Gene Co-Expression Network Analysis Associated with Endometrial Cancer Tumorigenesis and Survival Outcomes
Abstract
1. Introduction
2. Results
2.1. WGCNA
2.2. STRING
2.3. Differential Gene Expression
2.4. Gene Ontology
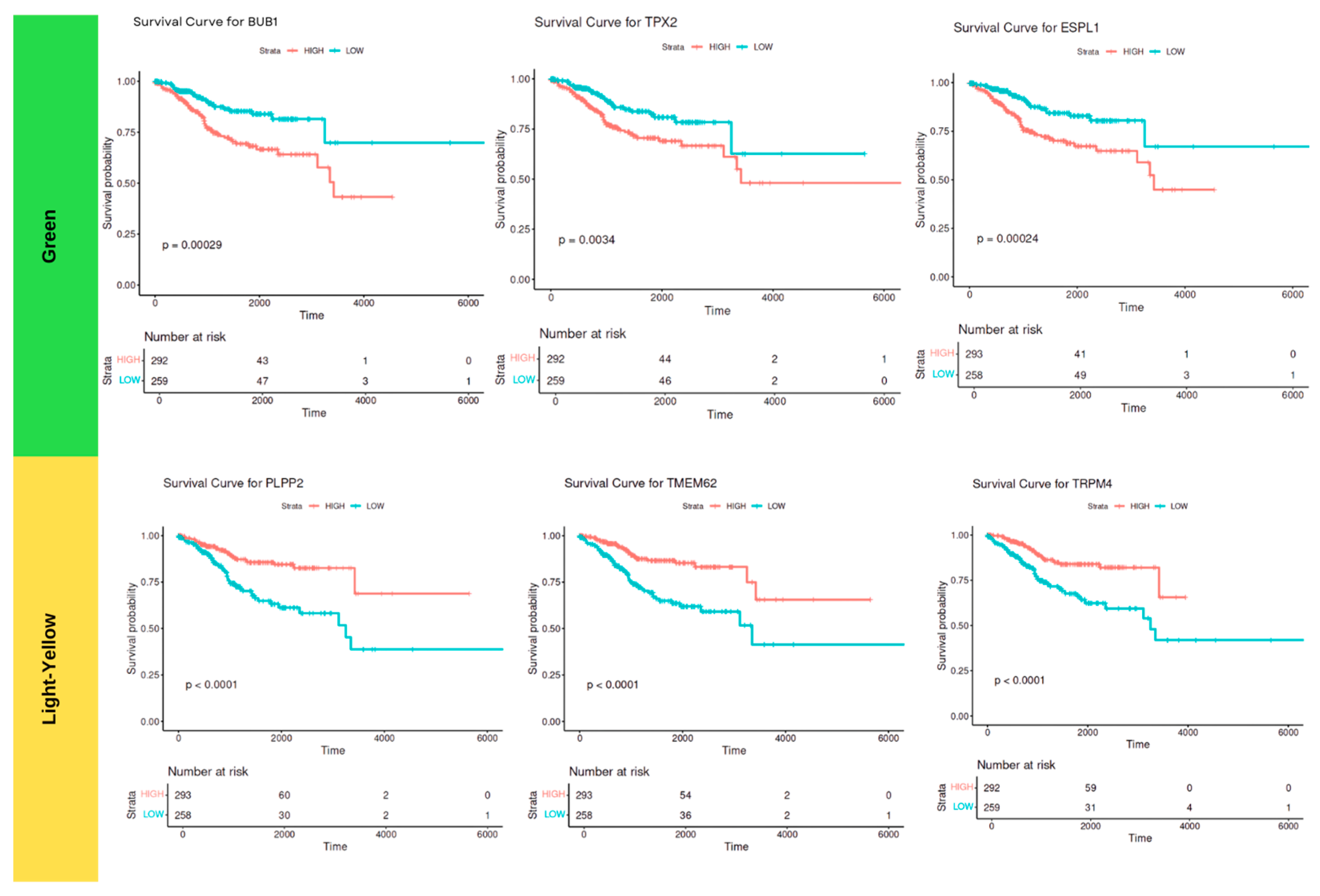
2.5. Survival Analysis
3. Discussion
4. Materials and Methods
4.1. Data Acquisition and Preprocessing
4.2. Preprocessing and Normalization
4.3. Gene Clustering and Network Analysis
Clinical Trait Binarization
4.4. STRING Network Analysis
4.5. Differential Gene Expression Analysis
4.6. Gene Ontology Analysis
4.7. Survival Analysis
4.8. ROC Analysis
4.9. Validation Analysis
5. Conclusions
5.1. Limitations
5.2. Future Directions
Supplementary Materials
Author Contributions
Funding
Institutional Review Board Statement
Informed Consent Statement
Data Availability Statement
Acknowledgments
Conflicts of Interest
References
- Siegel, R.L.; Miller, K.D.; Wagle, N.S.; Jemal, A. Cancer statistics, 2023. CA Cancer J. Clin. 2023, 73, 17–48. [Google Scholar] [CrossRef]
- National Cancer Institute. Surveillance, Epidemiology, and End Results (SEER) Program; Cancer Statistics, SEER Data & Software, Registry Operations; National Cancer Institute: Bethesda, MD, USA, 2018.
- Sung, H.; Siegel, R.L.; Rosenberg, P.S.; Jemal, A. Emerging cancer trends among young adults in the USA: Analysis of a population-based cancer registry. Lancet Public Health 2019, 4, e137–e147. [Google Scholar] [CrossRef]
- Lang, S.; Liao, C.-I.; Somasegar, S.; Johnson, C.; Darcy, K.; Tian, C.; Kapp, D.; Chan, J.K. Trends in Uterine Cancer Mortality in the United States: A 50-Year Population-Based Analysis. Obstet Gynecol. 2023, 142, 978–986. [Google Scholar]
- Amant, F.; Moerman, P.; Neven, P.; Timmerman, D.; Van Limbergen, E.; Vergote, I. Endometrial cancer. Lancet 2005, 366, 491–505. [Google Scholar] [CrossRef]
- Cancer Genome Atlas Research Network; Kandoth, C.; Schultz, N.; Cherniack, A.D.; Akbani, R.; Liu, Y.; Shen, H.; Robertson, A.G.; Pashtan, I.; Shen, R.; et al. Integrated genomic characterization of endometrial carcinoma. Nature 2013, 497, 67–73. [Google Scholar]
- Boyiadzis, M.M.; Kirkwood, J.M.; Marshall, J.L.; Pritchard, C.C.; Azad, N.S.; Gulley, J.L. Significance and implications of FDA approval of pembrolizumab for biomarker-defined disease. J. Immunother. Cancer 2018, 6, 35. [Google Scholar] [CrossRef]
- O’Malley, D.M.; Bariani, G.M.; Cassier, P.A.; Marabelle, A.; Hansen, A.R.; Acosta, A.D.J.; Miller, W.H.; Safra, T.; Italiano, A.; Mileshkin, L.; et al. Pembrolizumab in Patients with Microsatellite Instability—High Advanced Endometrial Cancer: Results From the KEYNOTE-158 Study. J. Clin. Oncol. 2022, 40, 752–761. [Google Scholar] [CrossRef]
- Mirza, M.R.; Chase, D.M.; Slomovitz, B.M.; Christensen, R.D.; Novák, Z.; Black, D.; Gilbert, L.; Sharma, S.; Valabrega, G.; Landrum, L.M.; et al. Dostarlimab for Primary Advanced or Recurrent Endometrial Cancer. N. Engl. J. Med. 2023, 388, 2145–2158. [Google Scholar] [CrossRef]
- Eskander, R.N.; Sill, M.W.; Beffa, L.; Moore, R.G.; Hope, J.M.; Musa, F.B.; Mannel, R.; Shahin, M.S.; Cantuaria, G.H.; Girda, E.; et al. Pembrolizumab plus Chemotherapy in Advanced Endometrial Cancer. N. Engl. J. Med. 2023, 388, 2159–2170. [Google Scholar] [CrossRef] [PubMed]
- Fader, A.N.; Roque, D.M.; Siegel, E.; Buza, N.; Hui, P.; Abdelghany, O.; Chambers, S.K.; Secord, A.A.; Havrilesky, L.; O’Malley, D.M.; et al. Randomized Phase II Trial of Carboplatin-Paclitaxel Versus Carboplatin-Paclitaxel-Trastuzumab in Uterine Serous Carcinomas That Overexpress Human Epidermal Growth Factor Receptor 2/neu. J. Clin. Oncol. 2018, 36, 2044–2051. [Google Scholar] [CrossRef] [PubMed]
- Hong, L.; Chen, M.; Huang, M.; Chen, W.; Abudukeremu, X.; She, F.; Chen, Y. FOXA2 suppresses gallbladder carcinoma cell migration, invasion, and epithelial-mesenchymal transition by targeting SERPINB5. Environ. Toxicol. 2024, 39, 708–722. [Google Scholar] [CrossRef]
- Berntsson, J.; Lundgren, S.; Nodin, B.; Uhlén, M.; Gaber, A.; Jirström, K. Expression and prognostic significance of the polymeric immunoglobulin receptor in epithelial ovarian cancer. J. Ovarian Res. 2014, 7, 26. [Google Scholar] [CrossRef]
- Bao, K.-C.; Wang, F.-F. The role of SPDEF in cancer: Promoter or suppressor. Neoplasma 2022, 69, 1270–1276. [Google Scholar] [CrossRef]
- Yang, M.; Mao, X.; Li, L.; Yang, J.; Xing, H.; Jiang, C. High TPX2 expression results in poor prognosis, and Sp1 mediates the coupling of the CX3CR1/CXCL10 chemokine pathway to the PI3K/Akt pathway through targeted inhibition of TPX2 in endometrial cancer. Cancer Med. 2024, 13, e6958. [Google Scholar] [CrossRef]
- Wang, J.; Zheng, H.; He, H.; Meng, S.; Han, Y.; Su, Z.; Yan, H.; Zhang, Y. TPX2 Serves as a Cancer Susceptibility Gene and Is Closely Associated with the Poor Prognosis of Endometrial Cancer. Genet. Res. 2022, 2022, 5401106. [Google Scholar] [CrossRef]
- Hao, Q.; Wu, H.; Liu, E.; Wang, L. BUB1, BUB1B, CCNA2, and CDCA8, along with miR-524-5p, as clinically relevant biomarkers for the diagnosis and treatment of endometrial carcinoma. BMC Cancer 2023, 23, 995. [Google Scholar] [CrossRef]
- Cicirò, Y.; Ragusa, D.; Sala, A. Expression of the checkpoint kinase BUB1 is a predictor of response to cancer therapies. Sci. Rep. 2024, 14, 4461. [Google Scholar] [CrossRef]
- Zhang, H.; Li, Y.; Lu, H. Correlation of BUB1 and BUB1B with the development and prognosis of endometrial cancer. Sci. Rep. 2024, 14, 17084. [Google Scholar] [CrossRef]
- Yang, Y.; Sheng, Y.; Zheng, J.; Ma, A.; Chen, S.; Lin, J.; Yang, X.; Liang, Y.; Zhang, Y.; Zheng, X. Upregulation of ESPL1 is associated with poor prognostic outcomes in endometrial cancer. Biomarkers 2024, 29, 185–193. [Google Scholar] [CrossRef] [PubMed]
- Yang, Q.; Yu, B.; Sun, J. TTK, CDC25A, and ESPL1 as Prognostic Biomarkers for Endometrial Cancer. BioMed Res. Int. 2020, 2020, 4625123. [Google Scholar] [CrossRef] [PubMed]
- Huang, S.; Pang, L.; Wei, C. Identification of a Four-Gene Signature with Prognostic Significance in Endometrial Cancer Using Weighted-Gene Correlation Network Analysis. Front. Genet. 2021, 12, 678780. [Google Scholar] [CrossRef] [PubMed]
- Boroń, D.; Zmarzły, N.; Wierzbik-Strońska, M.; Rosińczuk, J.; Mieszczański, P.; Grabarek, B.O. Recent Multiomics Approaches in Endometrial Cancer. Int. J. Mol. Sci. 2022, 23, 1237. [Google Scholar] [CrossRef] [PubMed]
- Chou, W.-C.; Cheng, A.-L.; Brotto, M.; Chuang, C.-Y. Visual gene-network analysis reveals the cancer gene co-expression in human endometrial cancer. BMC Genom. 2014, 15, 300. [Google Scholar] [CrossRef] [PubMed]
- Zhu, X.-L.; Ai, Z.-H.; Wang, J.; Xu, Y.-L.; Teng, Y.-C. Weighted gene co-expression network analysis in identification of endometrial cancer prognosis markers. Asian Pac. J. Cancer Prev. 2012, 13, 4607–4611. [Google Scholar] [CrossRef] [PubMed]
- Ding, X.; Zhang, Y.; Qin, J.; Zhang, J. Clinical Value Evaluation of SKA3 in Endometrial Cancer and Its Promotion of Proliferation and Migration of Endometrial Cancer Cells. Clin. Exp. Obstet. Gynecol. 2024, 51, 222. [Google Scholar] [CrossRef]
- Huo, X.; Sun, H.; Liu, Q.; Ma, X.; Peng, P.; Yu, M.; Zhang, Y.; Cao, D.; Shen, K. Clinical and Expression Significance of AKT1 by Co-expression Network Analysis in Endometrial Cancer. Front. Oncol. 2019, 9, 1147. [Google Scholar] [CrossRef]
- Yang, L.; Cui, Y.; Sun, X.; Wang, Y. Overexpression of TICRR and PPIF confer poor prognosis in endometrial cancer identified by gene co-expression network analysis. Aging 2021, 13, 4564–4589. [Google Scholar] [CrossRef]
- Wang, F.; Wang, B.; Long, J.; Wang, F.; Wu, P. Identification of candidate target genes for endometrial cancer, such as ANO1, using weighted gene co-expression network analysis. Exp. Ther. Med. 2019, 17, 298–306. [Google Scholar] [CrossRef]
- Pagano, M.; Pepperkok, R.; Verde, F.; Ansorge, W.; Draetta, G. Cyclin A is required at two points in the human cell cycle. EMBO J. 1992, 11, 961–971. [Google Scholar] [CrossRef]
- Bendris, N.; Lemmers, B.; Blanchard, J.-M.; Arsic, N. Cyclin A2 mutagenesis analysis: A new insight into CDK activation and cellular localization requirements. PLoS ONE 2011, 6, e22879. [Google Scholar] [CrossRef]
- Bukholm, I.R.; Bukholm, G.; Nesland, J.M. Over-expression of cyclin a is highly associated with early relapse and reduced survival in patients with primary breast carcinomas. Int. J. Cancer 2001, 93, 283–287. [Google Scholar] [CrossRef] [PubMed]
- Mughal, M.J.; Chan, K.I.; Mahadevappa, R.; Wong, S.W.; Wai, K.C.; Kwok, H.F. Over-Activation of Minichromosome Maintenance Protein 10 Promotes Genomic Instability in Early Stages of Breast Cancer. Int. J. Biol. Sci. 2022, 18, 3827–3844. [Google Scholar] [CrossRef] [PubMed]
- Langston, L.D.; Mayle, R.; Schauer, G.D.; Yurieva, O.; Zhang, D.; Yao, N.Y.; E Georgescu, R.; E O’Donnell, M.; States, U. Mcm10 promotes rapid isomerization of CMG-DNA for replisome bypass of lagging strand DNA blocks. eLife 2017, 6, e29118. [Google Scholar] [CrossRef]
- Du, W.; Stauffer, M.E.; Eichman, B.F. Structural biology of replication initiation factor Mcm10. Subcell. Biochem. 2012, 62, 197–216. [Google Scholar]
- Merchant, A.M.; Kawasaki, Y.; Chen, Y.; Lei, M.; Tye, B.K. A lesion in the DNA replication initiation factor Mcm10 induces pausing of elongation forks through chromosomal replication origins in Saccharomyces cerevisiae. Mol. Cell. Biol. 1997, 17, 3261–3271. [Google Scholar] [CrossRef]
- Warren, E.M.; Vaithiyalingam, S.; Haworth, J.; Greer, B.; Bielinsky, A.-K.; Chazin, W.J.; Eichman, B.F. Structural basis for DNA binding by replication initiator Mcm10. Structure 2008, 16, 1892–1901. [Google Scholar] [CrossRef]
- Shao, T.; Jiang, X.; Bao, G.; Li, C.; Guo, C. Comprehensive Analysis of the Oncogenic Role of Targeting Protein for Xklp2 (TPX2) in Human Malignancies. Dis. Markers 2022, 2022, 7571066. [Google Scholar] [CrossRef] [PubMed]
- Wadsworth, P. TPX2. Curr. Biol. 2015, 25, R1156–R1158. [Google Scholar] [CrossRef]
- Ma, H.T.; Poon, R.Y. Aurora kinases and DNA damage response. Mutat. Res. Mol. Mech. Mutagen. 2020, 821, 111716. [Google Scholar] [CrossRef]
- Sharp, D.J.; Rogers, G.C.; Scholey, J.M. Microtubule motors in mitosis. Nature 2000, 407, 41–47. [Google Scholar] [CrossRef]
- Miki, H.; Okada, Y.; Hirokawa, N. Analysis of the kinesin superfamily: Insights into structure and function. Trends Cell Biol. 2005, 15, 467–476. [Google Scholar] [CrossRef] [PubMed]
- Hedrick, D.G.; Stout, J.R.; Walczak, C.E. Effects of anti-microtubule agents on microtubule organization in cells lacking the kinesin-13 MCAK. Cell Cycle 2008, 7, 2146–2156. [Google Scholar] [CrossRef]
- Moore, A.T.; Rankin, K.E.; von Dassow, G.; Peris, L.; Wagenbach, M.; Ovechkina, Y.; Andrieux, A.; Job, D.; Wordeman, L. MCAK associates with the tips of polymerizing microtubules. J. Cell Biol. 2005, 169, 391–397. [Google Scholar] [CrossRef] [PubMed]
- Kim, T.; Gartner, A. Bub1 kinase in the regulation of mitosis. Anim. Cells Syst. 2021, 25, 1–10. [Google Scholar] [CrossRef]
- Bloom, C.R.; North, B.J. Physiological relevance of post-translational regulation of the spindle assembly checkpoint protein BubR1. Cell Biosci. 2021, 11, 76. [Google Scholar] [CrossRef] [PubMed]
- Miao, Y.; Konno, Y.; Wang, B.; Zhu, L.; Zhai, T.; Ihira, K.; Kobayashi, N.; Watari, H.; Jin, X.; Yue, J.; et al. Integrated multi-omics analyses and functional validation reveal TTK as a novel EMT activator for endometrial cancer. J. Transl. Med. 2023, 21, 151. [Google Scholar] [CrossRef]
- Thu, K.L.; Silvester, J.; Elliott, M.J.; Ba-Alawi, W.; Duncan, M.H.; Elia, A.C.; Mer, A.S.; Smirnov, P.; Safikhani, Z.; Haibe-Kains, B.; et al. Disruption of the anaphase-promoting complex confers resistance to TTK inhibitors in triple-negative breast cancer. Proc. Natl. Acad. Sci. USA 2018, 115, E1570–E1577. [Google Scholar] [CrossRef]
- Musacchio, A. The Molecular Biology of Spindle Assembly Checkpoint Signaling Dynamics. Curr. Biol. 2015, 25, R1002–R1018. [Google Scholar] [CrossRef]
- Wang, Y.; Li, J.-Q.; Yang, Z.-L.; Wang, L.; Zhang, J.-C.; Sun, Y.-F.; Li, Z.-Y.; Qin, L. NCAPH regulates gastric cancer progression through DNA damage response. Neoplasma 2022, 69, 283–291. [Google Scholar] [CrossRef]
- Sun, Y.; Wang, X.; Wen, H.; Zhu, B.; Yu, L. Expression and Clinical Significance of the NCAPH, AGGF1, and FOXC2 Proteins in Serous Ovarian Cancer. Cancer Manag. Res. 2021, 13, 7253–7262. [Google Scholar] [CrossRef]
- Shen, L.; Li, H.; Liu, R.; Zhou, C.; Bretches, M.; Gong, X.; Lu, L.; Zhang, Y.; Zhao, K.; Ning, B.; et al. DEPDC1 as a crucial factor in the progression of human osteosarcoma. Cancer Med. 2022, 12, 5798–5808. [Google Scholar] [CrossRef] [PubMed]
- Harada, Y.; Kanehira, M.; Fujisawa, Y.; Takata, R.; Shuin, T.; Miki, T.; Fujioka, T.; Nakamura, Y.; Katagiri, T. Cell-permeable peptide DEPDC1-ZNF224 interferes with transcriptional repression and oncogenicity in bladder cancer cells. Cancer Res. 2010, 70, 5829–5839. [Google Scholar] [CrossRef] [PubMed]
- Sun, X.; Gao, L.; Chien, H.-Y.; Li, W.-C.; Zhao, J. The regulation and function of the NUAK family. J. Mol. Endocrinol. 2013, 51, R15–R22. [Google Scholar] [CrossRef]
- Heyer, B.S.; Kochanowski, H.; Solter, D. Expression of Melk, a new protein kinase, during early mouse development. Dev. Dyn. 1999, 215, 344–351. [Google Scholar] [CrossRef]
- Fang, L.; Yu, W.; Zhu, P.; Yu, G.; Ye, B. TEDC2 correlated with prognosis and immune microenvironment in lung adenocarcinoma. Sci. Rep. 2023, 13, 5006. [Google Scholar] [CrossRef] [PubMed]
- Wan, L.; Tan, M.; Yang, J.; Inuzuka, H.; Dai, X.; Wu, T.; Liu, J.; Shaik, S.; Chen, G.; Deng, J.; et al. APC(Cdc20) suppresses apoptosis through targeting Bim for ubiquitination and destruction. Dev. Cell 2014, 29, 377–391. [Google Scholar] [CrossRef]
- Tang, X.; McMullen, T.P.W.; Brindley, D.N. Increasing the low lipid phosphate phosphatase 1 activity in breast cancer cells decreases transcription by AP-1 and expressions of matrix metalloproteinases and cyclin D1/D3. Theranostics 2019, 9, 6129–6142. [Google Scholar] [CrossRef]
- Huang, H.; Cai, X.; Lin, J.; Wu, Q.; Zhang, K.; Lin, Y.; Liu, B.; Lin, J. A novel five-gene metabolism-related risk signature for predicting prognosis and immune infiltration in endometrial cancer: A TCGA data mining. Comput. Biol. Med. 2023, 155, 106632. [Google Scholar] [CrossRef]
- Li, H.; Zhou, Q.; Wu, Z.; Lu, X. Identification of novel key genes associated with uterine corpus endometrial carcinoma progression and prognosis. Ann. Transl. Med. 2023, 11, 100. [Google Scholar] [CrossRef]
- Lakhwani, P.; Agarwal, P.; Goel, A.; Nayar, N.; Pande, P.; Kumar, K. High-Grade Endometrial Cancer-Behaviour and Outcomes at a Tertiary Cancer Centre. Indian J. Surg. Oncol. 2019, 10, 662–667. [Google Scholar] [CrossRef]
- Berek, J.S.; Matias-Guiu, X.; Creutzberg, C.; Fotopoulou, C.; Gaffney, D.; Kehoe, S.; Lindemann, K.; Mutch, D.; Concin, N. FIGO staging of endometrial cancer: 2023. Int. J. Gynecol. Obstet. 2023, 162, 383–394. [Google Scholar] [CrossRef] [PubMed]
- Borgström, A.; Peinelt, C.; Stokłosa, P. TRPM4 in Cancer—A New Potential Drug Target. Biomolecules 2021, 11, 229. [Google Scholar] [CrossRef] [PubMed]
- Liu, L.; Lin, J.; He, H. Identification of Potential Crucial Genes Associated with the Pathogenesis and Prognosis of Endometrial Cancer. Front. Genet. 2019, 10, 373. [Google Scholar] [CrossRef] [PubMed]
- Li, X.C.; Cheng, Y.; Yang, X.; Zhou, J.Y.; Dong, Y.Y.; Shen, B.Q.; Wang, J.Q.; Zhao, L.J.; Wang, Z.Q.; Li, X.P.; et al. Decreased expression of TRPM4 is associated with unfavorable prognosis and aggressive progression of endometrial carcinoma. Am. J. Transl. Res. 2020, 12, 3926–3939. [Google Scholar] [PubMed]
- Huang, C.-Y.; Liao, K.-W.; Chou, C.-H.; Shrestha, S.; Yang, C.-D.; Chiew, M.-Y.; Huang, H.-T.; Hong, H.-C.; Huang, S.-H.; Chang, T.-H.; et al. Pilot Study to Establish a Novel Five-Gene Biomarker Panel for Predicting Lymph Node Metastasis in Patients with Early Stage Endometrial Cancer. Front. Oncol. 2020, 9, 1508. [Google Scholar] [CrossRef]
- Bassett, T.; Harpur, B.; Poon, H.Y.; Kuo, K.-H.; Lee, C.H. Effective stimulation of growth in MCF-7 human breast cancer cells by inhibition of syntaxin18 by external guide sequence and ribonuclease P. Cancer Lett. 2008, 272, 167–175. [Google Scholar] [CrossRef]
- Hatsuzawa, K.; Hirose, H.; Tani, K.; Yamamoto, A.; Scheller, R.H.; Tagaya, M. Syntaxin 18, a SNAP Receptor That Functions in the Endoplasmic Reticulum, Intermediate Compartment, and cis-Golgi Vesicle Trafficking. J. Biol. Chem. 2000, 275, 13713–13720. [Google Scholar] [CrossRef]
- Shen, L.; Liu, M.; Liu, W.; Cui, J.; Li, C. Bioinformatics analysis of RNA sequencing data reveals multiple key genes in uterine corpus endometrial carcinoma. Oncol. Lett. 2017, 15, 205–212. [Google Scholar] [CrossRef]
- Zhang, J.; An, L.; Zhao, R.; Shi, R.; Zhou, X.; Wei, S.; Zhang, Q.; Zhang, T.; Feng, D.; Yu, Z.; et al. KIF4A promotes genomic stability and progression of endometrial cancer through regulation of TPX2 protein degradation. Mol. Carcinog. 2022, 62, 303–318. [Google Scholar] [CrossRef]
- Coll-de La Rubia, E.; Martinez-Garcia, E.; Dittmar, G.; Nazarov, P.V.; Bebia, V.; Cabrera, S.; Gil-Moreno, A.; Colás, E. In silico Approach for Validating and Unveiling New Applications for Prognostic Biomarkers of Endometrial Cancer. Cancers 2021, 13, 5052. [Google Scholar] [CrossRef]
- Yuan, Y.; Chen, Z.; Cai, X.; He, S.; Li, D.; Zhao, W. Identification of Hub Genes Correlated with Poor Prognosis for Patients with Uterine Corpus Endometrial Carcinoma by Integrated Bioinformatics Analysis and Experimental Validation. Front. Oncol. 2021, 11, 766947. [Google Scholar] [CrossRef] [PubMed]
- Corson, T.W.; Gallie, B.L. KIF14 mRNA expression is a predictor of grade and outcome in breast cancer. Int. J. Cancer 2006, 119, 1088–1094. [Google Scholar] [CrossRef] [PubMed]
- Liu, X.; Xu, Y.; Han, L.; Yi, Y. Reassessing the Potential of Myb-targeted Anti-cancer Therapy. J. Cancer 2018, 9, 1259–1266. [Google Scholar] [CrossRef] [PubMed]
- Otto, T.; Sicinski, P. Cell cycle proteins as promising targets in cancer therapy. Nat. Rev. Cancer 2017, 17, 93–115. [Google Scholar] [CrossRef]
- Chung, S.; Suzuki, H.; Miyamoto, T.; Takamatsu, N.; Tatsuguchi, A.; Ueda, K.; Kijima, K.; Nakamura, Y.; Matsuo, Y. Development of an orally-administrative MELK-targeting inhibitor that suppresses the growth of various types of human cancer. Oncotarget 2012, 3, 1629–1640. [Google Scholar] [CrossRef]
- Yang, L.; Chen, Y.; Wang, N.; Han, W. A narrative review of the clinical development of CDK4/6 inhibitor abemaciclib in breast cancer. Transl. Breast Cancer Res. 2022, 3, 4. [Google Scholar] [CrossRef]
- Zheng, D.; Li, J.; Yan, H.; Zhang, G.; Li, W.; Chu, E.; Wei, N. Emerging roles of Aurora-A kinase in cancer therapy resistance. Acta Pharm. Sin. B 2023, 13, 2826–2843. [Google Scholar] [CrossRef]
- Manfredi, M.G.; Ecsedy, J.A.; Chakravarty, A.; Silverman, L.; Zhang, M.; Hoar, K.M.; Stroud, S.G.; Chen, W.; Shinde, V.; Huck, J.J.; et al. Characterization of Alisertib (MLN8237), an investigational small-molecule inhibitor of aurora A kinase using novel in vivo pharmacodynamic assays. Clin. Cancer Res. 2011, 17, 7614–7624. [Google Scholar] [CrossRef]
- Rodriguez, Y.I.; Campos, L.E.; Castro, M.G.; Aladhami, A.; Oskeritzian, C.A.; Alvarez, S.E. Sphingosine-1 Phosphate: A New Modulator of Immune Plasticity in the Tumor Microenvironment. Front. Oncol. 2016, 6, 218. [Google Scholar] [CrossRef]
- Duarte, A.; Silveira, G.G.; Soave, D.F.; Costa, J.P.O.; Silva, A.R. The Role of the LY294002—A Non-Selective Inhibitor of Phosphatidylinositol 3-Kinase (PI3K) Pathway- in Cell Survival and Proliferation in Cell Line SCC-25. Asian Pac. J. Cancer Prev. 2019, 20, 3377–3383. [Google Scholar] [CrossRef]
- Abdallah, M.E.; El-Readi, M.Z.; Althubiti, M.A.; Almaimani, R.A.; Ismail, A.M.; Idris, S.; Refaat, B.; Almalki, W.H.; Babakr, A.T.; Mukhtar, M.H.; et al. Tamoxifen and the PI3K Inhibitor: LY294002 Synergistically Induce Apoptosis and Cell Cycle Arrest in Breast Cancer MCF-7 Cells. Molecules 2020, 25, 3355. [Google Scholar] [CrossRef] [PubMed]
- Colaprico, A.; Silva, T.C.; Olsen, C.; Garofano, L.; Cava, C.; Garolini, D.; Sabedot, T.S.; Malta, T.M.; Pagnotta, S.M.; Castiglioni, I.; et al. TCGAbiolinks: An R/Bioconductor package for integrative analysis of TCGA data. Nucleic Acids Res. 2016, 44, e71. [Google Scholar] [CrossRef] [PubMed]
- Love, M.I.; Huber, W.; Anders, S. Moderated estimation of fold change and dispersion for RNA-seq data with DESeq2. Genome Biol. 2014, 15, 550. [Google Scholar] [CrossRef] [PubMed]
- Langfelder, P.; Horvath, S. WGCNA: An R package for weighted correlation network analysis. BMC Bioinform. 2008, 9, 559. [Google Scholar] [CrossRef]
- Guo, K.; Yang, J.; Jiang, R.; Ren, X.; Liu, P.; Wang, W.; Zhou, S.; Wang, X.; Ma, L.; Hu, Y. Identification of Key Immune and Cell Cycle Modules and Prognostic Genes for Glioma Patients through Transcriptome Analysis. Pharmaceuticals 2024, 17, 1295. [Google Scholar] [CrossRef]
- Zhang, B.; Horvath, S. A general framework for weighted gene co-expression network analysis. Stat. Appl. Genet. Mol. Biol. 2005, 4, 17. [Google Scholar] [CrossRef]
- Adebayo, O.O.; Dammer, E.B.; Dill, C.D.; Adebayo, A.O.; Oseni, S.O.; Griffen, T.L.; Ohandjo, A.Q.; Yan, F.; Jain, S.; Barwick, B.G.; et al. Multivariant Transcriptome Analysis Identifies Modules and Hub Genes Associated with Poor Outcomes in Newly Diagnosed Multiple Myeloma Patients. Cancers 2022, 14, 2228. [Google Scholar] [CrossRef]
- Robin, X.; Turck, N.; Hainard, A.; Tiberti, N.; Lisacek, F.; Sanchez, J.-C.; Müller, M. pROC: An open-source package for R and S+ to analyze and compare ROC curves. BMC Bioinform. 2011, 12, 77. [Google Scholar] [CrossRef]
- Yu, G.; Wang, L.-G.; Han, Y.; He, Q.-Y. clusterProfiler: An R package for comparing biological themes among gene clusters. OMICS J. Integr. Biol. 2012, 16, 284–287. [Google Scholar] [CrossRef]










| Order | Module Colors | # of Genes |
|---|---|---|
| M1 | Turquoise | 2888 |
| M2 | Blue | 2727 |
| M3 | Brown | 1719 |
| M4 | Light Cyan | 1277 |
| M5 | Green | 957 |
| M6 | Midnight Blue | 850 |
| M7 | Red | 753 |
| M8 | Black | 687 |
| M9 | Magenta | 658 |
| M10 | Green Yellow | 518 |
| M11 | Tan | 273 |
| M12 | Dark Turquoise | 256 |
| M13 | Salmon | 249 |
| M14 | Dark Green | 200 |
| M15 | Light Green | 148 |
| M16 | Light Yellow | 146 |
| M17 | Dark Gray | 99 |
| M18 | Orange | 93 |
| M19 | Sky Blue | 64 |
| M20 | Steel Blue | 47 |
| M21 | Violet | 46 |
| M22 | Dark Magenta | 39 |
| M23 | Dark Olive Oreen | 39 |
| M24 | Sienna3 | 35 |
| M25 | Yellow Green | 34 |
| Module Name | Gene | p Value | AUC |
|---|---|---|---|
| Green | TPX2 | 0.0039647 | 0.6493689 |
| ESPL1 | 0.0003482 | 0.6262506 | |
| BUB1 | 0.0004155 | 0.6235858 | |
| Light Yellow | TRPM4 | 2.68 × 10−5 | 0.6462833 |
| TMEM62 | 3.74 × 10−6 | 0.6381019 | |
| PLPP2 | 1.52 × 10−5 | 0.6324451 |
| Module | Gene | Hub Gene | Significant AUC Score | Log FC > 1.5 |
|---|---|---|---|---|
| Green | TPX2 | ✓ | ✓ | ✓ |
| ESPL1 | ✓ | ✓ | ✓ | |
| BUB1 | ✓ | ✓ | ✓ | |
| Yellow | TRPM4 | ✓ | ✓ | ✓ |
| TMEM62 | ✓ | ✓ | ✓ | |
| PLPP2 | ✓ | ✓ | ✓ |
| Target | Therapy | Types of Cancer Treated | Mechanism of Action | FDA Approval Status | Drug Class/Category | Combination Therapies |
|---|---|---|---|---|---|---|
| TPX2 | Ademaciclib | Breast cancer (HR-positive, HER2-negative advanced, or metastatic breast cancer) | Inhibits CDK4/6, preventing cell cycle progression from G1 to S phase | FDA-approved | CDK4/6 inhibitor | Often combined with hormone therapy like Fulvestrant |
| AURKA | Alisertib | Relapsed or refractory peripheral T-cell lymphoma (PTCL), neuroblastoma, and other cancers | Inhibits Aurora kinase A, disrupting mitotic spindle formation, leading to apoptosis in cancer cells | Not FDA-approved | Aurora kinase inhibitor | Studied with chemotherapy agents like paclitaxel |
| S1P1R | Fingolimod, Siponimod, Ozanimod, Ponesimod | Multiple sclerosis (Fingolimod and Siponimod), studied in cancer immunotherapy for solid tumors | Modulates S1P receptor, preventing lymphocyte egress from lymph nodes, reducing immune activity | FDA-approved Under investigation for cancer | S1P receptor modulators | Investigated with immune checkpoint inhibitors (e.g., anti-PD1 therapies) |
| PLPP2/LPR2 | Orthovanadate, Okadaic Acid, LY294002 | Experimental studies in breast, prostate, and ovarian cancers (due to involvement in PI3K/AKT pathway) | PI3K/AKT pathway inhibitors, block protein phosphatase activity, leading to apoptosis in cancer cells | Not FDA-approved | Phosphatase inhibitors/PI3K inhibitors | Studied in combination with other targeted therapies like PI3K inhibitors |
| Clinical Traits | Classification |
|---|---|
| Vital Status | “Alive”, “Dead” |
| MSI Marker Status | MSI-H, MSS, MSI-L, Indeterminant |
Disclaimer/Publisher’s Note: The statements, opinions and data contained in all publications are solely those of the individual author(s) and contributor(s) and not of MDPI and/or the editor(s). MDPI and/or the editor(s) disclaim responsibility for any injury to people or property resulting from any ideas, methods, instructions or products referred to in the content. |
© 2024 by the authors. Licensee MDPI, Basel, Switzerland. This article is an open access article distributed under the terms and conditions of the Creative Commons Attribution (CC BY) license (https://creativecommons.org/licenses/by/4.0/).
Share and Cite
Clark, A.J.; Singh, R.; Leonis, R.L.; Stahlberg, E.A.; Clark, Z.S.; Lillard, J.W., Jr. Gene Co-Expression Network Analysis Associated with Endometrial Cancer Tumorigenesis and Survival Outcomes. Int. J. Mol. Sci. 2024, 25, 12356. https://doi.org/10.3390/ijms252212356
Clark AJ, Singh R, Leonis RL, Stahlberg EA, Clark ZS, Lillard JW Jr. Gene Co-Expression Network Analysis Associated with Endometrial Cancer Tumorigenesis and Survival Outcomes. International Journal of Molecular Sciences. 2024; 25(22):12356. https://doi.org/10.3390/ijms252212356
Chicago/Turabian StyleClark, Alexis J., Rajesh Singh, Regina L. Leonis, Eric A. Stahlberg, Zachary S. Clark, and James W. Lillard, Jr. 2024. "Gene Co-Expression Network Analysis Associated with Endometrial Cancer Tumorigenesis and Survival Outcomes" International Journal of Molecular Sciences 25, no. 22: 12356. https://doi.org/10.3390/ijms252212356
APA StyleClark, A. J., Singh, R., Leonis, R. L., Stahlberg, E. A., Clark, Z. S., & Lillard, J. W., Jr. (2024). Gene Co-Expression Network Analysis Associated with Endometrial Cancer Tumorigenesis and Survival Outcomes. International Journal of Molecular Sciences, 25(22), 12356. https://doi.org/10.3390/ijms252212356

