Synthesis of Bis(isodecyl Terephthalate) from Waste Poly(ethylene Terephthalate) Catalyzed by Lewis Acid Catalysts
Abstract
1. Introduction
2. Results and Discussion
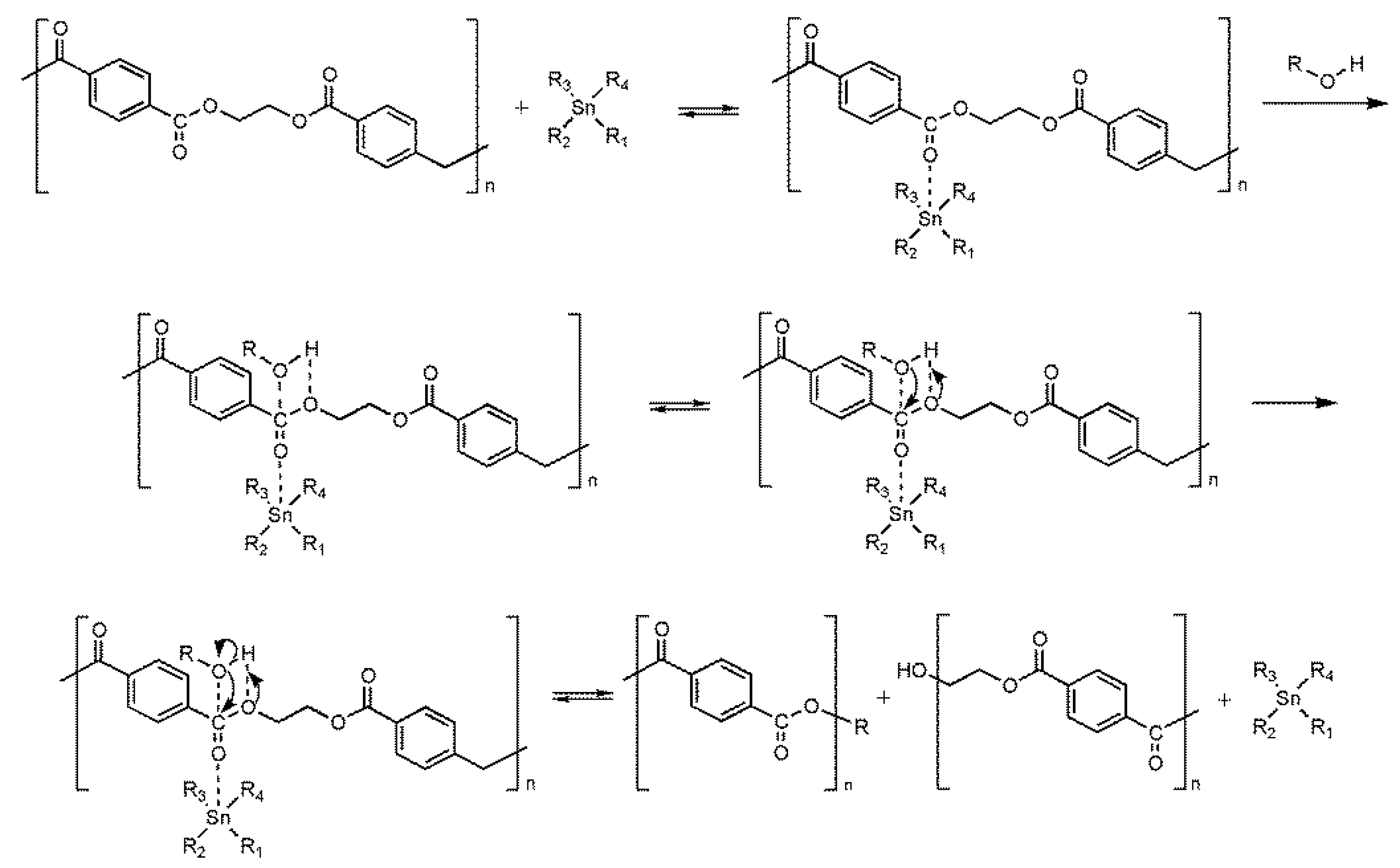
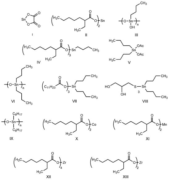
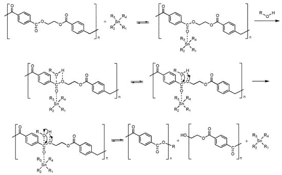
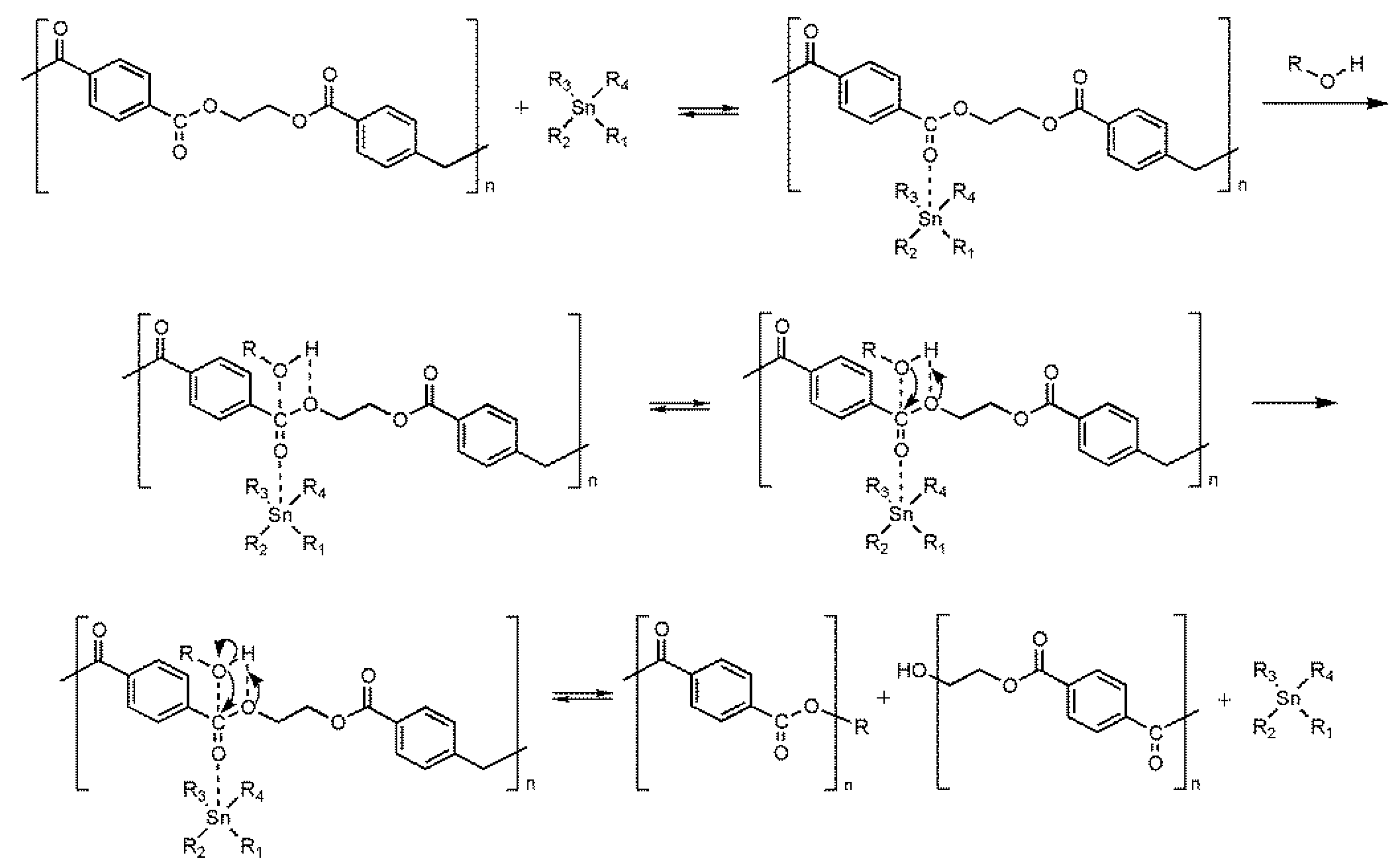
2.1. Catalyst Screening
2.2. Synthesis of Application Samples
2.3. GC-MS Analysis of Depolymerization Products
2.4. Physicochemical and Plasticization Properties of the Obtained Plasticizers
3. Materials and Methods
3.1. Materials
3.2. Methods
3.2.1. Catalyst Screening Tests and Plasticizer Synthesis
3.2.2. Application Samples’ Synthesis
3.2.3. Analysis of Depolymerization Reaction Composition
3.2.4. Plasticization Measurements
4. Conclusions
Author Contributions
Funding
Institutional Review Board Statement
Informed Consent Statement
Data Availability Statement
Conflicts of Interest
References
- Diao, J.; Hu, Y.; Tian, Y.; Carr, R.; Moon, T.S. Upcycling of Poly(Ethylene Terephthalate) to Produce High-Value Bio-Products. Cell Rep. 2023, 42, 111908. [Google Scholar] [CrossRef] [PubMed]
- Browne, M.A.; Crump, P.; Niven, S.J.; Teuten, E.; Tonkin, A.; Galloway, T.; Thompson, R. Accumulation of Microplastic on Shorelines Woldwide: Sources and Sinks. Environ. Sci. Technol. 2011, 45, 9175–9179. [Google Scholar] [CrossRef] [PubMed]
- Barnes, D.K.A.; Galgani, F.; Thompson, R.C.; Barlaz, M. Accumulation and Fragmentation of Plastic Debris in Global Environments. Philos. Trans. R. Soc. B Biol. Sci. 2009, 364, 1985–1998. [Google Scholar] [CrossRef] [PubMed]
- Smith, R.; Oliver, C.; Williams, D.F. The Enzymatic Degradation of Polymersin Vitro. J. Biomed. Mater. Res. 1987, 21, 991–1003. [Google Scholar] [CrossRef] [PubMed]
- Zhang, J.; Wang, X.; Gong, J.; Gu, Z. A Study on the Biodegradability of Polyethylene Terephthalate Fiber and Diethylene Glycol Terephthalate. J. Appl. Polym. Sci. 2004, 93, 1089–1096. [Google Scholar] [CrossRef]
- Muszyński, M.; Nowicki, J.; Zygadło, M.; Dudek, G. Comparsion of Catalyst Effectiveness in Different Chemical Depolymerization Methods of Poly(Ethylene Terephthalate). Molecules 2023, 28, 6385. [Google Scholar] [CrossRef]
- Hopewell, J.; Dvorak, R.; Kosior, E. Plastics Recycling: Challenges and Opportunities. Philos. Trans. R. Soc. B Biol. Sci. 2009, 364, 2115–2126. [Google Scholar] [CrossRef]
- Ragaert, K.; Delva, L.; Van Geem, K. Mechanical and Chemical Recycling of Solid Plastic Waste. Waste Manag. 2017, 69, 24–58. [Google Scholar] [CrossRef]
- de Marco, I.; Caballero, B.; Torres, A.; Laresgoiti, M.F.; Chomón, M.J.; Cabrero, M.A. Recycling Polymeric Wastes by Means of Pyrolysis. J. Chem. Technol. Biotechnol. 2002, 77, 817–824. [Google Scholar] [CrossRef]
- Lopez-Urionabarrenechea, A.; de Marco, I.; Caballero, B.M.; Laresgoiti, M.F.; Adrados, A. Catalytic Stepwise Pyrolysis of Packaging Plastic Waste. J. Anal. Appl. Pyrolysis 2012, 96, 54–62. [Google Scholar] [CrossRef]
- Ahmadinia, E.; Zargar, M.; Karim, M.R.; Abdelaziz, M.; Ahmadinia, E. Performance Evaluation of Utilization of Waste Polyethylene Terephthalate (PET) in Stone Mastic Asphalt. Constr. Build Mater. 2012, 36, 984–989. [Google Scholar] [CrossRef]
- Leng, Z.; Padhan, R.K.; Sreeram, A. Production of a Sustainable Paving Material through Chemical Recycling of Waste PET into Crumb Rubber Modified Asphalt. J. Clean Prod. 2018, 180, 682–688. [Google Scholar] [CrossRef]
- Leng, Z.; Sreeram, A.; Padhan, R.K.; Tan, Z. Value-Added Application of Waste PET Based Additives in Bituminous Mixtures Containing High Percentage of Reclaimed Asphalt Pavement (RAP). J. Clean Prod. 2018, 196, 615–625. [Google Scholar] [CrossRef]
- Usman, I.U.; Kunlin, M. Influence of Polyethylene Terephthalate (PET) Utilization on the Engineering Properties of Asphalt Mixtures: A Review. Constr. Build Mater. 2024, 411, 134439. [Google Scholar] [CrossRef]
- Kenny, S.T.; Runic, J.N.; Kaminsky, W.; Woods, T.; Babu, R.P.; Keely, C.M.; Blau, W.; O’Connor, K.E. Up-Cycling of PET (Polyethylene Terephthalate) to the Biodegradable Plastic PHA (Polyhydroxyalkanoate). Environ. Sci. Technol. 2008, 42, 7696–7701. [Google Scholar] [CrossRef]
- Du, S.; Valla, J.A.; Parnas, R.S.; Bollas, G.M. Conversion of Polyethylene Terephthalate Based Waste Carpet to Benzene-Rich Oils through Thermal, Catalytic, and Catalytic Steam Pyrolysis. ACS Sustain. Chem. Eng. 2016, 4, 2852–2860. [Google Scholar] [CrossRef]
- Paszun, D.; Spychaj, T. Chemical Recycling of Poly(Ethylene Terephthalate). Ind. Eng. Chem. Res. 1997, 36, 1373–1383. [Google Scholar] [CrossRef]
- Karayannidis, G.P.; Achilias, D.S. Chemical Recycling of Poly(Ethylene Terephthalate). Macromol Mater Eng 2007, 292, 128–146. [Google Scholar] [CrossRef]
- Sinha, V.; Patel, M.R.; Patel, J.V. Pet Waste Management by Chemical Recycling: A Review. J. Polym. Environ. 2010, 18, 8–25. [Google Scholar] [CrossRef]
- Shojaei, B.; Abtahi, M.; Najafi, M. Chemical Recycling of PET: A Stepping-stone toward Sustainability. Polym. Adv. Technol. 2020, 31, 2912–2938. [Google Scholar] [CrossRef]
- Samak, N.A.; Jia, Y.; Sharshar, M.M.; Mu, T.; Yang, M.; Peh, S.; Xing, J. Recent Advances in Biocatalysts Engineering for Polyethylene Terephthalate Plastic Waste Green Recycling. Environ. Int. 2020, 145, 106144. [Google Scholar] [CrossRef] [PubMed]
- Cao, F.; Wang, L.; Zheng, R.; Guo, L.; Chen, Y.; Qian, X. Research and Progress of Chemical Depolymerization of Waste PET and High-Value Application of Its Depolymerization Products. RSC Adv. 2022, 12, 31564–31576. [Google Scholar] [CrossRef] [PubMed]
- Khalaf, H.I.; Hasan, O.A. Effect of Quaternary Ammonium Salt as a Phase Transfer Catalyst for the Microwave Depolymerization of Polyethylene Terephthalate Waste Bottles. Chem. Eng. J. 2012, 192, 45–48. [Google Scholar] [CrossRef]
- Wang, Y.; Wang, H.; Chen, H.; Liu, H. Towards Recycling Purpose: Converting PET Plastic Waste Back to Terephthalic Acid Using PH-Responsive Phase Transfer Catalyst. Chin. J. Chem. Eng. 2022, 51, 53–60. [Google Scholar] [CrossRef]
- Zhang, L.; Gao, J.; Zou, J.; Yi, F. Hydrolysis of Poly(Ethylene Terephthalate) Waste Bottles in the Presence of Dual Functional Phase Transfer Catalysts. J. Appl. Polym. Sci. 2013, 130, 2790–2795. [Google Scholar] [CrossRef]
- Singh, S.; Sharma, S.; Umar, A.; Mehta, S.K.; Bhatti, M.S.; Kansal, S.K. Recycling of Waste Poly(Ethylene Terephthalate) Bottles by Alkaline Hydrolysis and Recovery of Pure Nanospindle-Shaped Terephthalic Acid. J. Nanosci. Nanotechnol. 2018, 18, 5804–5809. [Google Scholar] [CrossRef]
- Štrukil, V. Highly Efficient Solid-State Hydrolysis of Waste Polyethylene Terephthalate by Mechanochemical Milling and Vapor-Assisted Aging. ChemSusChem 2021, 14, 330–338. [Google Scholar] [CrossRef]
- Bhogle, C.S.; Pandit, A.B. Ultrasound-Assisted Alkaline Hydrolysis of Waste Poly(Ethylene Terephthalate) in Aqueous and Non-Aqueous Media at Low Temperature. Indian Chem. Eng. 2018, 60, 122–140. [Google Scholar] [CrossRef]
- Yang, W.; Wang, J.; Jiao, L.; Song, Y.; Li, C.; Hu, C. Easily Recoverable and Reusable p -Toluenesulfonic Acid for Faster Hydrolysis of Waste Polyethylene Terephthalate. Green Chem. 2022, 24, 1362–1372. [Google Scholar] [CrossRef]
- Li, X.-K.; Lu, H.; Guo, W.-Z.; Cao, G.-P.; Liu, H.-L.; Shi, Y.-H. Reaction Kinetics and Mechanism of Catalyzed Hydrolysis of Waste PET Using Solid Acid Catalyst in Supercritical CO 2. AIChE J. 2015, 61, 200–214. [Google Scholar] [CrossRef]
- Guo, W.-Z.; Lu, H.; Li, X.-K.; Cao, G.-P. Tungsten-Promoted Titania as Solid Acid for Catalytic Hydrolysis of Waste Bottle PET in Supercritical CO 2. RSC Adv. 2016, 6, 43171–43184. [Google Scholar] [CrossRef]
- Yang, W.; Liu, R.; Li, C.; Song, Y.; Hu, C. Hydrolysis of Waste Polyethylene Terephthalate Catalyzed by Easily Recyclable Terephthalic Acid. Waste Manag. 2021, 135, 267–274. [Google Scholar] [CrossRef] [PubMed]
- Ügdüler, S.; Van Geem, K.M.; Denolf, R.; Roosen, M.; Mys, N.; Ragaert, K.; De Meester, S. Towards Closed-Loop Recycling of Multilayer and Coloured PET Plastic Waste by Alkaline Hydrolysis. Green Chem. 2020, 22, 5376–5394. [Google Scholar] [CrossRef]
- Liu, B.; Lu, X.; Ju, Z.; Sun, P.; Xin, J.; Yao, X.; Zhou, Q.; Zhang, S. Ultrafast Homogeneous Glycolysis of Waste Polyethylene Terephthalate via a Dissolution-Degradation Strategy. Ind. Eng. Chem. Res. 2018, 57, 16239–16245. [Google Scholar] [CrossRef]
- Ghosal, K.; Nayak, C. Recent Advances in Chemical Recycling of Polyethylene Terephthalate Waste into Value Added Products for Sustainable Coating Solutions—Hope vs. Hype. Mater. Adv. 2022, 3, 1974–1992. [Google Scholar] [CrossRef]
- Hu, Y.; Wang, Y.; Zhang, X.; Qian, J.; Xing, X.; Wang, X. Synthesis of Poly(Ethylene Terephthalate) Based on Glycolysis of Waste PET Fiber. J. Macromol.Sci. Part A 2020, 57, 430–438. [Google Scholar] [CrossRef]
- Moncada, J.; Dadmun, M.D. The Structural Evolution of Poly(Ethylene Terephthalate) Oligomers Produced via Glycolysis Depolymerization. J. Mater. Chem. A Mater. 2023, 11, 4679–4690. [Google Scholar] [CrossRef]
- Deng, L.; Li, R.; Chen, Y.; Wang, J.; Song, H. New Effective Catalysts for Glycolysis of Polyethylene Terephthalate Waste: Tropine and Tropine-Zinc Acetate Complex. J. Mol. Liq. 2021, 334, 116419. [Google Scholar] [CrossRef]
- Esquer, R.; García, J.J. Metal-Catalysed Poly(Ethylene) Terephthalate and Polyurethane Degradations by Glycolysis. J. Organomet. Chem. 2019, 902, 120972. [Google Scholar] [CrossRef]
- Lei, D.; Sun, X.-L.; Hu, S.; Cheng, H.; Chen, Q.; Qian, Q.; Xiao, Q.; Cao, C.; Xiao, L.; Huang, B. Rapid Glycolysis of Waste Polyethylene Terephthalate Fibers via a Stepwise Feeding Process. Ind. Eng. Chem. Res. 2022, 61, 4794–4802. [Google Scholar] [CrossRef]
- Son, S.G.; Jin, S.B.; Kim, S.J.; Park, H.J.; Shin, J.; Ryu, T.; Jeong, J.-M.; Choi, B.G. Exfoliated Manganese Oxide Nanosheets as Highly Active Catalysts for Glycolysis of Polyethylene Terephthalate. FlatChem 2022, 36, 100430. [Google Scholar] [CrossRef]
- Wang, T.; Zheng, Y.; Yu, G.; Chen, X. Glycolysis of Polyethylene Terephthalate: Magnetic Nanoparticle CoFe2O4 Catalyst Modified Using Ionic Liquid as Surfactant. Eur. Polym. J. 2021, 155, 110590. [Google Scholar] [CrossRef]
- Guo, Z.; Adolfsson, E.; Tam, P.L. Nanostructured Micro Particles as a Low-Cost and Sustainable Catalyst in the Recycling of PET Fiber Waste by the Glycolysis Method. Waste Manag. 2021, 126, 559–566. [Google Scholar] [CrossRef] [PubMed]
- Putisompon, S.; Yunita, I.; Sugiyarto, K.H.; Somsook, E. Low-Cost Catalyst for Glycolysis of Polyethylene Terephthalate (PET). Key. Eng. Mater. 2019, 824, 225–230. [Google Scholar] [CrossRef]
- Zangana, K.H.; Fernandez, A.; Holmes, J.D. Simplified, Fast, and Efficient Microwave Assisted Chemical Recycling of Poly (Ethylene Terephthalate) Waste. Mater. Today Commun. 2022, 33, 104588. [Google Scholar] [CrossRef]
- Fang, P.; Liu, B.; Xu, J.; Zhou, Q.; Zhang, S.; Ma, J.; Lu, X. High-Efficiency Glycolysis of Poly(Ethylene Terephthalate) by Sandwich-Structure Polyoxometalate Catalyst with Two Active Sites. Polym. Degrad. Stab. 2018, 156, 22–31. [Google Scholar] [CrossRef]
- Shuangjun, C.; Weihe, S.; Haidong, C.; Hao, Z.; Zhenwei, Z.; Chaonan, F. Glycolysis of Poly(Ethylene Terephthalate) Waste Catalyzed by Mixed Lewis Acidic Ionic Liquids. J. Therm. Anal. Calorim. 2021, 143, 3489–3497. [Google Scholar] [CrossRef]
- Cano, I.; Martin, C.; Fernandes, J.A.; Lodge, R.W.; Dupont, J.; Casado-Carmona, F.A.; Lucena, R.; Cardenas, S.; Sans, V.; de Pedro, I. Paramagnetic Ionic Liquid-Coated SiO2@Fe3O4 Nanoparticles—The next Generation of Magnetically Recoverable Nanocatalysts Applied in the Glycolysis of PET. Appl. Catal. B 2020, 260, 118110. [Google Scholar] [CrossRef]
- Najafi-Shoa, S.; Barikani, M.; Ehsani, M.; Ghaffari, M. Cobalt-Based Ionic Liquid Grafted on Graphene as a Heterogeneous Catalyst for Poly (Ethylene Terephthalate) Glycolysis. Polym. Degrad. Stab. 2021, 192, 109691. [Google Scholar] [CrossRef]
- Kim, B.-K.; Hwang, G.-C.; Bae, S.-Y.; Yi, S.-C.; Kumazawa, H. Depolymerization of Polyethyleneterephthalate in Supercritical Methanol. J. Appl. Polym. Sci. 2001, 81, 2102–2108. [Google Scholar] [CrossRef]
- Mishra, S.; Goje, A. Kinetic and Thermodynamic Study of Methanolysis of Poly(Ethylene Terephthalate) Waste Powder. Polym. Int. 2003, 52, 337–342. [Google Scholar] [CrossRef]
- Siddiqui, M.N.; Redhwi, H.H.; Achilias, D.S. Recycling of Poly(Ethylene Terephthalate) Waste through Methanolic Pyrolysis in a Microwave Reactor. J. Anal. Appl. Pyrolysis 2012, 98, 214–220. [Google Scholar] [CrossRef]
- Carné Sánchez, A.; Collinson, S.R. The Selective Recycling of Mixed Plastic Waste of Polylactic Acid and Polyethylene Terephthalate by Control of Process Conditions. Eur. Polym. J. 2011, 47, 1970–1976. [Google Scholar] [CrossRef]
- Hofmann, M.; Sundermeier, J.; Alberti, C.; Enthaler, S. Zinc(II) Acetate Catalyzed Depolymerization of Poly(Ethylene Terephthalate). ChemistrySelect 2020, 5, 10010–10014. [Google Scholar] [CrossRef]
- Pham, D.D.; Cho, J. Low-Energy Catalytic Methanolysis of Poly(Ethyleneterephthalate). Green Chem. 2021, 23, 511–525. [Google Scholar] [CrossRef]
- Tang, S.; Li, F.; Liu, J.; Guo, B.; Tian, Z.; Lv, J. Calcined Sodium Silicate as Solid Base Catalyst for Alcoholysis of Poly(Ethylene Terephthalate). J. Chem. Technol. Biotechnol. 2022, 97, 1305–1314. [Google Scholar] [CrossRef]
- Tang, H.; Li, N.; Li, G.; Wang, A.; Cong, Y.; Xu, G.; Wang, X.; Zhang, T. Synthesis of Gasoline and Jet Fuel Range Cycloalkanes and Aromatics from Poly(Ethylene Terephthalate) Waste. Green Chem. 2019, 21, 2709–2719. [Google Scholar] [CrossRef]
- Rodrigues Fernandes, J.; Pereira Amaro, L.; Curti Muniz, E.; Favaro, S.L.; Radovanovic, E. PET Depolimerization in Supercritical Ethanol Conditions Catalysed by Nanoparticles of Metal Oxides. J. Supercrit. Fluids 2020, 158, 104715. [Google Scholar] [CrossRef]
- Yang, Y.; Chen, F.; Shen, T.; Pariatamby, A.; Wen, X.; Yan, M.; Kanchanatip, E. Catalytic Depolymerization of Waste Polyethylene Terephthalate Plastic in Supercritical Ethanol by ZnO/γ-Al2O3 Catalyst. Process Saf. Environ. Prot. 2023, 173, 881–892. [Google Scholar] [CrossRef]
- Lozano-Martinez, P.; Torres-Zapata, T.; Martin-Sanchez, N. Directing Depolymerization of PET with Subcritical and Supercritical Ethanol to Different Monomers through Changes in Operation Conditions. ACS Sustain. Chem. Eng. 2021, 9, 9846–9853. [Google Scholar] [CrossRef]
- Yan, M.; Yang, Y.; Shen, T.; Grisdanurak, N.; Pariatamby, A.; Khalid, M.; Hantoko, D.; Wibowo, H. Effect of Operating Parameters on Monomer Production from Depolymerization of Waste Polyethylene Terephthalate in Supercritical Ethanol. Process Saf. Environ. Prot. 2023, 169, 212–219. [Google Scholar] [CrossRef]
- Liu, S.; Wang, Z.; Li, L.; Yu, S.; Xie, C.; Liu, F. Butanol Alcoholysis Reaction of Polyethylene Terephthalate Using Acidic Ionic Liquid as Catalyst. J. Appl. Polym. Sci. 2013, 130, 1840–1844. [Google Scholar] [CrossRef]
- Nikje, M.M.A.; Nazari, F. Microwave-Assisted Depolymerization of Poly(Ethylene Terephthalate) [PET] at Atmospheric Pressure. Adv. Polym. Technol. 2006, 25, 242–246. [Google Scholar] [CrossRef]
- Dupont, L.; Gupta, V.P. Production of Terephthalate Esters by Degradative Transesterification of Scrap or Virgin Terephthalate Polyesters 1994. Available online: https://patents.google.com/patent/US5319128A/en (accessed on 26 November 2024).
- Dupont, L.A.; Gupta, V.P. Degradative Transesterification of Terephthalate Polyesters to Obtain DOTP Plasticizer for Flexible PVC. J. Vinyl Addit. Technol. 1993, 15, 100–104. [Google Scholar] [CrossRef]
- Liu, S.; Zhou, L.; Li, L.; Yu, S.; Liu, F.; Xie, C.; Song, Z. Isooctanol Alcoholysis of Waste Polyethylene Terephthalate in Acidic Ionic Liquid. J. Polym. Res. 2013, 20, 310. [Google Scholar] [CrossRef]
- Chen, J.; Lv, J.; Ji, Y.; Ding, J.; Yang, X.; Zou, M.; Xing, L. Alcoholysis of PET to Produce Dioctyl Terephthalate by Isooctyl Alcohol with Ionic Liquid as Cosolvent. Polym Degrad. Stab. 2014, 107, 178–183. [Google Scholar] [CrossRef]
- Zhou, L.; Lu, X.; Ju, Z.; Liu, B.; Yao, H.; Xu, J.; Zhou, Q.; Hu, Y.; Zhang, S. Alcoholysis of Polyethylene Terephthalate to Produce Dioctyl Terephthalate Using Choline Chloride-Based Deep Eutectic Solvents as Efficient Catalysts. Green Chem. 2019, 21, 897–906. [Google Scholar] [CrossRef]
- Rusmirovic, J.; Milosevic, D.; Velicic, Z.; Karanac, M.; Kalifa, M.; Nikolic, J.; Marinkovic, A. Production of Rubber Plasticizers Based on Waste PET: Techno-Economical Aspect. Zast. Mater. 2017, 58, 189–197. [Google Scholar] [CrossRef]
- Goto, M.; Koyamoto, H.; Kodama, A.; Hirose, T.; Nagaoka, S. Depolymerization of Polyethylene Terephthalate in Supercritical Methanol. J. Phys. Condens. Matter 2002, 14, 11427–11430. [Google Scholar] [CrossRef]
- Mohsin, M.A.; Alnaqbi, M.A.; Busheer, R.M.; Haik, Y. Sodium Methoxide Catalyzed Depolymerization of Waste Polyethylene Terephthalate Under Microwave Irradiation. Catal. Ind. 2018, 10, 41–48. [Google Scholar] [CrossRef]
- Nunes, C.S.; Vieira da Silva, M.J.; Cristina da Silva, D.; Freitas, A.d.R.; Rosa, F.A.; Rubira, A.F.; Muniz, E.C. PET Depolymerisation in Supercritical Ethanol Catalysed by [Bmim][BF4]. RSC Adv. 2014, 4, 20308–20316. [Google Scholar] [CrossRef]
- Nunes, C.; Souza, P.; Freitas, A.; Silva, M.; Rosa, F.; Muniz, E. Poisoning Effects of Water and Dyes on the [Bmim][BF4] Catalysis of Poly(Ethylene Terephthalate) (PET) Depolymerization under Supercritical Ethanol. Catal. 2017, 7, 43. [Google Scholar] [CrossRef]
- Fukushima, K.; Coulembier, O.; Lecuyer, J.M.; Almegren, H.A.; Alabdulrahman, A.M.; Alsewailem, F.D.; Mcneil, M.A.; Dubois, P.; Waymouth, R.M.; Horn, H.W.; et al. Organocatalytic Depolymerization of Poly(Ethylene Terephthalate). J. Polym. Sci. A Polym. Chem. 2011, 49, 1273–1281. [Google Scholar] [CrossRef]
- Jia, S.; Ren, Y.; Zhang, D.; Hu, J.; Zeng, Y.; Wang, G. Stannous Oxalate: An Efficient Catalyst for Poly(Trimethylene Terephthalate) Synthesis. Sci. China. B Chem. 2008, 51, 257–262. [Google Scholar] [CrossRef]
- Xie, H.; Meng, H.; Wu, L.; Li, B.-G.; Dubois, P. In-Situ Synthesis, Thermal and Mechanical Properties of Biobased Poly(Ethylene 2,5-Furandicarboxylate)/Montmorillonite (PEF/MMT) Nanocomposites. Eur. Polym. J. 2019, 121, 109266. [Google Scholar] [CrossRef]
- Wilfong, R.E. Linear Polyesters. J. Polym. Sci. 1961, 54, 385–410. [Google Scholar] [CrossRef]
- Dong, H.; Esser-Kahn, A.P.; Thakre, P.R.; Patrick, J.F.; Sottos, N.R.; White, S.R.; Moore, J.S. Chemical Treatment of Poly(Lactic Acid) Fibers to Enhance the Rate of Thermal Depolymerization. ACS Appl. Mater. Interfaces 2012, 4, 503–509. [Google Scholar] [CrossRef]
- Asakuma, Y.; Yamamura, Y.; Nakagawa, K.; Maeda, K.; Fukui, K. Mechanism of Depolymerization Reaction of Polyethylene Terephthalate: Experimental and Theoretical Studies. J. Polym. Environ. 2011, 19, 209–216. [Google Scholar] [CrossRef]
- Poller, R.C.; Retout, S.P. Organotin Compounds as Transesterification Catalysts. J. Organomet. Chem. 1979, 173, C7–C8. [Google Scholar] [CrossRef]
- Muszyński, M.; Nowicki, J.; Krasuska, A.; Nowakowska-Bogdan, E.; Bartoszewicz, M.; Długosz, M.; Zygadło, M.; Dudek, G. Synthesis of Bis(2-Ethylhexyl) Terephthalate from Waste Poly(Ethylene Terephthalate) Catalyzed by Tin Catalysts. Polym. Degrad. Stab. 2023, 218, 110592. [Google Scholar] [CrossRef]
- López-Fonseca, R.; Duque-Ingunza, I.; de Rivas, B.; Flores-Giraldo, L.; Gutiérrez-Ortiz, J.I. Kinetics of Catalytic Glycolysis of PET Wastes with Sodium Carbonate. Chem. Eng. J. 2011, 168, 312–320. [Google Scholar] [CrossRef]
- Le, N.H.; Ngoc Van, T.T.; Shong, B.; Cho, J. Low-Temperature Glycolysis of Polyethylene Terephthalate. ACS Sustain. Chem. Eng. 2022, 10, 17261–17273. [Google Scholar] [CrossRef]
- Casas, A.; Ramos, M.J.; Rodríguez, J.F.; Pérez, Á. Tin Compounds as Lewis Acid Catalysts for Esterification and Transesterification of Acid Vegetable Oils. Fuel Process. Technol. 2013, 106, 321–325. [Google Scholar] [CrossRef]
- Ferreira, D.A.C.; Meneghetti, M.R.; Meneghetti, S.M.P.; Wolf, C.R. Methanolysis of Soybean Oil in the Presence of Tin(IV) Complexes. Appl. Catal. A Gen. 2007, 317, 58–61. [Google Scholar] [CrossRef]
















| Compound | Name and Structure of Identified Compound | Molar Mass [Da] |
|---|---|---|
| 1. | Ethylene glycol | 62 |
| 2. | 2-propyl-1-pentanol | 130 |
| 3. | 2-etylhexanol | 130 |
| 4. | 2-ethylhexanoic acid | 144 |
| 5. | Diethylene glycol | 106 |
| 6. | Ethylene glycol mono(2-ethylhexanoate) | 188 |
| 7. | 2-Ethylhexyl 2-ethylhexanoate | 256 |
| 8. | 2-ethylhexyl benzoate | 234 |
| 9. | ![]() Mono[2-(2-hydroxyetoksy)ethyl] terephthalate | 254 |
| 10. | ![]() Mono(2-ethylhexyl) isophthalate | 278 |
| 11. | ![]() Bis(2-hydroxyethyl) terephthalate | 254 |
| 12. | ![]() 2-Ethylhexyl 2-hydroxyethyl isophthalate | 322 |
| 13. | ![]() 2-Ethylhexyl 2-hydroxyethyl terephthalate | 322 |
| 14. | ![]() 2-Hydroxyethyl[2-(2-hydroxyethoxy)ethyl] terephthalate | 298 |
| 15. | ![]() Bis(2-ethylhexyl) isophthalate | 390 |
| 16. | ![]() Bis(2-ethylhexyl) terephthalate | 390 |
| 17. | ![]() 2-ethylhexyl[2-(2-hydroxyethoxy)ethyl] terephthalate | 366 |
| 18. | Polymer fragments | >400 |
| Parameter | Crude DIDTP | Purified DIDTP | Commercial Plasticizer Parameters |
|---|---|---|---|
| Dynamic viscosity 25 °C [mPas] | 85.97 | 63.81 | 65.8 |
| Density 20 °C [g/cm3] | 0.976 | 0.959 | 0.980–0.985 |
| Flashpoint [°C] | 246 | 225 | min. 230 |
| Volatile substances 150 °C [%wt.] | 0.25 | 0.15 | max 0.2 |
| Free acids [%wt.] | 0.1 | 0.08 | max 0.1 |
| Color [Haz] | - | 5 | >20 |
| Sample | Hardness [oShA] | Density [g/cm3] | TS [MPa] | Elongation at Break [%] | Plasticization Time [min] | Plasticizer Migration [%wt] | |
|---|---|---|---|---|---|---|---|
| 7 Days | 28 Days | ||||||
| DOTP (comm.) | 90.0 | 1.298 | 18.5 | 230 | 4.5 | 22.2 | 34.0 |
| DIDP (comm.) | 94.7 | 1.288 | 20.4 | 250 | 2 | 16.7 | 25.8 |
| DIDTP (distilled) | 94.6 | 1.287 | 21.1 | 260 | 1 | 16.9 | 25.7 |
| DIDTP (crude) | 95.40 | 1.326 | 25.6 | 220 | 2 | 13.6 | 21.5 |
| Process Stage | Tv [°C] | Tt [°C] | P [mbar] |
|---|---|---|---|
| Start | 130 | 110 | 15 |
| End | 210 | 112 | 15 |
| Process Stage | Tv [°C] | Tt [°C] | P [mbar] |
|---|---|---|---|
| Start | 258 | 252 | 2.8 |
| End | 291 | 275 | 2.8 |
Disclaimer/Publisher’s Note: The statements, opinions and data contained in all publications are solely those of the individual author(s) and contributor(s) and not of MDPI and/or the editor(s). MDPI and/or the editor(s) disclaim responsibility for any injury to people or property resulting from any ideas, methods, instructions or products referred to in the content. |
© 2024 by the authors. Licensee MDPI, Basel, Switzerland. This article is an open access article distributed under the terms and conditions of the Creative Commons Attribution (CC BY) license (https://creativecommons.org/licenses/by/4.0/).
Share and Cite
Muszyński, M.; Nowicki, J.; Krasuska, A.; Nowakowska-Bogdan, E.; Bartoszewicz, M.; Woszczyński, P.; Zygadło, M.; Dudek, G. Synthesis of Bis(isodecyl Terephthalate) from Waste Poly(ethylene Terephthalate) Catalyzed by Lewis Acid Catalysts. Int. J. Mol. Sci. 2024, 25, 12953. https://doi.org/10.3390/ijms252312953
Muszyński M, Nowicki J, Krasuska A, Nowakowska-Bogdan E, Bartoszewicz M, Woszczyński P, Zygadło M, Dudek G. Synthesis of Bis(isodecyl Terephthalate) from Waste Poly(ethylene Terephthalate) Catalyzed by Lewis Acid Catalysts. International Journal of Molecular Sciences. 2024; 25(23):12953. https://doi.org/10.3390/ijms252312953
Chicago/Turabian StyleMuszyński, Marcin, Janusz Nowicki, Agata Krasuska, Ewa Nowakowska-Bogdan, Maria Bartoszewicz, Piotr Woszczyński, Mateusz Zygadło, and Gabriela Dudek. 2024. "Synthesis of Bis(isodecyl Terephthalate) from Waste Poly(ethylene Terephthalate) Catalyzed by Lewis Acid Catalysts" International Journal of Molecular Sciences 25, no. 23: 12953. https://doi.org/10.3390/ijms252312953
APA StyleMuszyński, M., Nowicki, J., Krasuska, A., Nowakowska-Bogdan, E., Bartoszewicz, M., Woszczyński, P., Zygadło, M., & Dudek, G. (2024). Synthesis of Bis(isodecyl Terephthalate) from Waste Poly(ethylene Terephthalate) Catalyzed by Lewis Acid Catalysts. International Journal of Molecular Sciences, 25(23), 12953. https://doi.org/10.3390/ijms252312953










