Natural Inhibitors of Salmonella MDR Efflux Pumps AcrAB and AcrD: An Integrated In Silico, Molecular, and In Vitro Investigation
Abstract
1. Introduction
2. Results
2.1. Salmonella Proportion and Serotype Distribution
2.2. Antibiotic Susceptibility Pattern and Efflux Pumps
2.3. Essential Oil Activity
Minimum Inhibitory Concentration (MIC) Findings
2.4. Characterization of Compounds Present in the Oily Extracts (Cinnamon and Cumin) Using GC-MS
2.5. Molecular Docking Study
2.5.1. Molecular Docking of Target Compounds Against Salmonella Typhimurium
2.5.2. Molecular Docking of Target Compounds Against Salmonella Typhimurium Proximal Binding Pocket of MDR Efflux Pump AcrD
2.6. Molecular Dynamic (MD) Simulation Study
2.6.1. Protein and Ligand RMSD and RMSF Analysis
2.6.2. Protein–Ligand Interactions Analysis
Histogram of Protein–Ligand Interactions Analysis
MM-GBSA Calculations
2.7. Detection of Efflux Pump Genes by Conventional PCR
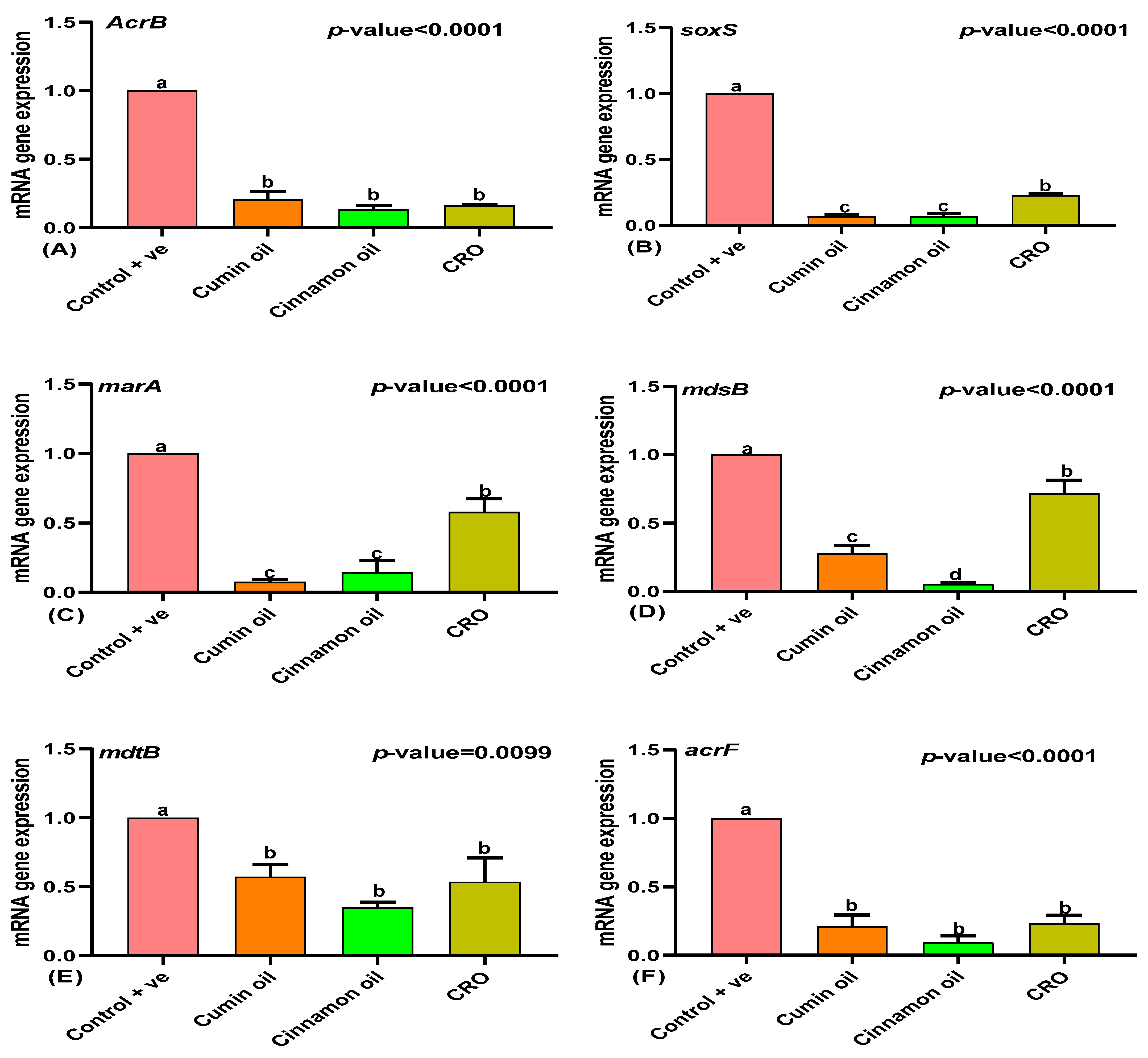
2.8. Modulatory Effects of Cumin and Cinnamon Oils on Efflux Pump Gene Transcription in Salmonella
3. Discussion
4. Materials and Methods
4.1. Sampling Methodology
4.2. Isolation and Identification
4.3. Antibiotics Susceptibility Testing
4.4. Essential Oils (EOs)
| Oil Name | Botanical Name |
| Sage oil | Salvia officinalis |
| Nigella oil | Nigella sativa |
| Ginger oil | Zingiber officinale |
| Cumin oil | Cuminum cyminums L. |
| Cinnamon oil | Cinnamomum verum |
| Sesame oil | Sesamum indicum |
| Thyme oil | Thymus vulgaris |
4.5. Agar Well Diffusion Assay of Herbal Oils
4.6. Minimum Inhibitory Concentration (MIC) and Minimum Bactericidal Concentration (MBC) Determination
4.7. Ethidium Bromide Efflux Assay
4.8. GC-MS Analysis
4.9. Molecular Docking Analysis
4.10. Molecular Dynamic (MD) Simulation
4.11. Efflux Pump Gene Detection and Expression Analysis
4.11.1. Detection of Efflux Pump Genes by Conventional PCR Assay
4.11.2. Quantitative Analysis of Gene Expression
4.12. Statistical Analysis
5. Conclusions
Supplementary Materials
Author Contributions
Funding
Institutional Review Board Statement
Informed Consent Statement
Data Availability Statement
Conflicts of Interest
References
- Pal, M.; Merera, O.; Abera, F.; Rahman, M.T.; Hazarika, R.A. Salmonellosis: A Major Foodborne Disease of Global Significance. Beverage Food World 2015, 42, 21–24. [Google Scholar]
- Mina, S.A.; Hasan, M.Z.; Hossain, A.K.M.Z.; Barua, A.; Mirjada, M.R.; Chowdhury, A.M.M.A. The Prevalence of Multi-Drug Resistant Salmonella Typhi Isolated from Blood Sample. Microbiol. Insights 2023, 16, 11786361221150760. [Google Scholar] [CrossRef] [PubMed]
- Essawi, W.M.; El-Demerdash, A.S.; El-Mesalamy, M.M.; Abonorag, M.A. Validation of Camel’s Fetal Fluids as Antimicrobial Agents. Curr. Microbiol. 2020, 77, 1399–1404. [Google Scholar] [CrossRef] [PubMed]
- El-Demerdash, A.S.; Al Atfeehy, N.M.; Hamed, R.I.; Bakry, N.R.; Matter, A.A.; Eid, S. Mobile Colistin Resistance Determinants among Enterobacteriaceae Isolated from Different Poultry Species. J. Adv. Vet. Res. 2023, 13, 1004–1010. [Google Scholar]
- Sun, J.; Deng, Z.; Yan, A. Bacterial Multidrug Efflux Pumps: Mechanisms, Physiology and Pharmacological Exploitations. Biochem. Biophys. Res. Commun. 2014, 453, 254–267. [Google Scholar] [CrossRef]
- Poole, K. Efflux-Mediated Antimicrobial Resistance Keith Poole. In Antibiotic Discovery and Development; Springer: Berlin/Heidelberg, Germany, 2011; p. 349. [Google Scholar]
- Silva, T.O.; Bulla, A.C.S.; Teixeira, B.; Gomes, V.M.S.; Raposo, T.; Barbosa, L.S.; da Silva, M.L.; Moreira, L.O.; Olsen, P.C. Bacterial Efflux Pump OMPs as Vaccine Candidates against Multidrug-Resistant Gram-Negative Bacteria. J. Leukoc. Biol. 2024, 116, 1237–1253. [Google Scholar] [CrossRef]
- Nanjan, P.; Bose, V. Efflux-Mediated Multidrug Resistance in Critical Gram-Negative Bacteria and Natural Efflux Pump Inhibitors. Curr. Drug Res. Rev. Former. Curr. Drug Abus. Rev. 2024, 16, 349–368. [Google Scholar] [CrossRef]
- Dreier, J. Active Drug Efflux in Bacteria. Enzyme-Mediated Resistance to Antibiotics: Mechanisms, Dissemination, and Prospects for Inhibition; ASM Press: Washington, DC, USA, 2007; pp. 235–264. [Google Scholar]
- Alenazy, R. Antibiotic Resistance in Salmonella: Targeting Multidrug Resistance by Understanding Efflux Pumps, Regulators and the Inhibitors. J. King Saud. Univ.-Sci. 2022, 34, 102275. [Google Scholar] [CrossRef]
- Álvarez-Martínez, F.J.; Barrajón-Catalán, E.; Micol, V. Tackling Antibiotic Resistance with Compounds of Natural Origin: A Comprehensive Review. Biomedicines 2020, 8, 405. [Google Scholar] [CrossRef]
- Khare, T.; Anand, U.; Dey, A.; Assaraf, Y.G.; Chen, Z.-S.; Liu, Z.; Kumar, V. Exploring Phytochemicals for Combating Antibiotic Resistance in Microbial Pathogens. Front. Pharmacol. 2021, 12, 720726. [Google Scholar] [CrossRef] [PubMed]
- El-Demerdash, A.S.; Mohamady, S.N.; Megahed, H.M.; Ali, N.M. Evaluation of Gene Expression Related to Immunity, Apoptosis, and Gut Integrity That Underlies Artemisia’s Therapeutic Effects in Necrotic Enteritis-Challenged Broilers. 3Biotech 2023, 13, 181. [Google Scholar] [CrossRef] [PubMed]
- El-Demerdash, A.S.; Alfaraj, R.; Fared, F.; Saleh, A.; Dawwam, G.E. Essential Oils as Capsule Disruptors: Enhancing Antibiotic Efficacy against Multidrug-Resistant Klebsiella pneumoniae. Front. Microbiol. 2024, 15, 1467460. [Google Scholar] [CrossRef] [PubMed]
- Reyes-Jurado, F.; Franco-Vega, A.; Ramírez-Corona, N.; Palou, E.; López-Malo, A. Essential Oils: Antimicrobial Activities, Extraction Methods, and Their Modeling. Food Eng. Rev. 2015, 7, 275–297. [Google Scholar] [CrossRef]
- Post, A.S.; Diallo, S.N.; Guiraud, I.; Lompo, P.; Tahita, M.C.; Maltha, J.; Van Puyvelde, S.; Mattheus, W.; Ley, B.; Thriemer, K.; et al. Supporting Evidence for a Human Reservoir of Invasive Non-Typhoidal Salmonella from Household Samples in Burkina Faso. PLoS Negl. Trop. Dis. 2019, 13, e0007782. [Google Scholar] [CrossRef]
- Zakaria, Z.; Hassan, L.; Ahmad, N.; Husin, S.A.; Ali, R.M.; Sharif, Z.; Sohaimi, N.M.; Garba, B. Discerning the Antimicrobial Resistance, Virulence, and Phylogenetic Relatedness of Salmonella Isolates across the Human, Poultry, and Food Materials Sources in Malaysia. Front. Microbiol. 2021, 12, 652642. [Google Scholar] [CrossRef]
- de Melo, A.N.F.; Monte, D.F.M.; de Souza Pedrosa, G.T.; Balkey, M.; Jin, Q.; Brown, E.; Allard, M.; de Oliveira, T.C.R.M.; Cao, G.; Magnani, M.; et al. Genomic Investigation of Antimicrobial Resistance Determinants and Virulence Factors in Salmonella enterica Serovars Isolated from Contaminated Food and Human Stool Samples in Brazil. Int. J. Food Microbiol. 2021, 343, 109091. [Google Scholar] [CrossRef]
- Wang, Z.; Zhang, J.; Liu, S.; Zhang, Y.; Chen, C.; Xu, M.; Zhu, Y.; Chen, B.; Zhou, W.; Cui, S.; et al. Prevalence, Antimicrobial Resistance, and Genotype Diversity of Salmonella Isolates Recovered from Retail Meat in Hebei Province, China. Int. J. Food Microbiol. 2022, 364, 109515. [Google Scholar] [CrossRef]
- Yusof, N.Y.; Norazzman, N.I.I.; Zaidi, N.F.M.; Azlan, M.M.; Ghazali, B.; Najib, M.A.; Malik, A.H.A.; Halim, M.A.H.A.; Sanusi, M.N.S.M.; Zainal, A.A.; et al. Prevalence of Antimicrobial Resistance Genes in Salmonella Typhi: A Systematic Review and Meta-Analysis. Trop. Med. Infect. Dis. 2022, 7, 271. [Google Scholar] [CrossRef]
- Huang, L.; Wu, C.; Gao, H.; Xu, C.; Dai, M.; Huang, L.; Hao, H.; Wang, X.; Cheng, G. Bacterial Multidrug Efflux Pumps at the Frontline of Antimicrobial Resistance: An Overview. Antibiotics 2022, 11, 520. [Google Scholar] [CrossRef]
- Zgurskaya, H.I.; Nikaido, H. Bypassing the Periplasm: Reconstitution of the AcrAB Multidrug Efflux Pump of Escherichia coli. Proc. Natl. Acad. Sci. USA 1999, 96, 7190–7195. [Google Scholar] [CrossRef] [PubMed]
- Kumawat, M.; Nabi, B.; Daswani, M.; Viquar, I.; Pal, N.; Sharma, P.; Tiwari, S.; Sarma, D.K.; Shubham, S.; Kumar, M. Role of Bacterial Efflux Pump Proteins in Antibiotic Resistance across Microbial Species. Microb. Pathog. 2023, 181, 106182. [Google Scholar] [CrossRef] [PubMed]
- Yamasaki, S.; Zwama, M.; Yoneda, T.; Hayashi-Nishino, M.; Nishino, K. Drug Resistance and Physiological Roles of RND Multidrug Efflux Pumps in Salmonella enterica, Escherichia coli and Pseudomonas aeruginosa. Microbiology 2023, 169, 1322. [Google Scholar] [CrossRef]
- Chu, C.; Su, L.-H.; Chu, C.-H.; Baucheron, S.; Cloeckaert, A.; Chiu, C.-H. Resistance to Fluoroquinolones Linked to GyrA and ParC Mutations and Overexpression of AcrAB Efflux Pump in Salmonella enterica Serotype Choleraesuis. Microb. Drug Resist. 2005, 11, 248–253. [Google Scholar] [CrossRef]
- Duval, V.; Lister, I.M. MarA, SoxS and Rob of Escherichia coli—Global Regulators of Multidrug Resistance, Virulence and Stress Response. Int. J. Biotechnol. Wellness Ind. 2013, 2, 101. [Google Scholar] [CrossRef] [PubMed]
- Grkovic, S.; Brown, M.H.; Skurray, R.A. Transcriptional Regulation of Multidrug Efflux Pumps in Bacteria. In Seminars in Cell & Developmental Biology; Academic Press: Cambridge, MA, USA, 2001; Volume 12, pp. 225–237. [Google Scholar]
- Nikaido, H. Multidrug Efflux Pumps of Gram-Negative Bacteria. J. Bacteriol. 1996, 178, 5853–5859. [Google Scholar] [CrossRef] [PubMed]
- Purkait, S.; Bhattacharya, A.; Bag, A.; Chattopadhyay, R.R. TLC Bioautography–Guided Isolation of Essential Oil Components of Cinnamon and Clove and Assessment of Their Antimicrobial and Antioxidant Potential in Combination. Environ. Sci. Pollut. Res. 2021, 28, 1131–1140. [Google Scholar] [CrossRef] [PubMed]
- El-baky, H.H.A.; Farag, R.S.; Saleh, M.A. Characterization of Antioxidant and Antimicrobial Compounds of Cinnamon and Ginger Essential Oils. Afr. J. Biochem. Res. 2010, 4, 167–174. [Google Scholar]
- Ghasemi, G.; Fattahi, M.; Alirezalu, A.; Ghosta, Y. Antioxidant and Antifungal Activities of a New Chemovar of Cumin (Cuminum cyminum L.). Food Sci. Biotechnol. 2019, 28, 669–677. [Google Scholar] [CrossRef] [PubMed]
- Saha, S.; Walia, S.; Kundu, A.; Sharma, K.; Singh, J.; Tripathi, B.; Raina, A. Compositional and Functional Difference in Cumin (Cuminum cyminum) Essential Oil Extracted by Hydrodistillation and SCFE. Cogent Food Agric. 2016, 2, 1143166. [Google Scholar] [CrossRef]
- ISO 6579-1:2017; Amd 1: 2020—Microbiology of the Food Chain—Horizontal Method for the Detection, Enumeration and Serotyping of Salmonella—Part 1: Detection of Salmonella spp. ISO: Geneva, Switzerland, 2017.
- Nagshetty, K.; Channappa, S.T.; Gaddad, S.M. Antimicrobial Susceptibility of Salmonella Typhi in India. J. Infect. Dev. Ctries. 2010, 4, 70–73. [Google Scholar] [CrossRef]
- Bauer, A.W.; Kirby, W.M.; Sherris, J.C.; Turck, M. Antibiotic Susceptibility Testing by a Standardized Single Disk Method. Am. J. Clin. Pathol. 1966, 45, 493. [Google Scholar] [CrossRef] [PubMed]
- CLSI CLSI M100-ED29; 2021 Performance Standards for Antimicrobial Susceptibility Testing, 30th Edition. Clinical and Laboratory Standards Institute: Malvern, PA, USA, 2020.
- Tambekar, D.H.; Dhanorkar, D.V.; Gulhane, S.R.; Khandelwal, V.K.; Dudhane, M.N. Antibacterial Susceptibility of Some Urinary Tract Pathogens to Commonly Used Antibiotics. Afr. J. Biotechnol. 2006, 5, 1562–1565. [Google Scholar]
- Magiorakos, A.-P.; Srinivasan, A.; Carey, R.B.; Carmeli, Y.; Falagas, M.E.; Giske, C.G.; Harbarth, S.; Hindler, J.F.; Kahlmeter, G.; Olsson-Liljequist, B.; et al. Multidrug-Resistant, Extensively Drug-Resistant and Pandrug-Resistant Bacteria: An International Expert Proposal for Interim Standard Definitions for Acquired Resistance. Clin. Microbiol. Infect. 2012, 18, 268–281. [Google Scholar] [CrossRef] [PubMed]
- Durairaj, S.; Srinivasan, S.; Lakshmanaperumalsamy, P. In Vitro Antibacterial Activity and Stability of Garlic Extract at Different PH and Temperature. Electr. J. Biol. 2009, 5, 5–10. [Google Scholar]
- Khosravi, A.; Malekan, M.A. Determination of Alcoholic and Aqueous Extract of Lavender Astvkas on Staphylococcus Aureus and Other Gram-Negative Bacteria. The. J. Qazvin Univ. of Med. Sci. 2004, 29, 3–9. [Google Scholar]
- Paixão, L.; Rodrigues, L.; Couto, I.; Martins, M.; Fernandes, P.; de Carvalho, C.C.C.R.; Monteiro, G.A.; Sansonetty, F.; Amaral, L.; Viveiros, M. Fluorometric Determination of Ethidium Bromide Efflux Kinetics in Escherichia coli. J. Biol. Eng. 2009, 3, 18. [Google Scholar] [CrossRef]
- Heraiz, A.A.; Abdelwahab, M.F.; Saleh, A.M.; Ragab, E.A.; Eldondaity, S.A. Antidiabetic Activity of Ipomoea cairica (L.) Sweet Leaves: In-Vitro and in-Silico Antidiabetic Potential of Isolated Flavonoid Glycosides and Sulphated Flavonoids. Nat. Prod. Res. 2023, 37, 4251–4255. [Google Scholar] [CrossRef]
- Saleh, A.M.; Mahdy, H.A.; El-Zahabi, M.A.; Mehany, A.B.M.; Khalifa, M.M.; Eissa, I.H. Design, Synthesis, in Silico Studies, and Biological Evaluation of Novel Pyrimidine-5-Carbonitrile Derivatives as Potential Anti-Proliferative Agents, VEGFR-2 Inhibitors and Apoptotic Inducers. RSC Adv. 2023, 13, 22122–22147. [Google Scholar] [CrossRef]
- El Azab, E.F.; Alakilli, S.Y.M.; Saleh, A.M.; Alhassan, H.H.; Alanazi, H.H.; Ghanem, H.B.; Yousif, S.O.; Alrub, H.A.; Anber, N.; Elfaki, E.M.; et al. Actinidia Deliciosa Extract as a Promising Supplemental Agent for Hepatic and Renal Complication-Associated Type 2 Diabetes (In Vivo and In Silico-Based Studies). Int. J. Mol. Sci. 2023, 24, 13759. [Google Scholar] [CrossRef]
- Bowers, K.J.; Chow, E.; Xu, H.; Dror, R.O.; Eastwood, M.P.; Gregersen, B.A.; Klepeis, J.L.; Kolossvary, I.; Moraes, M.A.; Sacerdoti, F.D.; et al. Scalable Algorithms for Molecular Dynamics Simulations on Commodity Clusters. In Proceedings of the 2006 ACM/IEEE Conference on Supercomputing, SC’06, Tampa, FL, USA, 11–17 November 2006. [Google Scholar]
- Ivanova, L.; Tammiku-Taul, J.; García-Sosa, A.T.; Sidorova, Y.; Saarma, M.; Karelson, M. Molecular Dynamics Simulations of the Interactions between Glial Cell Line-Derived Neurotrophic Factor Family Receptor GFR$α$1 and Small-Molecule Ligands. ACS Omega 2018, 3, 11407–11414. [Google Scholar] [CrossRef]
- Case, D.A.; Darden, T.A.; Cheatham, T.E.; Simmerling, C.L.; Wang, J.; Duke, R.E.; Luo, R.; Crowley, M.; Walker, R.C.; Zhang, W.; et al. Amber 10. 2008. Available online: https://infoscience.epfl.ch/server/api/core/bitstreams/c99c47ba-3a78-409b-b4c3-38fc1e989e7c/content (accessed on 26 November 2024).
- Yuan, J.S.; Reed, A.; Chen, F.; Stewart, C.N. Statistical Analysis of Real-Time PCR Data. BMC Bioinform. 2006, 7, 85. [Google Scholar] [CrossRef] [PubMed]
- Eaves, D.J.; Ricci, V.; Piddock, L.J. V Expression of AcrB, AcrF, AcrD, MarA, and SoxS in Salmonella enterica Serovar Typhimurium: Role in Multiple Antibiotic Resistance. Antimicrob. Agents Chemother. 2004, 48, 1145–1150. [Google Scholar] [CrossRef] [PubMed]
- Blair, J.M.A.; Smith, H.E.; Ricci, V.; Lawler, A.J.; Thompson, L.J.; Piddock, L.J. V Expression of Homologous RND Efflux Pump Genes Is Dependent upon AcrB Expression: Implications for Efflux and Virulence Inhibitor Design. J. Antimicrob. Chemother. 2015, 70, 424–431. [Google Scholar] [CrossRef]
- Ferrari, R.G.; Galiana, A.; Cremades, R.; Rodríiguez, J.C.; Magnani, M.; Tognim, M.C.B.; Oliveira, T.C.R.M.; Royo, G. Expression of the MarA, SoxS, AcrB and RamA Genes Related to the AcrAB/TolC Efflux Pump in Salmonella enterica Strains with and without Quinolone Resistance-Determining Regions GyrA Gene Mutations. Braz. J. Infect. Dis. 2013, 17, 125–130. [Google Scholar] [CrossRef]
- Baugh, S. The Role of Multidrug Efflux Pumps in Biofilm Formation of Salmonella enterica Serovar Typhimurium. Doctoral Dissertation, University of Birmingham, Birmingham, UK, 2014. [Google Scholar]
- Chen, S.; Cui, S.; McDermott, P.F.; Zhao, S.; White, D.G.; Paulsen, I.; Meng, J. Contribution of Target Gene Mutations and Efflux to Decreased Susceptibility of Salmonella enterica Serovar Typhimurium to Fluoroquinolones and Other Antimicrobials. Antimicrob. Agents Chemother. 2007, 51, 535–542. [Google Scholar] [CrossRef]






















| Isolate No. | Bacterial Serotype | Source | No. of Resistant Antibiotics | No. of Antimicrobial Classes | Resistance Profile | MAR Index | Genotypic Characteristic of Efflux |
|---|---|---|---|---|---|---|---|
| 1 | S. Montevideo | Stool | 2 | 2 | AX, CAZ | 0.18 | acrD, robA |
| 2 | S. Montevideo | Blood | 4 | 3 | AX, A/S, GEN, CAZ | 0.36 | acrB, mdtB, acrF, acrD, robA |
| 3 | S. Typhimurium | Blood | 4 | 3 | AX, A/S, GEN, CAZ | 0.36 | acrB, mdtB, acrF, acrD, robA |
| 4 | S. Typhimurium | Stool | 2 | 2 | AX, CAZ | 0.18 | soxS, robA |
| 5 | S. Typhimurium | Blood | 5 | 4 | AX, C, A/S, GEN, CAZ | 0.45 | acrB, mdtB, acrF, acrD, robA, soxS, marA, mdsB |
| 6 | S. Anatum | Stool | 5 | 4 | AX, A/S, GEN, OF, CAZ | 0.45 | acrB, mdtB, acrF, acrD, soxS, marA, mdsB, robA |
| 7 | S. Anatum | Stool | 5 | 4 | AX, C, A/S, GEN, CAZ | 0.45 | acrB, mdtB, acrF, acrD, soxS, marA, mdsB, robA |
| 8 | S. Anatum | Stool | 5 | 4 | AX, C, A/S, GEN, CAZ | 0.45 | acrB, mdtB, acrF, acrD, soxS, marA, mdsB, robA |
| 9 | S. Anatum | Blood | 3 | 3 | A/S, GEN, CAZ | 0.27 | acrF, acrD, robA |
| 10 | S. Typhimurium | Stool | 3 | 3 | A/S, GEN, CAZ | 0.27 | marA, mdsB, robA |
| 11 | S. Montevideo | Stool | 4 | 4 | C, A/S, GEN, CAZ | 0.36 | robA, acrB, mdtB, acrF, acrD |
| 12 | S. Typhimurium | Stool | 3 | 3 | A/S, GEN, CAZ | 0.27 | mdtB, mdsB, robA |
| 13 | S. Enteritidis | Minced meat | 2 | 2 | AX, CAZ | 0.18 | Undetermined |
| 14 | S. Typhimurium | Sausage | 4 | 3 | AX, A/S, GEN, CAZ | 0.36 | robA, acrB, mdtB, acrF, acrD |
| 15 | S. Enteritidis | Luncheon | 4 | 3 | AX, A/S, GEN, CAZ | 0.36 | acrB, mdtB, acrF, acrD, soxS, marA, mdsB, robA |
| 16 | S. Typhimurium | Luncheon | 1 | 1 | CAZ | 0.09 | Undetermined |
| 17 | S. Enteritidis | Kofta | 6 | 5 | AX, C, A/S, GEN, CAZ, AK | 0.55 | acrB, mdtB, acrF, acrD, soxS, marA, mdsB, robA |
| 18 | S. Typhimurium | Kofta | 6 | 4 | AX, A/S, GEN, CAZ, AK, OF | 0.55 | acrB, mdtB, acrF, acrD, soxS, marA, mdsB, robA |
| 19 | S. Typhimurium | Minced meat | 6 | 5 | C, A/S, GEN, CAZ, AK, LE | 0.55 | acrB, mdtB, acrF, acrD, soxS, marA, mdsB, robA |
| 20 | S. Typhimurium | Sausage | 6 | 4 | AX, C, A/S, GEN, CAZ, AK | 0.55 | acrB, mdtB, acrF, acrD, soxS, marA, robA |
| 21 | S. Enteritidis | Minced meat | 4 | 3 | A/S, GEN, CAZ, AK | 0.36 | robA, AcrB, mdtB, acrF, acrD |
| 22 | S. Enteritidis | Minced meat | 3 | 3 | A/S, GEN, CAZ | 0.27 | acrD, soxS, robA |
| 23 | S. Typhimurium | Minced meat | 4 | 4 | C, A/S, GEN, CAZ | 0.36 | acrB, mdtB, acrF, acrD, soxS, marA, mdsB, robA |
| 24 | S. Virchow | Minced meat | 3 | 3 | A/S, GEN, CAZ | 0.27 | acrD, soxS, robA |
| 25 | S. Virchow | Minced meat | 8 | 5 | C, CIP, A/S, GEN, AK, LE, OF, CAZ | 0.73 | acrB, mdtB, acrF, acrD, soxS, marA, mdsB, robA |
| 26 | S. Typhimurium | Minced meat | 5 | 4 | C, CIP, AK, LE, CAZ | 0.45 | acrB, mdtB, acrF, acrD, soxS, marA, mdsB, robA |
| 27 | S. Virchow | Minced meat | 7 | 4 | CIP, A/S, GEN, AK, LE, OF, CAZ | 0.64 | acrB, mdtB, acrF, acrD, soxS, marA, mdsB, robA |
| 28 | S. Typhimurium | Minced meat | 6 | 5 | AX, C, A/S, GEN, OF, CAZ | 0.55 | acrB, mdtB, acrF, acrD, soxS, marA, mdsB, robA |
| 29 | S. Typhimurium | Minced meat | 6 | 5 | AX, C, A/S, GEN, LE, CAZ | 0.55 | acrB, mdtB, acrF, acrD, soxS, marA, mdsB, robA |
| Essential Oils | PC1 | PC2 | PC3 | PC4 |
|---|---|---|---|---|
| Sage oil | 0.434 | −0.282 | 0.749 | 0.281 |
| Nigella oil | −0.375 | 0.629 | 0.454 | −0.210 |
| Ginger oil | −0.592 | 0.562 | 0.157 | 0.068 |
| Cumin oil | −0.787 | −0.384 | 0.220 | −0.279 |
| Cinnamon oil | −0.742 | −0.458 | −0.031 | −0.277 |
| Sesame oil | 0.513 | 0.472 | −0.069 | −0.477 |
| Thyme oil | −0.631 | 0.304 | −0.196 | 0.541 |
| Eigenvalue | 2.510 | 1.465 | 0.885 | 0.803 |
| Proportion of variance | 35.85% | 20.93% | 12.64% | 11.47% |
| Cumulative proportion of variance | 35.85% | 56.78% | 69.42% | 80.89% |
| Tested Compounds | RMSD Value (Å) | Docking (Affinity) Score (kcal/mol) |
|---|---|---|
| Compound 12 | 1.42 | −6.90 |
| Compound 21 | 1.08 | −6.69 |
| Compound 22 | 1.15 | −6.73 |
| Compound 23 | 0.87 | −6.60 |
| Compound 24 | 0.95 | −6.98 |
| Compound 31 | 1.27 | −6.56 |
| Compound 37 | 1.51 | −5.87 |
| Reference (A1AN8) | 0.89 | −6.88 |
| Tested Compounds | RMFSD Value (Å) | Docking (Affinity) Score (kcal/mol) |
|---|---|---|
| Compound 4 | 1.48 | −5.56 |
| Compound 12 | 0.86 | −5.36 |
| Compound 13 | 0.95 | −6.23 |
| Compound 16 | 0.81 | −5.61 |
| Compound 18 | 1.04 | −7.29 |
| Compound 21 | 0.93 | −6.21 |
| Compound 22 | 1.33 | −5.41 |
| Compound 23 | 1.35 | −5.23 |
| Compound 24 | 1.21 | −6.27 |
| Compound 25 | 1.36 | −7.64 |
| Compound 29 | 1.73 | −5.87 |
| Genes | Primers (5′-3′) | Annealing (T °C) | Reference |
|---|---|---|---|
| 16S rRNA | F: CCTCAGCACATTGACGTTAC R: CCTCAGCACATTGACGTTAC | 60 | [49] |
| acrB | F: GACGTCCTATTTTCG R: CGAAGACGCCTCTGT | 55 | [49] |
| acrD | F: CTGCGCTGGATTCTGATT R: ATAATGGCGAACGAGGAG | 55 | [49] |
| acrF | F: TCGTGTTGCTAGGCACTT R: GGATCTGCGACATGGATT | 55 | [49] |
| mdtB | F: TATCGGCTATCGCTTCCT R: TAGAGCGTAACAACCTGAAT | 55 | [50] |
| mdsB | F: CGATATGTTGATGGTGGTT R: GATGGCGAAGTTAGACAG | 55 | [50] |
| marA | F: GACCCGGACGTTCAAAAACTAT | 55 | [51] |
| R: TCGCCATGCATATTGGTGAT | |||
| soxS | F: CGGAATACACGCGAGAAGGT | 55 | [51] |
| R: GAGCGCCCGATTTTTGATATC | |||
| robA | F: CGTTTCGATTCGCAGCAAAC R: GAACTGAACGCGCATCTGAT | 60 | This study |
Disclaimer/Publisher’s Note: The statements, opinions and data contained in all publications are solely those of the individual author(s) and contributor(s) and not of MDPI and/or the editor(s). MDPI and/or the editor(s) disclaim responsibility for any injury to people or property resulting from any ideas, methods, instructions or products referred to in the content. |
© 2024 by the authors. Licensee MDPI, Basel, Switzerland. This article is an open access article distributed under the terms and conditions of the Creative Commons Attribution (CC BY) license (https://creativecommons.org/licenses/by/4.0/).
Share and Cite
El-Demerdash, A.S.; Kamel, S.A.; Elariny, E.Y.T.; Henidi, H.; Mahran, Y.; Alahdal, H.; Saleh, A.M.; Ibrahim, R.A. Natural Inhibitors of Salmonella MDR Efflux Pumps AcrAB and AcrD: An Integrated In Silico, Molecular, and In Vitro Investigation. Int. J. Mol. Sci. 2024, 25, 12949. https://doi.org/10.3390/ijms252312949
El-Demerdash AS, Kamel SA, Elariny EYT, Henidi H, Mahran Y, Alahdal H, Saleh AM, Ibrahim RA. Natural Inhibitors of Salmonella MDR Efflux Pumps AcrAB and AcrD: An Integrated In Silico, Molecular, and In Vitro Investigation. International Journal of Molecular Sciences. 2024; 25(23):12949. https://doi.org/10.3390/ijms252312949
Chicago/Turabian StyleEl-Demerdash, Azza S., Shimaa A. Kamel, Eman Y. T. Elariny, Hanan Henidi, Yasmin Mahran, Hadil Alahdal, Abdulrahman M. Saleh, and Rehab A. Ibrahim. 2024. "Natural Inhibitors of Salmonella MDR Efflux Pumps AcrAB and AcrD: An Integrated In Silico, Molecular, and In Vitro Investigation" International Journal of Molecular Sciences 25, no. 23: 12949. https://doi.org/10.3390/ijms252312949
APA StyleEl-Demerdash, A. S., Kamel, S. A., Elariny, E. Y. T., Henidi, H., Mahran, Y., Alahdal, H., Saleh, A. M., & Ibrahim, R. A. (2024). Natural Inhibitors of Salmonella MDR Efflux Pumps AcrAB and AcrD: An Integrated In Silico, Molecular, and In Vitro Investigation. International Journal of Molecular Sciences, 25(23), 12949. https://doi.org/10.3390/ijms252312949

