google Scholar] [CrossRef]
- Su, W.-C.; Fang, J.-M.; Cheng, Y.-S. Abietanes and kauranes from leaves of Cryptomeria japonica. Phytochemistry 1994, 35, 1279–1284. [Google Scholar] [CrossRef]
- Su, W.-C.; Fang, J.-M.; Cheng, Y.-S. Diterpenoids from leaves of Cryptomeria japonica. Phytochemistry 1996, 41, 255–261. [Google Scholar]
- Tu, W.C.; Wang, S.Y.; Chien, S.C.; Lin, F.M.; Chen, L.R.; Chiu, C.Y.; Hsiao, P.W. Diterpenes from Cryptomeria japonica inhibit androgen receptor transcriptional activity in prostate cancer cells. Planta Med. 2007, 73, 1407–1409. [Google Scholar]
- Ishikura, N.; Nabeta, K.; Sugisawa, H. Volatile components in cell suspension cultures of Cryptomeria japonica. Phytochemistry 1984, 23, 2062–2063. [Google Scholar]
- Su, W.-C.; Fang, J.-M.; Cheng, Y.-S. Hexacarbocyclic triterpenes from leaves of Cryptomeria japonica. Phytochemistry 1993, 34, 779–782. [Google Scholar]
- Ohmoto, T.; Yoshida, O. Constituents of Pollen. XI. Constituents of Cryptomeria japonica D.Don. Chem. Pharm. Bull. 1983, 31, 919–924. [Google Scholar]
- Su, W.-C.; Fang, J.-M.; Cheng, Y.-S. Flavonoids and lignans from leaves of Cryptomeria japonica. Phytochemistry 1995, 40, 563–566. [Google Scholar]
- Stafford, H.A.; Lester, H.H. Proanthocyanidins in Needles from Six Genera of the Taxodiaceae. Am. J. Bot. 1986, 73, 1555–1562. [Google Scholar]
- Samejima, M.; Yoshimoto, T. Accumulation and structural changes of flavonols in the Barks of Cryptomeria japonica D.Don and Pinus densiflora Sieb. and Zucc. Bull. Tokyo Univ. For. 1983, 72, 17–29. [Google Scholar]
- Tsutsumi, Y.; Shimada, A.; Miyano, A.; Nishida, T.; Mitsunaga, T. In vitro screening of angiotensin I-converting enzyme inhibitors from Japanese cedar (Cryptomeria japonica). J. Wood Sci. 1998, 44, 463–468. [Google Scholar]
- Kim, S.-H.; Lee, S.-Y.; Cho, S.-M.; Hong, C.-Y.; Park, S.-Y.; Park, M.-J.; Choi, I.-G. Antioxidant Activities of Cryptomeria japonica Leaves Extracts by Extraction Methods. J. Korean Wood Sci. Technol. 2017, 45, 495–510. [Google Scholar]
- Imai, T.; Sato, M.; Takaku, N.; Kawai, S.; Ohashi, H.; Nomura, M.; Kushi, M. Characterization of physiological functions of sapwood IV: Formation and accumulation of lignans in sapwood of Cryptomeria japonica (L.f.) D.Don. after felling. Holzforschung 2005, 59, 418–421. [Google Scholar]
- Sang, S.; Lambert, J.D.; Tian, S.; Hong, J.; Hou, Z.; Ryu, J.H.; Stark, R.E.; Rosen, R.T.; Huang, M.T.; Yang, C.S.; et al. Enzymatic synthesis of tea theaflavin derivatives and their anti-inflammatory and cytotoxic activities. Bioorg. Med. Chem. 2004, 12, 459–467. [Google Scholar] [PubMed]
- Nelsohly, H.; el-Feraly, F.S.; Joshi, A.S.; Walker, L.A. Antiviral flavonoids from Alkanna orientalis. Planta Med. 1997, 63, 384. [Google Scholar]
- Sak, K. Cytotoxicity of dietary flavonoids on different human cancer types. Phcog Rev. 2014, 8, 122–146. [Google Scholar]
- Vu, M.; Herfindal, L.; Juvik, O.J.; Vedeler, A.; Haavik, S.; Fossen, T. Toxic aromatic compounds from fruits of Narthecium ossifragum L. Phytochemistry 2016, 132, 76–85. [Google Scholar]
- Ramanan, M.; Sinha, S.; Sudarshan, K.; Singh Aidhen, I.; Doble, M. Inhibition of the enzymes in the leukotriene and prostaglandin pathways in inflammation by 3-aryl isocoumarins. Eur. J. Med. Chem. 2016, 124, 428–434. [Google Scholar]
- Sudarshan, K.; Singh Aidhen, I. Convenient Synthesis of 3-Glycosylated Isocoumarins. Eur. J. Org. Chem. 2017, 2017, 34–38. [Google Scholar]
- Takashima, J.; Asano, S.; Ohsaki, A. Mururins A-C, three new lignoids from Brosmium acutifolium and their protein kinase inhibitory activity. Planta Med. 2002, 68, 621–625. [Google Scholar]
- Foo, L.Y. Phenylpropanoid derivatives of catechin, epicatechin and phylloflavan from Phyllocladus trichomanoides. Phytochemistry 1987, 26, 2825–2830. [Google Scholar]
- Nguyen, X.H.T.; Juvik, O.J.; Øvstedal, D.O.; Fossen, T. 6-Carboxydihydroresveratrol 3-O-β-glucopyranoside—A novel natural product from the Cretaceous relict Metasequoia glyptostroboides. Fitoterapia 2014, 95, 109–114. [Google Scholar]
- Markham, K.R.; Sheppard, C.; Geiger, H. 13C NMR studies of some naturally occurring amentoflavone and hinokiflavone biflavonoids. Phytochemistry 1987, 26, 3335–3337. [Google Scholar] [CrossRef]
- Geiger, H.; Seeger, T.; Hahn, H.; Zinsmeister, H.D.; Markham, K.R.; Wong, H. 1H NMR Assignments in Biflavonoid Spectra by Proton-Detected C-H Correlation. Z. Naturforsch C. 1993, 48, 821–826. [Google Scholar] [CrossRef]
- Goossens, J.-F.; Goossens, L.; Bailly, C. Hinokiflavone and Related C–O–C-Type Biflavonoids as Anti-cancer Compounds: Properties and Mechanism of Action. Nat. Prod. Bioprosp. 2021, 11, 365–377. [Google Scholar] [CrossRef]
- Jöhrer, K.; Pérez, M.G.; Kircher, B.; Çiçek, S.S. Flavones, Flavonols, Lignans, and Caffeic Acid Derivatives from Dracocephalum moldavica and Their In Vitro Effects on Multiple Myeloma and Acute Myeloid Leukemia. Int. J. Mol. Sci. 2022, 23, 14219. [Google Scholar] [CrossRef] [PubMed]
- Salvesen, P.H. Japanseder (Cryptomeria japonica) i Muséhagen og historier om innførsel med en østenfarer. Årringen 2014, 18, 31–40. [Google Scholar]
- Andersen, Ø.M.; Fossen, T. Characterization of anthocyanins by NMR. In Handbook of Food Analytical Chemistry: Pigments, Colorants, Flavors, Texture, and Bioactive Food Components; John Wiley & Sons, Inc.: Hoboken, NJ, USA, 2005; pp. 47–69. [Google Scholar]
- Matsuo, Y.; MacLeod, R.A.F.; Uphoff, C.C.; Drexler, H.G.; Nishizaki, C.; Katayama, Y.; Kimura, G.; Fujii, N.; Omoto, E.; Harada, M.; et al. Two acute monocytic leukemia (AML-M5a) cell lines (MOLM-13 and MOLM-14) with interclonal phenotypic heterogeneity showing MLL-AF9 fusion resulting from an occult chromosome insertion, ins(11;9)(q23;p22p23). Leukemia 1997, 11, 1469–1477. [Google Scholar] [CrossRef]
- Oftedal, L.; Selheim, F.; Wahlsten, M.; Sivonen, K.; Doskeland, S.O.; Herfindal, L. Marine Benthic Cyanobacteria Contain Apoptosis-Inducing Activity Synergizing with Daunorubicin to Kill Leukemia Cells, but not Cardiomyocytes. Mar. Drugs 2010, 8, 2659–2672. [Google Scholar] [CrossRef]
- Myhren, L.; Nilssen, I.M.; Nicolas, V.; Doskeland, S.O.; Barratt, G.; Herfindal, L. Efficacy of multi-functional liposomes containing daunorubicin and emetine for treatment of acute myeloid leukaemia. Eur. J. Pharm. Biopharm. 2014, 88, 186–193. [Google Scholar] [CrossRef] [PubMed]
- Viktorsson, E.; Melling Grothe, B.; Aesoy, R.; Sabir, M.; Snellingen, S.; Prandina, A.; Hogmoen Astrand, O.A.; Bonge-Hansen, T.; Doskeland, S.O.; Herfindal, L.; et al. Total synthesis and antileukemic evaluations of the phenazine 5,10-dioxide natural products iodinin, myxin and their derivatives. Bioorg. Med. Chem. 2017, 25, 2285–2293. [Google Scholar] [CrossRef]



| Compound | Method | References | Compound | Method | References |
|---|---|---|---|---|---|
| (–)-Bornyl acetate | NMR, GC-MS | [14,15,16,17,18] | Myrtenal | GC-MS | [14,15] |
| (cis)-Verbenone | GC-MS | [14,15,19] | n-Hexanol | GC-MS | [14,15] |
| 1-Octen-3-ol | GC-MS | [14,15] | Nopol | GC-MS | [16] |
| 1-Octene-3-yl acetate | GC-MS | [14,15] | p-Cymene | NMR, GC-MS | [14,15,16,17,18] |
| 2-p-Menthen-1-ol | NMR, GC-MS | [18] | Pinocarvone | GC-MS | [19] |
| artemiseole | GC-MS | [16] | Pinol | GC-MS | [19] |
| Azulene | GC-MS | [16] | Piperitone | GC-MS | [19] |
| Borneol | GC-MS | [20] | Pulegone | GC-MS | [14,15] |
| bornylene | GC-MS | [16] | Sabinene | NMR, GC-MS | [14,15,16,17,18,19,20,21] |
| Camphene | NMR, GC-MS | [14,15,17,18,19,20] | Terpinen-4-ol | NMR, GC-MS | [14,15,16,18,22] |
| Camphor | GC-MS | [19] | Thymol | GC-MS | [14,15,19] |
| Carvacrol | GC-MS | [19] | Trans-geraniol | GC-MS | [19] |
| Carveol | GC-MS | [19] | trans-Pinocarveol | GC-MS | [14,15,19] |
| Carvone | GC-MS | [14,15,19] | trans-Piperitol | GC-MS | [14,15] |
| Cineol | GC-MS | [19] | trans-p-menth-2-enol | GC-MS | [19] |
| cis-3-Hexen-1-ol | GC-MS | [14,15,19] | trans-2-p-Menthen-1-ol | NMR, GC-MS | [23] |
| cis-Sabinene hydrate | GC-MS | [14,15] | trans-Sabinene hydrate | GC-MS | [14,15] |
| Cuminol | GC-MS | [19] | Tricyclene | NMR, GC-MS | [14,15,18,19] |
| dehydro-p-cymene | GC-MS | [16] | Verbenone | GC-MS | [20] |
| Elemol acetat | GC-MS | [17] | α-Fencol | GC-MS | [19,20] |
| eucarvone | GC-MS | [16] | α-Phellandrene | GC-MS | [14,15,19] |
| Eugenol | GC-MS | [19] | α-Pinene | NMR, GC-MS | [14,15,16,17,18,19,20,21] |
| Fenchone | GC-MS | [19] | α-Terpinene | NMR, GC-MS | [14,16,17,18,19,20] |
| Geranyl acetat | GC-MS | [19] | α-Terpineol | NMR, GC-MS | [16,18,19,20,21,22] |
| Ipsdienol | GC-MS | [19] | α-Terpinolene | GC-MS | [14,15,16,17,19,20] |
| iso-Bornyl acetate | GC-MS | [14,15] | α-Terpinyl acetate | GC-MS | [20] |
| Isocineole | GC-MS | [19] | α-Thujene | NMR, GC-MS | [14,15,17,18,19] |
| isopulegol acetate | GC-MS | [16] | β-Myrcene | NMR, GC-MS | [17,18,19,21] |
| L-Borneol | GC-MS | [14,15] | β-Phellandrene | GC-MS | [14,15] |
| Limonene | NMR, GC-MS | [14,15,16,17,18,19,20,21] | β-Pinene | NMR, GC-MS | [14,15,16,17,18,19,20,21] |
| Linalool | GC-MS | [14,15,19] | β-Terpinyl acetate | GC-MS | [14,15] |
| Linalyl acetat | GC-MS | [19] | β-Thujene | GC-MS | [20] |
| m-cymene | GC-MS | [42] | β-Thujone | GC-MS | [14,15,17,18,19] |
| Methyl carvacrol | GC-MS | [45] | γ-Terpinene | NMR, GC-MS | [14,15,17,18,19,20,21] |
| Methyleugenol | GC-MS | [45] | δ-3-Carene | NMR, GC-MS | [14,15,16,17,18,19,21] |
| Compound | Method | References | Compound | Method | References |
|---|---|---|---|---|---|
| (1S,6R)-2,7(14),10-bisabolatrien-1-ol-4-one | NMR, EI-MS | [12] | Germacrene D | NMR, GC-MS | [14,15,16,18,19] |
| (−)-cubenene | GC-MS | [16,19] | Gleenol | GC-MS | [10] |
| (+)-cyclosativene | GC-MS | [16] | Globulol | GC-MS | [14,15] |
| (15)-eudesmene-1 β,11-diol | NMR, EI-MS | [24] | Guaiol | GC-MS | [14,15] |
| (1S,6R)-2,7(14),10-bisabolatrien-1-ol-4-one | NMR, EI-MS | [7] | Hedycariol | NMR, GC-MS | [18] |
| (1S,6R)-2,7(14),10-bisabolatrien-1-ol-4-one | GC-MS | [25] | Humulene | GC-MS | [16] |
| (4S)-2,6,10-bisaboratrien-4-ol-1-one | NMR, EI-MS | [26] | isoledene | GC-MS | [16] |
| 1(10)-Cadinen-4α-ol | GC-MS | [20] | Juniper camphor | GC-MS | [19] |
| 1(10)-Cadinen-4β-ol | GC-MS | [20] | Kongol | GC-MS | [10] |
| 1,1,3a-trimethyl-7-methylene-decahydrocyclopropa[a]-naphthalene | GC-MS | [16] | Longicyclene | GC-MS | [20] |
| 1,8-epoxy-1(6),2,4,7,10-bisaborapentaen-4-ol | NMR, EI-MS | [26] | Longicyclenylalcohol | GC-MS | [20] |
| 1,10-di-epi-Cubenol | GC-MS | [27] | Longifolene | GC-MS | [20] |
| 10(15)-Cadinen-4-ol | GC-MS | [15,20] | Longiisohomocamphenilone | GC-MS | [20] |
| 10-epi-γ-Eudesmol | GC-MS | [17] | Longiverbenone | GC-MS | [16,20] |
| 11-acetoxyeudesman-4α-ol | NMR, EI-MS | [24] | Longi-αnojigikualcohol | GC-MS | [20] |
| 11-hydroxy-4,5-secoeudesmane-4,5-dione | NMR, EI-MS | [24] | Longi-β-camphenilanaldehyde | GC-MS | [20] |
| 1-methoxy-4-cadinene | NMR, EI-MS | [26] | Manoyl oxide | GC-MS | [14,15] |
| 1β-acetoxy-3-eudesmen-11-ol | NMR, EI-MS | [24] | Muurora-3,5-diene | GC-MS | [27] |
| 1β-acetoxy-4(15)-eudesmen-11-ol | NMR, EI-MS | [24] | Nerolidol | NMR, GC-MS | [18,19] |
| 1β-acetoxy-4-eudesmen-11-ol | NMR, EI-MS | [24] | Oplodiol | NMR, EI-MS | [24] |
| 2-methylene-5-(1-methylvinyl)-8-methylbicyclo[5.3.0]decane | GC-MS | [16] | Oplopanone | NMR, EI-MS | [24] |
| 3-eudesmene-1β,11-diol | NMR, EI-MS | [24] | Oplopanonyl acetate | GC-MS | [19] |
| 4-epi-Cubebol | GC-MS | [27] | p-cymen-8-ol | GC-MS | [19] |
| 4-epicryptomeridiol | NMR, EI-MS | [24] | Rimuene | GC-MS | [14,15] |
| 4(15)-eudesmene-1β,6α-diol | NMR, EI-MS | [24] | Spathulenol | GC-MS | [16] |
| 4,4-dimethyl-3-(3-methylbut-3-enylidene)-2-methylene-bicyclo[4.1.0]heptane | GC-MS | [16] | Thujopsene | GC-MS | [14,15,19] |
| 4,5,9,10-dehydroisolongifolene | GC-MS | [16] | Torreyol | GC-MS | [10,14,15] |
| 4-eudesmene-1β,11-diol | NMR, EI-MS | [24] | Trans-γ-bisabolene | GC-MS | [19] |
| 6a,7a-dihydroxyabieta-8,12-dien-11,14-dione | NMR, EI-MS | [28] | trans-β-Farnesene | NMR, GC-MS | [14,15,18,19] |
| 6a,7b-dihydroxyabieta-8,12-diene-11,14-dione | NMR, EI-MS | [28] | valencene | GC-MS | [16] |
| 6-eudesmene-1 β,4 β-diol | NMR, EI-MS | [24] | Viridiflorol | GC-MS | [14,15] |
| 7a-butoxyabieta-8,12-diene-11,14-dione | NMR, EI-MS, IR | [28] | α-caryophyllene | GC-MS | [16,19] |
| 7-epi-4-eudesmene-1β,11-diol | NMR, EI-MS | [24] | α-longipinene | GC-MS | [19,20] |
| 7-epi-γ-eudesmol | NMR, EI-MS | [24] | α-acoradiene | GC-MS | [19] |
| Allo-Hedycariol | NMR, GC-MS | [18] | α-bisabolol | GC-MS | [19] |
| ar-Curcumene | GC-MS | [14,15] | α-Cadinene/α-amorphene | GC-MS | [14,15,16] |
| Aromadendrene | GC-MS | [16] | α-Cadinol | NMR, GC-MS, EI-MS | [14,15,16,17,18,20,24] |
| Bicyclosesquiphellandrene | GC-MS | [19] | α-Calacorene | NMR, GC-MS | [18,19] |
| Bulnesol | GC-MS | [17] | α-cedrene | GC-MS | [19] |
| cadala-1(10),3,8-triene | GC-MS | [16] | α-cedrol | NMR, GC-MS, EI-MS | [19,24] |
| Cadalene | GC-MS | [16,19] | α-Copaene | NMR, GC-MS | [15,16,18,20] |
| Cadina-1(6),4-diene | GC-MS | [27] | α-Cubebene | NMR, GC-MS | [10,15,16,18] |
| cadina-1,3,5-triene | GC-MS | [16] | α-Elemene | GC-MS | [20] |
| Cadina-1,4-diene | NMR, GC-MS | [18] | α-Eudesmol | NMR, GC-MS, EI-MS | [10,14,15,16,17,18,19,20,21,22,24] |
| cadina-3,9-diene | GC-MS | [16] | α-guaiene | GC-MS | [16,20] |
| Calacorene | GC-MS | [20] | α-gurjunene | GC-MS | [16] |
| Calamenene | GC-MS | [45,46] | α-Humulene | GC-MS | [20] |
| Caryophyllene oxide | NMR, GC-MS | [16,18,19] | α-Humulene oxide | NMR, GC-MS | [14,15,18] |
| Cedrol | NMR, GC-MS, IR | [20] | α-Muurolene | NMR, GC-MS | [10,16,17,18,19,20] |
| cis-β-Farnesol | GC-MS | [14,15,19] | α-selinene | GC-MS | [19] |
| cis-Caryophyllene | GC-MS | [20] | α-Ylangene | GC-MS | [14,15,16] |
| cis-Muurola-4(15),5-diene | GC-MS | [27] | α-Zingiberene | GC-MS | [14,15] |
| cis-β-farnesene | GC-MS | [19] | β-Bisabolene | GC-MS | [27] |
| Cryptomeridiol | NMR, EI-MS | [24] | β-cedrene | GC-MS | [19] |
| Cryptomerione | GC-MS | [10] | β-funebrene | GC-MS | [19] |
| Cubebol | NMR, GC-MS | [18,29] | β-cadinene | GC-MS | [19] |
| Cubenol | NMR, GC-MS | [10,18,29] | β-Caryophyllene | NMR, GC-MS | [14,15,16,18,19,20] |
| Cuparene | GC-MS | [19] | β-Cubebene | NMR, GC-MS | [16,18,20] |
| diepi-α-Cedren | GC-MS | [14,15] | β-Elemene | NMR, GC-MS | [14,15,17,19] |
| Dihydroeudesmol | GC-MS | [27] | β-Eudesmol | NMR, GC-MS, EI-MS | [10,14,15,17,18,20,21,24] |
| Dihydrocaryophyllen-5-one | GC-MS | [20] | β-Guaiene | GC-MS | [20] |
| elem-1-en-4,11-diol | NMR, EI-MS | [24] | β-himachalene | GC-MS | [19] |
| Elemol | NMR, GC-MS, EI-MS | [10,14,15,17,18,19,20,21,22,24] | β-Selinene | GC-MS | [19] |
| Elemyl acetate | GC-MS | [14,15] | β-Sesquiphellandren | GC-MS | [14,15] |
| epi-bicyclosesquiphellandrene | NMR, GC-MS | [16,18] | γ-Cadinene | NMR, GC-MS | [16,17,18,19,20] |
| epi-Cubebol | NMR, GC-MS | [18] | γ-Elemene | GC-MS | [14,15,16] |
| Epi-cubenol | GC-MS | [10] | γ-Eudesmol | NMR, GC-MS, EI-MS, IR | [10,17,18,19,20,21,22] |
| Epijuvabione | NMR, EI-MS | [24] | γ-Muurolene | NMR, GC-MS | [14,15,16,17,18,19,20] |
| Epitodomatuic acid | NMR, EI-MS | [24] | δ-guaiene | GC-MS | [19] |
| epi-Zonarene | NMR, GC-MS | [18] | δ-Cadiene | GC-MS | [14,15,17,19] |
| eudesma-3,7(11)-diene | GC-MS | [16] | δ-Cadinene | NMR, GC-MS | [10,18,22] |
| eudesmane-5 α,11-diol | NMR, EI-MS | [24] | δ-cadinol | NMR, GC-MS | [29] |
| ferrugicadinol | NMR, EI-MS, IR | [30] | δ-Elemene | GC-MS | [19] |
| ferrugicadinol A | NMR, EI-MS, IR | [30] | δ-Selinene | GC-MS | [14,15] |
| ferrugicryptomeridiol | NMR, EI-MS, IR | [30] | τ-Cadinol | NMR, GC-MS, EI-MS | [10,14,17,18] |
| Germacrene B | GC-MS | [14,15,19] | τ-metropol | NMR, GC-MS | [17,18,20] |
| Compound | Method | References | Compound | Method | References |
|---|---|---|---|---|---|
| (+)-16-acetylkaurane-16,17-diol | NMR, EI-MS | [31] | Cryptotrione | NMR, EI-MS, IR | [5] |
| (+)-Phyllocladen | NMR, GC-MS | [18] | Cupresol | NMR, EI-MS, IR | [32,33] |
| (5R,10S)-12-methoxyabieta-6,8,11,13-tetraene | NMR | [31] | Cupressene | NMR, GC-MS | [16,18] |
| 11-hydroxysugiol | NMR, EI-MS, IR | [31] | Dehydroferruginol | NMR, GC-MS | [18] |
| 12-hydroxy-11-methoxyabieta-8,11,13-trien-7-one | NMR, EI-MS, IR | [32] | ent-17-norkauran-16-one | NMR | [31] |
| 12-hydroxy-6,7-secoabieta-8,11,13-triene-6,7-dial | NMR, EI-MS, IR | [31] | ent-kaur-15-en-17-al | NMR | [31] |
| 13-epicupressic acid methyl ester | NMR, EI-MS, IR | [32] | ent-kaur-15-en-17-ol | NMR | [31] |
| 13-isopimaradiene | GC-MS | [19] | ent-kaur-16-ene | GC-MS | [16] |
| 13-oxo-14,15-dinorlabd-8(17)-en-19-oic acid methyl ester | NMR, EI-MS, IR | [32] | Ferruginol | NMR, GC-MS | [8,16,18,29,31,33,34] |
| 15-Kaurene | GC-MS | [17] | hinokiol | NMR, EI-MS, IR | [31] |
| 16-Kaurene | GC-MS | [17] | Iguestol | NMR | [8] |
| 18-nor-isopimar-4(19),7,15-triene | GC-MS | [16] | Isopimaradiene | NMR, GC-MS | [18] |
| 19-acetoxyferruginol | NMR, EI-MS, IR | [32] | isopimaric acid | NMR, EI-MS, IR | [8,32] |
| 1-epicubenol | NMR, GC-MS | [29] | isopimarinol | NMR, EI-MS, IR | [32] |
| 4-epicubenol | NMR, GC-MS | [29] | Isopimarol | NMR | [8] |
| 5,6-dehydrosugiol methyl ether | NMR, EI-MS, IR | [32] | Isopressic acid | NMR | [33] |
| 5-epixanthoperol | NMR, EI-MS, IR | [31,33] | Junicedric acid | NMR, EI-MS, IR | [32] |
| 6,12-dihydroxy-11-methoxyabieta-5,8,11,13-tetraen-7-one | NMR, EI-MS, IR | [32] | Kaur-16-ene | GC-MS | [19] |
| 6,12-Dihydroxy-5,8,11,13-abietatetraen-7-one | NMR | [33] | Kauran-16-ol | NMR, GC-MS | [16,18] |
| 6,12-dihydroxyabieta-5,8,11,13-tetraen-7-one | NMR, EI-MS | [31] | Kaurene | GC-MS | [19,21,22] |
| 6,7-dehydroferruginol | NMR, EI-MS, IR | [31] | Nezukol | NMR, GC-MS, EI-MS, IR | [17,22,32] |
| 6,7-dehydroferruginol methyl ether | NMR, EI-MS, IR | [31] | Pimara-8(14),15-diene | NMR, GC-MS | [18] |
| 6-hydroxy-5,6-dehydrosugiol | NMR | [8] | Pimara-8,15-diene | NMR, GC-MS | [18] |
| 6α,11-dihydroxy-12-methoxyabieta-8,11,13-trien-7-one | NMR, EI-MS, IR | [32] | Phyllocradanol | GC-MS | [29] |
| 6α-hydroxydemethylcryptojaponol | NMR, EI-MS, IR | [32] | Phytane | GC-MS | [19] |
| 6α-hydroxysugiol | NMR, EI-MS, IR | [31] | Phytol | NMR, EI-MS, IR | [32] |
| 6β-hydroxyferruginol | NMR, EI-MS | [31] | Pimarinal | GC-MS | [16] |
| 7-dehydroabietanone | NMR, EI-MS, IR | [31] | Sandaracopimaradiene | NMR, GC-MS | [16,18] |
| 7α,8α-epoxy-6α-hydroxyabetia-9(11),13-dien-12one | NMR, EI-MS | [31] | sandaracopimaric acid | NMR, EI-MS, IR | [32] |
| 8,13-dioxo-14,15,17-trinorlabdan-19-oic acid | NMR, EI-MS, IR | [32] | sandaracopimarinal | NMR, GC-MS | [18,29] |
| 8-β-hydroxyabieta-9(11),13-dien-12-one | NMR | [33] | Sandaracopimarinol | NMR, GC-MS | [8,18,29] |
| 8β-Hydroxysandaracopimarene | NMR, GC-MS | [18] | Sclarene | GC-MS | [16,19] |
| abieta-8,11,13-triene | GC-MS | [19,34] | Sclareol | GC-MS | [16] |
| Abietadiene | GC-MS | [27] | secoabietane dialdehyd | NMR, EI-MS, IR | [31] |
| abietatriene | GC-MS | [16] | Sugiol | NMR, EI-MS, IR | [7,8,31,33] |
| cis-communic acid | NMR, EI-MS, IR | [32] | sugiol methyl esther | NMR, EI-MS, IR | [32] |
| Copalol | NMR, EI-MS, IR | [32] | Totarol | NMR, GC-MS, IR | [16,31] |
| cryptojaponol | NMR, EI-MS, IR | [31,33] | trans-communic acid | NMR, EI-MS, IR | [32] |
| Cryptoquinone | NMR, EI-MS, | [9] | Verticiol | GC-MS | [16] |
| Compound | Method | References |
|---|---|---|
| 10′-oxocryptoquinone | EI-MS | [35] |
| 10′β-hydroxycryptoquinone | NMR, EI-MS, IR | [35] |
| 13-methyl-17-norkaur-15-en | GC-MS | [15] |
| 6α-hydroxychamaecydin | NMR, EI-MS, IR | [35] |
| 6β-hydroxychamaecydin | EI-MS | [35] |
| Chamaecydin | NMR, EI-MS | [35] |
| Compound | Method | References | Compound | Method | References |
|---|---|---|---|---|---|
| 2,3-dihydroamentoflavone | NMR, FD-MS, IR | [36] | Epicatechol pentaacetat | NMR, IR | [37] |
| 4′,4‴,7,7″-tetrametylamentoflavone | NMR, IR | [37] | Gallocatechin | 2D HPLC | [38] |
| 5‴-hydroxyamentoflavone | NMR, FD-MS | [36] | Luteolin | NMR, FD-MS | [36] |
| 5-hydroxy-3,4′,7-trimetoxyflavone | NMR, IR | [37] | Naringenin | NMR, FD-MS | [36] |
| 5-hydroxy-4′-7-dimetoxyflavone | NMR, IR | [37] | Procyanidin B-1 | NMR | [39] |
| Afzelin | NMR, FD-MS | [36] | Procyanidin B-2 | NMR | [39] |
| Amentoflavone | NMR, FD-MS | [36] | Procyanidin B-3 | NMR, GC-MS | [29,40] |
| Apigenin | NMR, FD-MS | [36] | Procyanidin B-4 | NMR | [39] |
| Catechin | NMR, GC-MS | [29,40,41] | Quercetin | NMR, GC-MS, IR | [37] |
| Catechol pentaacetat | NMR, IR | [37] | Quercitrin | NMR, FD-MS | [36] |
| Cosmosiin | NMR, FD-MS | [36] | Taxifolin | NMR, IR | [37] |
| Epicatechin | NMR, GC-MS | [29] |
| Compound | Method | References | Compound | Method | References |
|---|---|---|---|---|---|
| Agatharesinol | GC-MS | [42] | (−)-matairesinol | NMR, TLC | [42] |
| Agatharesinol tetraacetat | NMR, IR | [37] | Matairesinol | NMR, IR | [37] |
| Cedrusin tetraacetat | NMR, IR | [37] | Notrachelogenin | NMR, IR | [37] |
| Cedrusinin triacetat | NMR, IR | [37] | (−)-pinoresinol | NMR, TLC | [42] |
| Cis-dihydrodehydrodiconiferyl alcohol triacetat | NMR, IR | [37] | Secodihydrodehydrodiconiferyl alcohol tetraacetat | NMR, IR | [37] |
| Dihydrodehydrodiconiferyl alcohol triacetat | NMR, IR | [37] | Secoisolariciresinol tetraacetat | NMR, IR | [37] |
| Isolariciresinol tetraacetat | NMR, IR | [37] |
| Compound | Method | References |
|---|---|---|
| 2,5-di-tert-butylphenol | GC-MS | [16] |
| 4-β-D-glucopyranosyloxyferulic acid | NMR | [36] |
| 6-(2-butenyl)-1,5,5-trimethyl-cyclohexene | GC-MS | [16] |
| Arabinopyranose | GC-MS | [41] |
| Caladene | NMR, GC-MS | [18] |
| Chlorogenic acid | GC-MS | [41] |
| D-Pinitol | GC-MS | [41] |
| Deoxyoblongifolion | GC-MS | [16] |
| Ferulic acid | IR | [36] |
| Fructopyranose | GC-MS | [41] |
| Glucopyranose | GC-MS | [41] |
| Isopimaric acid | GC-MS | [41] |
| Mannopyranose | GC-MS | [41] |
| Shikimic acid | GC-MS | [41] |
| Tremetone | NMR, GC-MS | [18] |
| β-maaiene | GC-MS | [16] |
| β-methylallylbenzene | GC-MS | [16] |
| ρ-coumaric acid | IR | [36] |
| δ 1H | δ 13C | |
|---|---|---|
| 2 | 163.2 | |
| 3 | 6.86 s | 104.1 |
| 4 | 181.9 | |
| 5 | 161.6 | |
| 6 | 6.20 d 2.1 | 99.0 |
| 7 | 164.4 | |
| 8 | 6.49 d 2.1 | 94.1 |
| 9 | 157.4 | |
| 10 | 103.8 | |
| 1′ | 124.5 | |
| 2′/6′ | 8.00 ‘d’ 9.0 | 128.5 |
| 3′/5′ | 7.06 ‘d’ 9.0 | 115.8 |
| 4′ | 160.8 | |
| 5-OH | 12.88 s | |
| 7-OH | 10.85 s | |
| 2″ | 164.7 | |
| 3″ | 6.93 s | 102.9 |
| 4′’ | 182.3 | |
| 5″ | 152.6 | |
| 6″ | 125.9 | |
| 7″ | 156.0 | |
| 8″ | 7.19 s | 94.8 |
| 9″ | 153.6 | |
| 10″ | 105.8 | |
| 1‴ | 121.1 | |
| 2‴/6‴ | 7.99 ‘d’ 8.9 | 128.8 |
| 3‴/5‴ | 6.96 ‘d’ 8.9 | 116.1 |
| 4‴ | 161.7 | |
| 5″-OH | 13.13 s | |
| 4‴-OH | 10.44 s | |
| 7″-O-β-glucopyranoside | ||
| 1‴ | 5.17 d 7.7 | 100.2 |
| 2‴ | 3.11 m | 73.1 |
| 3‴ | 3.25 t 9.0 | 76.8 |
| 4′‴ | 3.11 t 9.0 | 69.5 |
| 5‴ | 3.45 m | 77.5 |
| 6A‴ | 3.70 m | 60.6 |
| 6B‴ | 3.45 m |
| Compound | EC50 Values (µM) for MOLM-13 Leukemia Cells After 72 h Incubation |
|---|---|
| 1 | 60–120 |
| 2 | n.d. |
| 3 | 333–665 |
| 4 | 325–650 |
| 5 | 165–330 |
| 6 | 17.5–35 |
| 7 | 52–104 |
| 8 | 45–90 |
| 9 | n.d. |
| 10 | 143 |
| 11 | n.d. |
| 12 | n.d. |
| 13 | 411.25–822.5 |
| 14 | 22–44 |
| 15 | n.d. |
| 16 | 95–190 |
Disclaimer/Publisher’s Note: The statements, opinions and data contained in all publications are solely those of the individual author(s) and contributor(s) and not of MDPI and/or the editor(s). MDPI and/or the editor(s) disclaim responsibility for any injury to people or property resulting from any ideas, methods, instructions or products referred to in the content. |
© 2024 by the authors. Licensee MDPI, Basel, Switzerland. This article is an open access article distributed under the terms and conditions of the Creative Commons Attribution (CC BY) license (https://creativecommons.org/licenses/by/4.0/).
Share and Cite
Heieren, B.T.; Dyrdal, A.S.; Herfindal, L.; Holmelid, B.; Brede, C.; Andersen, H.L.; Fossen, T. Cytotoxic Natural Products from Cryptomeria japonica (Thunb. ex L.) D.Don. Int. J. Mol. Sci. 2024, 25, 13735. https://doi.org/10.3390/ijms252413735
Heieren BT, Dyrdal AS, Herfindal L, Holmelid B, Brede C, Andersen HL, Fossen T. Cytotoxic Natural Products from Cryptomeria japonica (Thunb. ex L.) D.Don. International Journal of Molecular Sciences. 2024; 25(24):13735. https://doi.org/10.3390/ijms252413735
Chicago/Turabian StyleHeieren, Bjørn Tobiassen, Anja Strandvoll Dyrdal, Lars Herfindal, Bjarte Holmelid, Cato Brede, Heidi Lie Andersen, and Torgils Fossen. 2024. "Cytotoxic Natural Products from Cryptomeria japonica (Thunb. ex L.) D.Don" International Journal of Molecular Sciences 25, no. 24: 13735. https://doi.org/10.3390/ijms252413735
APA StyleHeieren, B. T., Dyrdal, A. S., Herfindal, L., Holmelid, B., Brede, C., Andersen, H. L., & Fossen, T. (2024). Cytotoxic Natural Products from Cryptomeria japonica (Thunb. ex L.) D.Don. International Journal of Molecular Sciences, 25(24), 13735. https://doi.org/10.3390/ijms252413735

