Studies on the Physiological Response of Hemerocallis middendorffii to Two Types of Drought Stresses
Abstract
1. Introduction
2. Results
2.1. Determination of Leaf Water Content and Morphology of H. middendorffii Under ND
2.2. Determination of Photosynthetic and Chlorophyll Fluorescence Parameters of H. middendorffii Under ND
2.3. Determination of Cell Membrane Systems, Chlorophyll Concentration, Osmotic Adjustment Substances, and Antioxidant Enzyme Activity of H. middendorffii Under ND
2.4. Determination of Leaf Water Content and Morphology of H. middendorffii Under PD
2.5. Determination of Photosynthetic and Chlorophyll Fluorescence Parameters of H. middendorffii Under PD
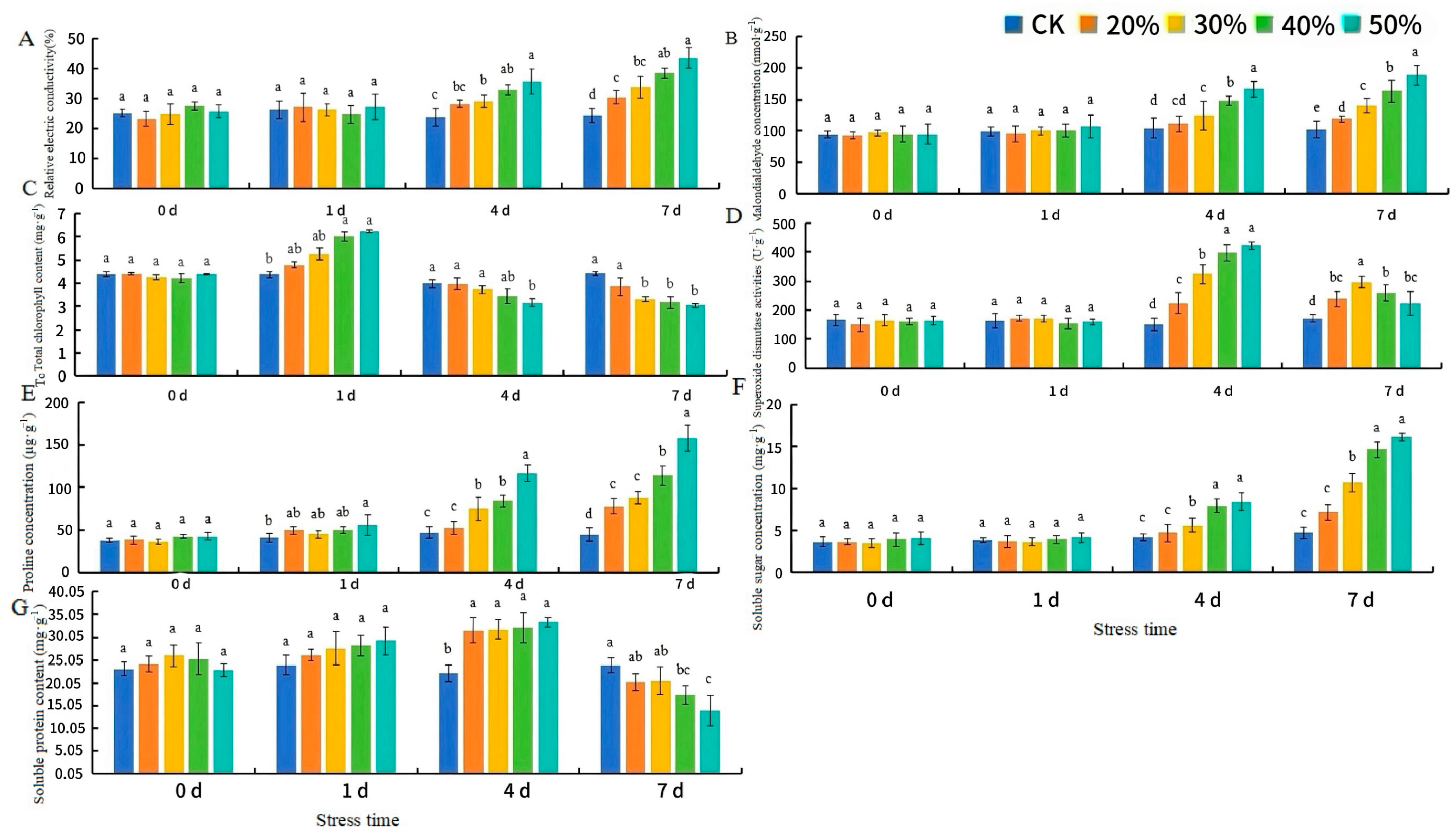
2.6. Determination of Cell Membrane Systems, Chlorophyll Concentration, Osmotic Adjustment Substances, and Antioxidant Enzyme Activity of H. middendorffii Under PD
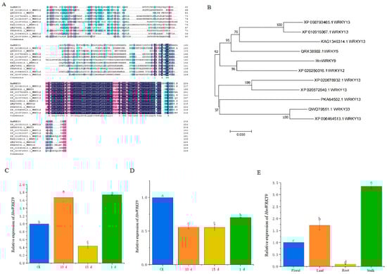
2.7. Gene Cloning and Bioinformatic Analysis of HmWRKY9
3. Discussion
4. Materials and Methods
4.1. Plant Materials
4.2. Natural Drought Stress and PEG-Simulated Drought Stress of Seedlings
4.3. Determination of Morphological and Physiological Indicators
4.4. Determination of Photosynthetic Parameters and Chlorophyll Fluorescence Parameters
4.5. Gene Cloning and Bioinformatic Analysis of HmWRKY9
4.6. Real-Time Quantitative PCR Analyses
4.7. Construction of Expression Vectors and Generation of Transgenic Tobacco
4.8. Statistical Analysis
5. Conclusions
Author Contributions
Funding
Institutional Review Board Statement
Informed Consent Statement
Data Availability Statement
Conflicts of Interest
References
- Ghaffar, A.; Hussain, N.; Ajaj, R.; Shahin, S.M.; Bano, H.; Javed, M.; Khalid, A.; Yasmin, M.; Shah, K.H.; Zaheer, M. Photosynthetic activity and metabolic profiling of bread wheat cultivars contrasting in drought tolerance. Front. Plant Sci. 2023, 14, 1123080. [Google Scholar] [CrossRef] [PubMed]
- Ahmad, D.M.; Kam, J. Disparity between global drought hazard and awareness. npj Clean Water 2024, 7, 75. [Google Scholar] [CrossRef]
- Gliesch, M.; Sanchez, L.H.; Jongepier, E.; Martin, C.; Hu, Y.; Tietema, A.; de Vries, F.T. Heathland management affects soil response to drought. J. Appl. Ecol. 2024, 61, 1372–1384. [Google Scholar] [CrossRef]
- Kunert, K.J.; Vorster, B.J.; Fenta, B.A.; Kibido, T.; Dionisio, G.; Foyer, C.H. Drought stress responses in soybean roots and nodules. Front. Plant. Sci. 2016, 7, 1015. [Google Scholar] [CrossRef]
- Kumar, S.; Sachdeva, S.; Bhat, K.; Vats, S. Plant responses to drought stress: Physiological, biochemical and molecular basis. In Biotic and Abiotic Stress Tolerance in Plants; Springer: Berlin, Germany, 2018; pp. 1–25. [Google Scholar]
- Ranjan, A.; Sinha, R.; Singla-Pareek, S.L.; Pareek, A.; Singh, A.K. Shaping the root system architecture in plants for adaptation to drought stress. Physiol. Plant 2022, 174, e13651. [Google Scholar] [CrossRef] [PubMed]
- Sun, X.; Shi, J.; Ding, G. Combined effects of arbuscular mycorrhiza and drought stress on plant growth and mortality of forage sorghum. Appl. Soil. Ecol. 2017, 119, 384–391. [Google Scholar] [CrossRef]
- Benjamin, J.; Nielsen, D. Water deficit effects on root distribution of soybean, field pea and chickpea. Field Crops. Res. 2006, 97, 248–253. [Google Scholar] [CrossRef]
- Jafari, S.; Garmdareh, S.E.H.; Azadegan, B. Effects of drought stress on morphological, physiological, and biochemical characteristics of stock plant (Matthiola incana L.). Sci. Hortic. 2019, 253, 128–133. [Google Scholar] [CrossRef]
- Yang, Z.; Zhou, B.; Chen, Q.; Ge, X.; Wang, X.; Cao, Y.; Tong, R.; Shi, Y. Effects of drought on root architecture and non-structural carbohydrate of Cunninghamia lanceolata. Acta Ecol. Sin. 2018, 38, 6729–6740. [Google Scholar]
- Mathobo, R.; Marais, D.; Steyn, J.M. The effect of drought stress on yield, leaf gaseous exchange and chlorophyll fluorescence of dry beans (Phaseolus vulgaris L.). Agr. Water Manag. 2017, 180, 118–125. [Google Scholar] [CrossRef]
- Abreha, K.B.; Enyew, M.; Carlsson, A.S.; Vetukuri, R.R.; Feyissa, T.; Motlhaodi, T.; Ng’uni, D.; Geleta, M. Sorghum in dryland: Morphological, physiological, and molecular responses of sorghum under drought stress. Planta 2022, 255, 20. [Google Scholar] [CrossRef]
- Silva, D.M.R.; Barros, A.C.; Silva, R.B.; Galdino, W.d.O.; Souza, J.W.G.d.; Marques, I.C.d.S.; Sousa, J.I.d.; Lira, V.d.S.; Melo, A.F.; Abreu, L.d.S.d. Impact of Photosynthetic Efficiency on Watermelon Cultivation in the Face of Drought. Agronomy 2024, 14, 950. [Google Scholar] [CrossRef]
- Gao, H.; Bai, N.; Zhang, Y.; Zhang, X.; Zhang, Y.; Wang, L.; Wang, E.; Tian, Y.; Guo, Y.; Yan, F. Drought stress alters gas exchange, chlorophyll fluorescence, and antioxidant enzyme activities in Glycyrrhiza uralensis in the Hexi Corridor, China. Russ. J. Plant Physiol. 2022, 69, 123. [Google Scholar] [CrossRef]
- Ping, M.; Bai, T.-H. Effects of progressive drought on photosynthesis and partitioning of absorbed light in apple trees. J. Integre. Agric. 2015, 14, 681–690. [Google Scholar]
- Marshall, J.; Rutledge, R.; Blumwald, E.; Dumbroff, E. Reduction in turgid water volume in jack pine, white spruce and black spruce in response to drought and paclobutrazol. Tree Physiol. 2000, 20, 701–707. [Google Scholar] [CrossRef] [PubMed]
- Seleiman, M.F.; Al-Suhaibani, N.; Ali, N.; Akmal, M.; Alotaibi, M.; Refay, Y.; Dindaroglu, T.; Abdul-Wajid, H.H.; Battaglia, M.L. Drought stress impacts on plants and different approaches to alleviate its adverse effects. Plants 2021, 10, 259. [Google Scholar] [CrossRef]
- Basu, S.; Ramegowda, V.; Kumar, A.; Pereira, A. Plant adaptation to drought stress. F1000Research 2016, 5, F1000. [Google Scholar] [CrossRef] [PubMed]
- Miller, G.; Suzuki, N.; Ciftci-Yilmaz, S.; Mittler, R. Reactive oxygen species homeostasis and signalling during drought and salinity stresses. Plant Cell Environ. 2010, 33, 453–467. [Google Scholar] [CrossRef]
- Apel, K.; Hirt, H. Reactive oxygen species: Metabolism, oxidative stress, and signal transduction. Annu. Rev. Plant Biol. 2004, 55, 373–399. [Google Scholar] [CrossRef] [PubMed]
- Liu, L.; Cao, X.; Zhai, Z.; Ma, S.; Tian, Y.; Cheng, J. Direct evidence of drought stress memory in mulberry from a physiological perspective: Antioxidative, osmotic and phytohormonal regulations. Plant Physiol. Biochem. 2022, 186, 76–87. [Google Scholar] [CrossRef]
- Sutulienė, R.; Brazaitytė, A.; Małek, S.; Jasik, M.; Samuolienė, G. Response of oxidative stress and antioxidant system in pea plants exposed to drought and boron nanoparticles. Antioxidants 2023, 12, 528. [Google Scholar] [CrossRef] [PubMed]
- Cao, Y.; Yang, W.; Ma, J.; Cheng, Z.; Zhang, X.; Liu, X.; Wu, X.; Zhang, J. An Integrated Framework for Drought Stress in Plants. Int. J. Mol. Sci. 2024, 25, 9347. [Google Scholar] [CrossRef]
- Liu, H.; Bao, G.; Dou, Z.; Liu, H.; Bai, J.; Chen, Y.; Yuan, Y.; Zhang, X.; Xi, J. Response characteristics of highland barley under freeze-thaw, drought and artemisinin stresses. BMC Plant Biol. 2022, 22, 126. [Google Scholar] [CrossRef]
- Babitha, K.; Ramu, S.; Pruthvi, V.; Mahesh, P.; Nataraja, K.N.; Udayakumar, M. Co-expression of at bHLH17 and at WRKY 28 confers resistance to abiotic stress in Arabidopsis. Transgenic Res. 2013, 22, 327–341. [Google Scholar] [CrossRef] [PubMed]
- Wang, X.; Du, B.; Liu, M.; Sun, N.; Qi, X. Arabidopsis transcription factor WRKY33 is involved in drought by directly regulating the expression of CesA8. Am. J. Plant Sci. 2013, 4, 33297. [Google Scholar] [CrossRef]
- Che, Y.; Sun, Y.; Lu, S.; Zhao, F.; Hou, L.; Liu, X. AtWRKY40 functions in drought stress response in Arabidopsis thaliana. Plant Physiol. J. 2018, 54, 456–464. [Google Scholar]
- Lee, H.; Cha, J.; Choi, C.; Choi, N.; Ji, H.-S.; Park, S.R.; Lee, S.; Hwang, D.-J. Rice WRKY11 plays a role in pathogen defense and drought tolerance. Rice 2018, 11, 5. [Google Scholar] [CrossRef]
- Wang, C.-T.; Ru, J.-N.; Liu, Y.-W.; Yang, J.-F.; Li, M.; Xu, Z.-S.; Fu, J.-D. The maize WRKY transcription factor ZmWRKY40 confers drought resistance in transgenic Arabidopsis. Int. J. Mol. Sci. 2018, 19, 2580. [Google Scholar] [CrossRef]
- Ahmad, M.A.; Javed, R.; Adeel, M.; Rizwan, M.; Yang, Y. PEG 6000-stimulated drought stress improves the attributes of in vitro growth, steviol glycosides production, and antioxidant activities in Stevia rebaudiana Bertoni. Plants 2020, 9, 1552. [Google Scholar] [CrossRef] [PubMed]
- Sintaha, M.; Man, C.K.; Yung, W.S.; Duan, S.; Li, M.W.; Lam, H.M. Drought stress priming improved the drought tolerance of soybean. Plants 2022, 11, 2954. [Google Scholar] [CrossRef]
- Rowland, L.; Oliveira, R.S.; Bittencourt, P.R.; Giles, A.L.; Coughlin, I.; Costa, P.d.B.; Domingues, T.; Ferreira, L.V.; Vasconcelos, S.S.; Junior, J.A. Plant traits controlling growth change in response to a drier climate. New Phytol. 2021, 229, 1363–1374. [Google Scholar] [CrossRef]
- Guo, Y.; Du, Y.; Niu, X.; Ma, Y.; Song, G.; Cao, C.; Li, P.; Chen, Y.; Siddique, K.H. Comparison of Drought Stress Responses in Large-and Small-Rooted Rice Lines: Physiological, Anatomical, and Hormonal Changes. J. Plant Growth Regul. 2024, 43, 2922–2936. [Google Scholar] [CrossRef]
- Chen, X.; Zhu, Y.; Ding, Y.; Pan, R.; Shen, W.; Yu, X.; Xiong, F. The relationship between characteristics of root morphology and grain filling in wheat under drought stress. PeerJ 2021, 9, e12015. [Google Scholar] [CrossRef]
- Karimi, S.; Rahemi, M.; Rostami, A.A.; Sedaghat, S. Drought effects on growth, water content and osmoprotectants in four olive cultivars with different drought tolerance. Int. J. Fruit Sci. 2018, 18, 254–267. [Google Scholar] [CrossRef]
- Zhao, N.; Meng, P.; Yu, X. Photosynthetic stimulation of saplings by the interaction of CO2 and water stress. J. For. Res. 2019, 30, 1233–1243. [Google Scholar] [CrossRef]
- Bo, W.; Fu, B.; Qin, G.; Xing, G.; Wang, Y. Evaluation of drought resistance in Iris germanica L. based on subordination function and principal component analysis. Emir. J. Food Agric. 2017, 29, 770–778. [Google Scholar] [CrossRef]
- Lobato, S.M.d.S.; dos Santos, L.R.; da Silva, B.R.S.; Melo, W.d.O.; Lobato, A.K.d.S. Protective mechanism triggered by Pigeonpea plants exposed to water deficit: Modifications linked to paraheliotropism, stomatal characteristics and antioxidant enzymes. J. Plant Growth Regul. 2021, 40, 20–36. [Google Scholar] [CrossRef]
- Yan, W.; Lu, Y.; Guo, L.; Liu, Y.; Li, M.; Zhang, B.; Zhang, B.; Zhang, L.; Qin, D.; Huo, J. Effects of Drought Stress on Photosynthesis and Chlorophyll Fluorescence in Blue Honeysuckle. Plants 2024, 13, 2115. [Google Scholar] [CrossRef] [PubMed]
- Jin, E.J.; Yoon, J.-H.; Lee, H.; Bae, E.J.; Yong, S.H.; Choi, M.S. Evaluation of drought stress level in Sargent’s cherry (Prunus sargentii Rehder) using photosynthesis and chlorophyll fluorescence parameters and proline content analysis. PeerJ 2023, 11, e15954. [Google Scholar] [CrossRef]
- Wang, J.; Zhang, X.; Han, Z.; Feng, H.; Wang, Y.; Kang, J.; Han, X.; Wang, L.; Wang, C.; Li, H. Analysis of physiological indicators associated with drought tolerance in wheat under drought and re-watering conditions. Antioxidants 2022, 11, 2266. [Google Scholar] [CrossRef]
- Yan, W.M.; Zhong, Y.Q.; Shangguan, Z.P. Responses of different physiological parameter thresholds to soil water availability in four plant species during prolonged drought. Agric. For. Meteorol. 2017, 247, 311–319. [Google Scholar] [CrossRef]
- Chen, J.; Liu, X.; Du, S.; Ma, Y.; Liu, L. Effects of drought on the relationship between photosynthesis and chlorophyll fluorescence for maize. IEEE J. Sel. Top Appl. Earth Obse. Remote Sens. 2021, 14, 11148–11161. [Google Scholar] [CrossRef]
- Akhbarfar, G.; Nikbakht, A.; Etemadi, N.; Gailing, O. Physiological and Biochemical Responses of Plantain Trees (Platanus orientalis L.) Derived from Different Ages to Drought Stress and Ascophyllum nodosum L. Extract. J. Soil Sci. Plant Nutr. 2023, 23, 5945–5961. [Google Scholar] [CrossRef]
- Li, B.; Feng, Y.; Zong, Y.; Zhang, D.; Hao, X.; Li, P. Elevated CO2-induced changes in photosynthesis, antioxidant enzymes and signal transduction enzyme of soybean under drought stress. Plant Physiol. Biochem. 2020, 154, 105–114. [Google Scholar] [CrossRef] [PubMed]
- Dong, S.; Zhou, Q.; Yan, C.; Song, S.; Wang, X.; Wu, Z.; Wang, X.; Ma, C. Comparative protein profiling of two soybean genotypes with different stress tolerance reveals major components in drought tolerance. Front. Sus. Food Syst. 2023, 7, 1200608. [Google Scholar] [CrossRef]
- Gomes, F.P.; Oliva, M.A.; Mielke, M.S.; Almeida, A.-A.F.; Aquino, L.A. Osmotic adjustment, proline accumulation and cell membrane stability in leaves of Cocos nucifera submitted to drought stress. Sci. Hortic. 2010, 126, 379–384. [Google Scholar] [CrossRef]
- Li, C.; Wan, Y.; Shang, X.; Fang, S. Responses of microstructure, ultrastructure and antioxidant enzyme activity to PEG-induced drought stress in Cyclocarya paliurus seedlings. Forests 2022, 13, 836. [Google Scholar] [CrossRef]
- Vendruscolo, E.C.G.; Schuster, I.; Pileggi, M.; Scapim, C.A.; Molinari, H.B.C.; Marur, C.J.; Vieira, L.G.E. Stress-induced synthesis of proline confers tolerance to water deficit in transgenic wheat. J. Plant Physiol. 2007, 164, 1367–1376. [Google Scholar] [CrossRef]
- Rushton, P.J.; Somssich, I.E.; Ringler, P.; Shen, Q.J. WRKY transcription factors. Trends Plant Sci. 2010, 15, 247–258. [Google Scholar] [CrossRef] [PubMed]
- Gao, Y.F.; Liu, J.K.; Yang, F.M.; Zhang, G.Y.; Wang, D.; Zhang, L.; Ou, Y.B.; Yao, Y.A. The WRKY transcription factor WRKY8 promotes resistance to pathogen infection and mediates drought and salt stress tolerance in Solanum lycopersicum. Physiol. Plant. 2020, 168, 98–117. [Google Scholar] [CrossRef] [PubMed]
- Gulzar, F.; Fu, J.; Zhu, C.; Yan, J.; Li, X.; Meraj, T.A.; Shen, Q.; Hassan, B.; Wang, Q. Maize WRKY Transcription factor ZmWRKY79 positively regulates drought tolerance through elevating ABA biosynthesis. Int. J. Fruit Sci. 2021, 22, 10080. [Google Scholar] [CrossRef] [PubMed]
- Zhang, Y.; Du, P.; Xiong, F.; Zhang, X.; Song, H. WRKY genes improve drought tolerance in Arachis duranensis. Front. Plant Sci. 2022, 13, 910408. [Google Scholar] [CrossRef] [PubMed]
- Yu, X.; Liu, Y.; Cao, P.; Zeng, X.; Xu, B.; Luo, F.; Yang, X.; Wang, X.; Wang, X.; Xiao, X. Morphological structure and physiological and biochemical responses to drought stress of Iris japonica. Plants 2023, 12, 3729. [Google Scholar] [CrossRef] [PubMed]
- Ngcobo, S.; Bada, S.O.; Ukpong, A.M.; Risenga, I. Optimal chlorophyll extraction conditions and postharvest stability in Moringa (M. Oleifera) leaves. J. Food Meas. Charact. 2024, 18, 1611–1626. [Google Scholar] [CrossRef]
- Zhang, F.; Yu, J.; Johnston, C.R.; Wang, Y.; Zhu, K.; Lu, F.; Zhang, Z.; Zou, J. Seed priming with polyethylene glycol induces physiological changes in sorghum (Sorghum bicolor L. Moench) seedlings under suboptimal soil moisture environments. PLoS ONE 2015, 10, e0140620. [Google Scholar] [CrossRef] [PubMed]
- Santanoo, S.; Lontom, W.; Dongsansuk, A.; Vongcharoen, K.; Theerakulpisut, P. Photosynthesis performance at different growth stages, growth, and yield of rice in saline fields. Plants 2023, 12, 1903. [Google Scholar] [CrossRef] [PubMed]









| Drought Resistance Classification | Morphological Changes in Drought Stress |
|---|---|
| I | The entire plant thrives with a green color. |
| II | The outer layer begins to wilt and wither, and the tip and edge of leaves are coked. |
| III | The middle leaves wither and droop, the outer leaves are scorched and dry, and the plant loses its ornamental value. |
| Stress Time (d) | Leaf Length (cm) | Leaf Width (cm) | Crown Width (cm) | |||
|---|---|---|---|---|---|---|
| CK | ND | CK | ND | CK | ND | |
| 0 | 25.10 ± 3.22 a | 27.17 ± 4.05 a | 0.65 ± 0.47 a | 0.61 ± 0.10 a | 25.87 ± 0.95 a | 26.13 ± 1.08 a |
| 5 | 27.90 ± 1.13 a | 29.57 ± 0.61 a | 0.86 ± 0.15 a | 0.87 ± 0.90 a | 26.20 ± 5.73 a | 26.63 ± 3.33 a |
| 10 | 30.23 ± 2.61 a | 30.97 ± 2.29 a | 0.91 ± 0.10 a | 1.05 ± 0.18 a | 26.57 ± 3.86 a | 29.23 ± 5.14 a |
| 15 | 32.10 ± 2.00 a | 32.20 ± 0.66 a | 0.96 ± 0.11 b | 1.14 ± 0.10 a | 27.30 ± 3.34 a | 34.17 ± 10.53 a |
| 20 | 33.67 ± 0.61 a | 34.27 ± 3.02 a | 0.96 ± 0.38 a | 0.91 ± 0.07 a | 29.33 ± 3.55 b | 36.77 ± 11.64 a |
| 25 | 38.13 ± 1.91 a | 35.50 ± 4.55 b | 0.98 ± 0.01 a | 0.87 ± 0.06 b | 32.33 ± 2.83 b | 45.27 ± 2.28 a |
| Stress Time (d) | Above-Ground Fresh Weight (g) | Below-Ground Fresh Weight (g) | Above-Ground Dry Weight (g) | Below-Ground Dry Weight (g) | ||||
|---|---|---|---|---|---|---|---|---|
| CK | ND | CK | ND | CK | ND | CK | ND | |
| 0 | 6.42 ± 0.28 a | 6.83 ± 0.86 a | 44.92 ± 0.10 a | 45.63 ±5.02 a | 1.61 ± 0.03 a | 1.67 ± 0.05 a | 10.82 ± 0.54 a | 11.36 ± 0.95 a |
| 5 | 6.55 ± 0.15 a | 6.61 ± 0.77 a | 38.44 ± 1.58 a | 40.21 ±2.04 a | 1.38 ± 0.2 a | 1.03 ± 0.13 a | 8.20 ± 0.57 a | 7.95 ± 0.26 a |
| 10 | 7.91 ± 0.15 a | 3.75 ± 0.7 b | 47.73 ± 8.78 a | 28.20 ±2.63 b | 1.54 ± 0.07 a | 0.66 ± 0.21 b | 11.24 ± 0.38 a | 5.49 ± 1.18 b |
| 15 | 9.63 ± 1.31 a | 2.68 ± 0.61 b | 43.38 ± 6.58 a | 25.19 ±5.19 b | 1.87 ± 0.09 a | 0.47 ± 0.1 b | 12.58 ± 0.25 a | 4.68 ± 0.89 b |
| 20 | 8.46 ± 0.20 a | 2.32 ± 0.78 b | 46.45 ± 0.86 a | 24.04 ±1.48 b | 1.54 ± 0.13 a | 0.31 ± 0.03 b | 11.34 ± 0.19 a | 4.54 ± 0.47 b |
| 25 | 9.52 ± 0.26 a | 1.65 ± 0.06 b | 46.76 ± 2.68 a | 20.15 ±1.80 b | 1.78 ± 0.17 a | 0.32 ± 0.08 b | 11.98 ± 0.33 a | 4.94 ± 0.31 b |
| Stress Time (d) | PEG-6000 (%) | Height (cm) | Leaf Width (cm) | Crown Width (cm) |
|---|---|---|---|---|
| 0 | CK | 31.43 ± 6.99 a | 1.10 ± 0.21 a | 36.17 ± 6.93 a |
| 20% | 33.47 ± 2.65 a | 1.03 ± 0.13 a | 37.20 ± 2.00 a | |
| 30% | 31.70 ± 2.04 a | 1.06 ± 0.20 a | 34.01 ± 7.07 a | |
| 40% | 35.37 ± 9.33 a | 1.04 ± 0.18 a | 32.70 ± 3.18 a | |
| 50% | 31.37 ± 2.83 a | 1.06 ± 0.23 a | 35.23 ± 2.90 a | |
| 1 | CK | 32.93 ± 5.78 a | 1.13 ± 0.22 a | 38.40 ± 0.95 a |
| 20% | 36.43 ± 2.02 a | 1.10 ± 0.27 a | 39.13 ± 2.85 a | |
| 30% | 34.50 ± 8.24 a | 1.16 ± 0.90 a | 36.20 ± 6.93 a | |
| 40% | 36.80 ± 1.04 a | 1.05 ± 0.17 a | 38.63 ± 2.01 a | |
| 50% | 32.30 ± 0.85 a | 1.03 ± 0.20 a | 39.67 ± 0.81 a | |
| 4 | CK | 37.57 ± 4.90 a | 1.11 ± 0.22 a | 39.60 ± 0.36 b |
| 20% | 36.87 ± 0.59 ab | 1.09 ± 0.27 a | 40.60 ± 4.66 b | |
| 30% | 35.43 ± 7.27 ab | 0.87 ± 0.54 ab | 39.40 ± 0.26 b | |
| 40% | 37.90 ± 0.72 a | 0.88 ± 0.62 ab | 40.30 ± 1.81 b | |
| 50% | 32.53 ± 1.76 b | 0.81 ± 0.38 b | 43.93 ± 6.34 a | |
| 7 | CK | 39.80 ± 0.79 a | 1.21 ± 0.94 a | 40.67 ± 1.70 b |
| 20% | 38.20 ± 0.82 a | 1.02 ± 0.21 ab | 41.37 ± 4.07 b | |
| 30% | 35.68 ± 1.80 b | 0.80 ± 0.77 c | 40.77 ± 3.69 b | |
| 40% | 38.03 ± 1.97 a | 0.83 ± 0.34 bc | 44.87 ± 4.04 a | |
| 50% | 32.70 ± 1.11 c | 0.76 ± 0.27 c | 47.01 ± 1.19 a |
Disclaimer/Publisher’s Note: The statements, opinions and data contained in all publications are solely those of the individual author(s) and contributor(s) and not of MDPI and/or the editor(s). MDPI and/or the editor(s) disclaim responsibility for any injury to people or property resulting from any ideas, methods, instructions or products referred to in the content. |
© 2024 by the authors. Licensee MDPI, Basel, Switzerland. This article is an open access article distributed under the terms and conditions of the Creative Commons Attribution (CC BY) license (https://creativecommons.org/licenses/by/4.0/).
Share and Cite
Wang, Q.; Lu, X.; Sun, Y.; Yu, J.; Cao, Q.; Xiao, Y.; Jiang, N.; Chen, L.; Zhou, Y. Studies on the Physiological Response of Hemerocallis middendorffii to Two Types of Drought Stresses. Int. J. Mol. Sci. 2024, 25, 13733. https://doi.org/10.3390/ijms252413733
Wang Q, Lu X, Sun Y, Yu J, Cao Q, Xiao Y, Jiang N, Chen L, Zhou Y. Studies on the Physiological Response of Hemerocallis middendorffii to Two Types of Drought Stresses. International Journal of Molecular Sciences. 2024; 25(24):13733. https://doi.org/10.3390/ijms252413733
Chicago/Turabian StyleWang, Qi, Xi Lu, Yue Sun, Jiahui Yu, Qingtao Cao, Yiting Xiao, Nan Jiang, Lifei Chen, and Yunwei Zhou. 2024. "Studies on the Physiological Response of Hemerocallis middendorffii to Two Types of Drought Stresses" International Journal of Molecular Sciences 25, no. 24: 13733. https://doi.org/10.3390/ijms252413733
APA StyleWang, Q., Lu, X., Sun, Y., Yu, J., Cao, Q., Xiao, Y., Jiang, N., Chen, L., & Zhou, Y. (2024). Studies on the Physiological Response of Hemerocallis middendorffii to Two Types of Drought Stresses. International Journal of Molecular Sciences, 25(24), 13733. https://doi.org/10.3390/ijms252413733

