1,3-Dipolar Cycloaddition of Nitrile Oxides and Nitrilimines to (−)-β-Caryophyllene: Stereoselective Synthesis of Polycyclic Derivatives and Their Biological Testing
Abstract
1. Introduction
2. Results and Discussion
2.1. Synthesis
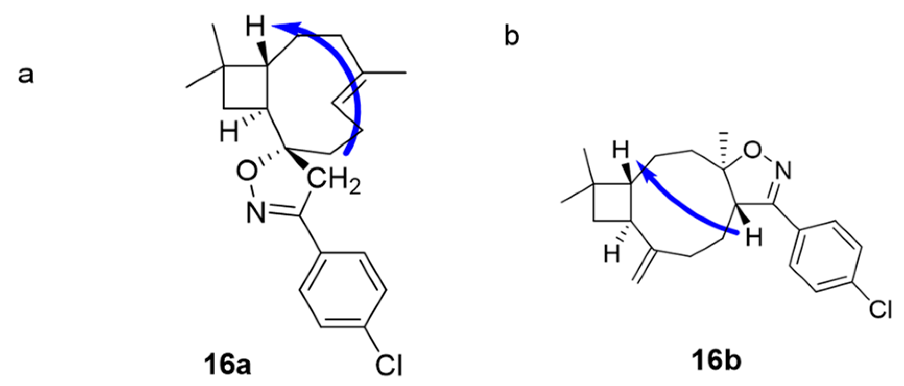
2.1.1. Synthesis of Caryophyllene Derivatives Containing One Heterocyclic Fragment
2.1.2. Synthesis of Caryophyllene Derivatives with Two Heterocyclic Fragments
2.2. Biological Testing
2.2.1. Antiviral Activity
2.2.2. Cytotoxicity
3. Materials and Methods
3.1. Reagents
3.2. Equipment
3.3. Cell Lines and Cytotoxicity Evaluation
3.4. Preparation of Compounds 9, 14, and 16–35
3.4.1. Synthesis of Benzaldehyde Oxime 34
3.4.2. Synthesis of N-Hydroxyimidoyl Halogenide 9
3.4.3. Synthesis of Benzoyl Phenylhydrazine 35
3.4.4. Synthesis of Hydrazonyl Halogenide 14
3.4.5. General Procedure for Synthesis of Compounds 16–24
3.4.6. General Procedure for Synthesis of Compounds 25–31
3.5. Cytotoxicity (MTT-Test)
3.5.1. Initial Testing
3.5.2. IC50 Determination
3.5.3. Viruses and Cells
3.5.4. Evaluation of Cytotoxic Properties of Compounds
3.5.5. Evaluation of Antiviral Activity of Compounds
3.5.6. Time-of-Addition Experiments
3.5.7. Anti-Neuraminidase Assay
4. Conclusions
Supplementary Materials
Author Contributions
Funding
Institutional Review Board Statement
Informed Consent Statement
Data Availability Statement
Acknowledgments
Conflicts of Interest
References
- Atanasov, A.G.; Zotchev, S.B.; Dirsch, V.M. Natural Products in Drug Discovery: Advances and Opportunities. Nat. Rev. Drug Discov. 2021, 20, 200–216. [Google Scholar] [CrossRef] [PubMed]
- Dias, D.A.; Urban, S.; Roessner, U. A Historical Overview of Natural Products in Drug Discovery. Metabolites 2012, 2, 303–336. [Google Scholar] [CrossRef] [PubMed]
- Bernardini, S.; Tiezzi, A.; Laghezza Masci, V.; Ovidi, E. Natural Products for Human Health: An Historical Overview of the Drug Discovery Approaches. Nat. Prod. Res. 2018, 32, 1926–1950. [Google Scholar] [CrossRef]
- Zheng, G.-Q.; Kenney, P.M.; Lam, L.K.T. Sesquiterpenes from Clove (Eugenia caryophyllata) as Potential Anticarcinogenic Agents. J. Nat. Prod. 1992, 55, 999–1003. [Google Scholar] [CrossRef]
- Sylvestre, M.; Legault, J.; Dufour, D.; Pichette, A. Chemical Composition and Anticancer Activity of Leaf Essential Oil of Myrica gale L. Phytomedicine 2005, 12, 299–304. [Google Scholar] [CrossRef]
- Sylvestre, M.; Pichette, A.; Lavoie, S.; Longtin, A.; Legault, J. Composition and Cytotoxic Activity of the Leaf Essential Oil of Comptonia peregrina (L.) Coulter. Phyther. Res. 2007, 21, 536–540. [Google Scholar] [CrossRef]
- Gyrdymova, Y.V.; Rubtsova, S.A. Caryophyllene and Caryophyllene Oxide: A Variety of Chemical Transformations and Biological Activities. Chem. Pap. 2022, 76, 1–39. [Google Scholar] [CrossRef]
- Calleja, M.A.; Vieites, J.M.; Montero-Meterdez, T.; Torres, M.I.; Faus, M.J.; Gil, A.; Suárez, A. The Antioxidant Effect of β-Caryophyllene Protects Rat Liver from Carbon Tetrachloride-Induced Fibrosis by Inhibiting Hepatic Stellate Cell Activation. Br. J. Nutr. 2013, 109, 394–401. [Google Scholar] [CrossRef]
- Horváth, B.; Mukhopadhyay, P.; Kechrid, M.; Patel, V.; Tanchian, G.; Wink, D.A.; Gertsch, J.; Pacher, P. β-Caryophyllene Ameliorates Cisplatin-Induced Nephrotoxicity in a Cannabinoid 2 Receptor-Dependent Manner. Free Radic. Biol. Med. 2012, 52, 1325–1333. [Google Scholar] [CrossRef]
- Mallmann, M.P.; Mello, F.K.; Neuberger, B.; da Costa Sobral, K.G.; Fighera, M.R.; Royes, L.F.F.; Furian, A.F.; Oliveira, M.S. Beta-Caryophyllene Attenuates Short-Term Recurrent Seizure Activity and Blood-Brain-Barrier Breakdown after Pilocarpine-Induced Status Epilepticus in Rats. Brain Res. 2022, 1784, 147883. [Google Scholar] [CrossRef]
- Astani, A.; Reichling, J.; Schnitzler, P. Screening for Antiviral Activities of Isolated Compounds from Essential Oils. Evidence-Based Complement. Altern. Med. 2011, 2011, 253643. [Google Scholar] [CrossRef] [PubMed]
- Yarovaya, O.I.; Salakhutdinov, N.F. Mono- and Sesquiterpenes as a Starting Platform for the Development of Antiviral Drugs. Russ. Chem. Rev. 2021, 90, 488–510. [Google Scholar] [CrossRef]
- González-Maldonado, P.; Alvarenga, N.; Burgos-Edwards, A.; Flores-Giubi, M.E.; Barúa, J.E.; Romero-Rodríguez, M.C.; Soto-Rifo, R.; Valiente-Echeverría, F.; Langjahr, P.; Cantero-González, G.; et al. Screening of Natural Products Inhibitors of SARS-CoV-2 Entry. Molecules 2022, 27, 1743. [Google Scholar] [CrossRef] [PubMed]
- Scandiffio, R.; Geddo, F.; Cottone, E.; Querio, G.; Antoniotti, S.; Pia Gallo, M.; Maffei, M.E.; Bovolin, P. Protective Effects of (E)-β-Caryophyllene (Bcp) in Chronic Inflammation. Nutrients 2020, 12, 3273. [Google Scholar] [CrossRef]
- Francomano, F.; Caruso, A.; Barbarossa, A.; Fazio, A.; La Torre, C.; Llamaci, R.; Saturnino, C.; Iacopetta, D.; Sinicropi, M.S. β-Caryophyllene a Sesquiterpene with Countless. Appl. Sci. 2019, 9, 5420–5438. [Google Scholar] [CrossRef]
- Fidyt, K.; Fiedorowicz, A.; Strządała, L.; Szumny, A. Β-Caryophyllene and Β-Caryophyllene Oxide—Natural Compounds of Anticancer and Analgesic Properties. Cancer Med. 2016, 5, 3007–3017. [Google Scholar] [CrossRef]
- Miguel, O.G.; Lima, E.O.; Morais, V.M.F.; Gomes, S.T.A.; Delle Monache, F.; Bella Cruz, A.; Bella Cruz, R.C.; Cechinel Filho, V. Antimicrobial Activity of Constituents Isolated from Lychnophora salicifolia (Asteraceae). Phyther. Res. 1996, 10, 694–696. [Google Scholar] [CrossRef]
- Kim, Y.S.; Park, S.J.; Lee, E.J.; Cerbo, R.M.; Lee, S.M.; Ryu, C.H.; Kim, G.S.; Kim, J.O.; Ha, Y.L. Antibacterial Compounds from Rose Bengal-Sensitized Photooxidation of β-Caryophyllene. J. Food Sci. 2008, 73, 540–545. [Google Scholar] [CrossRef]
- Demirci, B.; Hüsnü Can Başer, K.; Demirci, F.; Hamann, M.T. New Caryophyllene Derivatives from Betula litwinowii. J. Nat. Prod. 2000, 63, 902–904. [Google Scholar] [CrossRef]
- Wu, Z.; Liu, D.; Proksch, P.; Guo, P.; Lin, W. Punctaporonins H-M: Caryophyllene-Type Sesquiterpenoids from the Sponge-Associated Fungus Hansfordia Sinuosae. Mar. Drugs 2014, 12, 3904–3916. [Google Scholar] [CrossRef]
- Zardi-Bergaoui, A.; Znati, M.; Harzallah-Skhiri, F.; Jannet, H. Ben Caryophyllene Sesquiterpenes from Pulicaria vulgaris Gaertn.: Isolation, Structure Determination, Bioactivity and Structure−Activity Relationship. Chem. Biodivers. 2019, 16, e1800483. [Google Scholar] [CrossRef] [PubMed]
- Yarovaya, O.I.; Kovaleva, K.S.; Borisevich, S.S.; Rybalova, T.V.; Gatilov, Y.V.; Sinegubova, E.O.; Volobueva, A.S.; Zarubaev, V.V.; Salakhutdinov, N.F. Synthesis and Antiviral Properties of Tricyclic Amides Derived from α-Humulene and β-Caryophyllene. Mendeleev Commun. 2022, 32, 609–611. [Google Scholar] [CrossRef]
- Volobueva, A.S.; Yarovaya, O.I.; Kireeva, M.V.; Borisevich, S.S.; Kovaleva, K.S.; Mainagashev, I.Y.; Gatilov, Y.V.; Ilyina, M.G.; Zarubaev, V.V.; Salakhutdinov, N.F. Discovery of New Ginsenol-Like Compounds with High Antiviral Activity. Molecules 2021, 26, 6794. [Google Scholar] [CrossRef]
- Chicca, A.; Caprioglio, D.; Minassi, A.; Petrucci, V.; Appendino, G.; Taglialatela-Scafati, O.; Gertsch, J. Functionalization of β-Caryophyllene Generates Novel Polypharmacology in the Endocannabinoid System. ACS Chem. Biol. 2014, 9, 1499–1507. [Google Scholar] [CrossRef]
- Portapilla, G.B.; Pereira, L.M.; Soldi, R.A.; Filho, P.G.A.; Gallo, I.F.L.; Clososki, G.C.; de Albuquerque, S. Activity of β-Caryophyllene Oxide Derivatives Against Trypanosoma Cruzi, Mammalian Cells, and Horseradish Peroxidase. Rev. Bras. Farmacogn. 2020, 30, 824–831. [Google Scholar] [CrossRef]
- Ashitani, T.; Kusumoto, N.; Borg-Karlson, A.K.; Fujita, K.; Takahashi, K. Antitermite Activity of β-Caryophyllene Epoxide and Episulfide. Z. Naturforsch. C. J. Biosci. 2013, 68, 302–306. [Google Scholar] [CrossRef]
- Di Sotto, A.; Maffei, F.; Hrelia, P.; Castelli, F.; Sarpietro, M.G.; Mazzanti, G. Genotoxicity Assessment of β-Caryophyllene Oxide. Regul. Toxicol. Pharmacol. 2013, 66, 264–268. [Google Scholar] [CrossRef]
- Sarpietro, M.G.; Di Sotto, A.; Accolla, M.L.; Castelli, F. Interaction of β-Caryophyllene and β-Caryophyllene Oxide with Phospholipid Bilayers: Differential Scanning Calorimetry Study. Thermochim. Acta 2015, 600, 28–34. [Google Scholar] [CrossRef]
- Charushin, V.N.; Verbitsky, E.V.; Chupakhin, O.N.; Vorobyeva, D.V.; Gribanov, P.S.; Osipov, S.N.; Ivanov, A.V.; Martynovskaya, S.V.; Sagitova, E.F.; Dyachenko, V.D.; et al. The Chemistry of Heterocycles in the 21st Century. Russ. Chem. Rev. 2024, 93, RCR5125. [Google Scholar] [CrossRef]
- Lawrence, A.L.; Adlington, R.M.; Baldwin, J.E.; Lee, V.; Kershaw, J.A.; Thompson, A.L. A Short Biomimetic Synthesis of the Meroterpenoids Guajadial and Psidial A. Org. Lett. 2010, 12, 1676–1679. [Google Scholar] [CrossRef]
- Lam, H.C.; Spence, J.T.J.; George, J.H. Biomimetic Total Synthesis of Hyperjapones A–E and Hyperjaponols A and C. Angew. Chemie-Int. Ed. 2016, 55, 10368–10371. [Google Scholar] [CrossRef] [PubMed]
- Hou, J.Q.; Yu, J.H.; Zhao, H.; Dong, Y.Y.; Peng, Q.S.; Zhang, B.B.; Wang, H. Biomimetic Total Syntheses of Baefrutones A-D, Baeckenon B, and Frutescones A, D-F. Org. Biomol. Chem. 2020, 18, 1135–1139. [Google Scholar] [CrossRef]
- Lv, L.; Li, Y.; Zhang, Y.; Xie, Z. Biomimetic Synthesis of Myrtucommulone K, N and O. Tetrahedron 2017, 73, 3691–3695. [Google Scholar] [CrossRef]
- Liu, H.X.; Chen, K.; Yuan, Y.; Xu, Z.F.; Tan, H.B.; Qiu, S.X. Rhodomentones A and B, Novel Meroterpenoids with Unique NMR Characteristics from: Rhodomyrtus Tomentosa. Org. Biomol. Chem. 2016, 14, 7354–7360. [Google Scholar] [CrossRef]
- Ning, S.; Liu, Z.; Wang, Z.; Liao, M.; Xie, Z. Biomimetic Synthesis of Psiguajdianone Guided Discovery of the Meroterpenoids from Psidium guajava. Org. Lett. 2019, 21, 8700–8704. [Google Scholar] [CrossRef]
- Newton, C.G.; Tran, D.N.; Wodrich, M.D.; Cramer, N. One-Step Multigram-Scale Biomimetic Synthesis of Psiguadial B. Angew. Chemie-Int. Ed. 2017, 56, 13776–13780. [Google Scholar] [CrossRef]
- Takao, K.I.; Noguchi, S.; Sakamoto, S.; Kimura, M.; Yoshida, K.; Tadano, K.I. Total Synthesis of (+)-Cytosporolide A via a Biomimetic Hetero-Diels-Alder Reaction. J. Am. Chem. Soc. 2015, 137, 15971–15977. [Google Scholar] [CrossRef]
- Breugst, M.; Reissig, H.U. The Huisgen Reaction: Milestones of the 1,3-Dipolar Cycloaddition. Angew. Chemie-Int. Ed. 2020, 59, 12293–12307. [Google Scholar] [CrossRef]
- Gucma, M.; Gołebiewski, W.M.; Michalczyk, A.K. NMR Studies on [2+3] Cycloaddition of Nitrile Oxides to Polyunsaturated Medium Size Rings. J. Braz. Chem. Soc. 2016, 27, 1925–1937. [Google Scholar] [CrossRef]
- Shybanov, D.E.; Filkina, M.E.; Kukushkin, M.E.; Grishin, Y.K.; Roznyatovsky, V.A.; Zyk, N.V.; Beloglazkina, E.K. Diffusion Mixing with a Volatile Tertiary Amine as a Very Efficient Technique for 1,3-Dipolar Cycloaddition Reactions Proceeding via Dehydrohalogenation of Stable Precursors of Reactive Dipoles. New J. Chem. 2022, 46, 18575–18586. [Google Scholar] [CrossRef]
- Pasinszki, T.; Hajgató, B.; Havasi, B.; Westwood, N.P. Dimerisation of Nitrile Oxides. Phys. Chem. Chem. Phys. 2009, 11, 5263–5272. [Google Scholar] [CrossRef] [PubMed]
- Lv, L.; Zhou, X.; Gao, J.; Hu, W. Novel synthesis, characterisation and antitumour activity of dimethyl-3, 6-di (aryl)-1, 4-dihydro-1,2,4,5-tetrazine-1, 4-dicarboxylates. J. Chem. Res. 2014, 38, 368–370. [Google Scholar] [CrossRef]
- Shybanov, D.E.; Kukushkin, M.E.; Hrytseniuk, Y.S.; Grishin, Y.K.; Roznyatovsky, V.A.; Tafeenko, V.A.; Skvortsov, D.A.; Zyk, N.V.; Beloglazkina, E.K. 5-Methylidene-2-Thiohydantoins in the Synthesis of Spiro-2-Chalcogenimidazolones. Int. J. Mol. Sci. 2023, 24, 5037. [Google Scholar] [CrossRef] [PubMed]
- Kuznetsova, J.V.; Tkachenko, V.T.; Petrovskaya, L.M.; Filkina, M.E.; Shybanov, D.E.; Grishin, Y.K.; Roznyatovsky, V.A.; Tafeenko, V.A.; Pestretsova, A.S.; Yakovleva, V.A.; et al. [3+2]-Cycloaddition of Nitrile Imines to Parabanic Acid Derivatives—An Approach to Novel Spiroimidazolidinediones. Int. J. Mol. Sci. 2024, 25, 18. [Google Scholar] [CrossRef]
- Barero, A.F.; Molina, J.; Enrique Oltra, J.; Altarejos, J.; Barragán, A.; Lara, A.; Segura, M. Stereochemistry of 14-Hydroxy-β-Caryophyllene and Related Compunds. Tetrahedron 1995, 51, 3813–3822. [Google Scholar] [CrossRef]
- Ashitani, T.; Nagahama, S. Direct Episulfidation of Caryophyllene and Humulene. Nat. Prod. Lett. 1999, 13, 163–167. [Google Scholar] [CrossRef]
- Hübner, M.; Beate Rissom, L.F. Conformation and Dynamics of (−)-β-Caryophyllene. Helv. Chim. Acta 1997, 80, 1972–1982. [Google Scholar] [CrossRef]
- Spence, J.T.J.; George, J.H. Structural Reassignment of Cytosporolides A-C via Biomimetic Synthetic Studies and Reinterpretation of NMR Data. Org. Lett. 2011, 13, 5318–5321. [Google Scholar] [CrossRef]
- Tsai, Y.-H.; Borini Etichetti, C.M.; Cicetti, S.; Girardini, J.E.; Spanevello, R.A.; Suárez, A.G.; Sarotti, A.M. Design, Synthesis and Evaluation of Novel Levoglucosenone Derivatives as Promising Anticancer Agents. Bioorganic Med. Chem. Lett. 2020, 30, 127247. [Google Scholar] [CrossRef]
- Orth, R.; Böttcher, T.; Sieber, S.A. The Biological Targets of Acivicin Inspired 3-Chloro- and 3-Bromodihydroisoxazole Scaffolds. Chem. Commun. 2010, 46, 8475–8477. [Google Scholar] [CrossRef]
- Hinklin, R.J.; Baer, B.R.; Boyd, S.A.; Chicarelli, M.D.; Condroski, K.R.; DeWolf, W.E.; Fischer, J.; Frank, M.; Hingorani, G.P.; Lee, P.A.; et al. Discovery and Preclinical Development of AR453588 as an Anti-Diabetic Glucokinase Activator. Bioorganic Med. Chem. 2020, 28, 115232. [Google Scholar] [CrossRef] [PubMed]
- Filkina, M.E.; Baray, D.N.; Beloglazkina, E.K.; Grishin, Y.K.; Roznyatovsky, V.A.; Kukushkin, M.E. Regioselective Cycloaddition of Nitrile Imines to 5-Methylidene-3-Phenyl-Hydantoin: Synthesis and DFT Calculations. Int. J. Mol. Sci. 2023, 24, 1289. [Google Scholar] [CrossRef] [PubMed]
- Areephong, J.; Mattson, K.M.; Treat, N.J.; Poelma, S.O.; Kramer, J.W.; Sprafke, H.A.; Latimer, A.A.; Read De Alaniz, J.; Hawker, C.J. Triazine-Mediated Controlled Radical Polymerization: New Unimolecular Initiators. Polym. Chem. 2016, 7, 370–374. [Google Scholar] [CrossRef]
- Sheldrick, G.M. A Short History of SHELX. Acta Crystallogr. Acta Crystallogr. A 2008, 64, 112–122. [Google Scholar] [CrossRef]
- Brandenburg, K. DIAMOND, Release 2.1d; Crystal Impact GbR: Bonn, Germany, 2000. [Google Scholar]
- Bank, U.; Reinhold, D.; Ansorge, S. Measurement of cellular activity with the MTT test. Optimization of the method. Allerg. Immunol. (Leipz.) 1991, 37, 119–123. [Google Scholar]
- Potier, M.; Mameli, L.; Bélisle, M.; Dallaire, L.; Melançon, S.B. Fluorometric assay of neuraminidase with a sodium (4-methylumbelliferyl-α-d-N-acetylneuraminate) substrate. Anal. Biochem. 1979, 94, 287–296. [Google Scholar] [CrossRef]








| Products | a:b a | Yield a, % | Yield b, % |
|---|---|---|---|
| 16a + 16b | 1.9:1 | 56 | 29 |
| 17a + 17b | 1.8:1 | 46 | 25 |
| 18a + 18b | 1.2:1 | 34 | 16 |
| 19a + 19b | 0.3:1 | 9 | 11 |
| 20a + 20b | 1.2:1 | 68 b | |
| 21a + 21b | 0.8:1 | 24 | 41 |
| 22a + 22b | 1:1 | 38 | 45 |
| 23a + 23b | 1.7:1 | 43 | 26 |
| 24a + 24b | 1.4:1 | 54 b | |
| Compound | CC50, μM | IC50, μM | SI |
|---|---|---|---|
| 16a | 125.40 ± 6.5 | 9.8 ± 1.3 | 13 |
| 16b | 20.21 ± 1.9 | 16.8 ± 2.2 | 1 |
| 17a | 36.97 ± 2.2 | 8.03 ± 1.1 | 5 |
| 17b | 27.01 ± 2.4 | >12.8 | <2 |
| 18a | 25.11 ± 1.8 | 4.78 ± 0.6 | 5 |
| 19a | 19.64 ± 1.1 | >12.26 | <2 |
| 19b | 44.17 ± 3.6 | >33.7 | <1 |
| 21a | 27.97 ± 1.9 | 6.25 ± 0.7 | 4 |
| 21b | 374.70 ± 15.6 | >296.7 | <1 |
| 22a | 170.4 ± 12.1 | 72.7 ± 9.2 | 2 |
| 22b | 25.08 ± 1.6 | >9.28 | <3 |
| 23a | 10.16 ± 0.8 | >5.59 | <2 |
| 23b | >535 | 178.25 ± 20.1 | >3 |
| 25 | 426.43 ± 26.9 | 34.15 ± 4.4 | 12 |
| 26 | >652 | >652 | - |
| 28 | 13.83 ± 1.2 | >8.70 | <2 |
| 29 | >506 | 101.7 ± 12.6 | >5 |
| 30 | >330 | 71.05 ± 8.8 | >5 |
| Rimantadine | 335 ± 27 | 67.0 ± 4.9 | 5 |
| Amantadine | 284 ± 21 | 64 ± 5 | 4 |
| Deitiforin | 1266 ± 82 | 209 ± 15 | 6 |
| Ribavirin | >2000 | 25 | >81.0 |
| Compound | Human Cancer Cell Lines | Human Healthy Cells | Murine Mammary Cell Line | ||
|---|---|---|---|---|---|
| DU145 | A549 | VA-13 | HEK293 | EMT6 | |
| 16a | − | − | − | − | − |
| 16b | − | − | − | − | − |
| 17a | + * | + * | + * | + * | + * |
| 17b | + | + | + | + | + |
| 18a | − | − | − | − | − |
| 18b | − | − | +^ | +^ | − |
| 19a | − | − | − | − | − |
| 21a | + * | + * | + * | + * | + * |
| 21b | − | − | − | − | − |
| 22a | − | − | +^ | +^ | − |
| 22b | − | − | + | + | − |
| 23a | + | + | + | + | + * |
| 23b | − | − | − | − | − |
| 25 | +^ | +^ | − | − | − |
| 26 | − | − | − | − | − |
| 28 | − | − | +^ | +^ | − |
| 29 | − | − | − | − | − |
| 30 | − | − | − | − | − |
| Organ | Cell Lines | IC50, µM | |||
|---|---|---|---|---|---|
| 17a | 21a | 23a | 25 | ||
| Colon cancer | HCT116 | 39.4 ± 2.8 | 22.4 ± 0.8 | >50 | >50 |
| HT-29 | 47.1 ± 3.0 | 39.4 ± 2.1 | 45.0 ± 1.9 | >50 | |
| Breast cancer | MCF7 | >50 | >50 | >50 | >50 |
| SKBR3 | 36.5 ± 3.2 | 12.3 ± 1.0 | >50 | >50 | |
| Melanoma | SK-MEL-28 | 38.9 ± 3.9 | 24.9 ± 1.3 | >50 | >50 |
| Lung cancer | A549 | 30.7 ± 2.1 | 21.2 ± 0.9 | 33.4 ± 2.2 | >50 |
| Prostate cancer | DU145 | 42.6 ± 3.4 | 18.8 ± 0.4 | 28.8 ± 1.2 | >50 |
| Normal cells | HEK-293 | 44.3 ± 4.1 | 14.2 ± 0.9 | 39.2 ± 3.0 | >50 |
Disclaimer/Publisher’s Note: The statements, opinions and data contained in all publications are solely those of the individual author(s) and contributor(s) and not of MDPI and/or the editor(s). MDPI and/or the editor(s) disclaim responsibility for any injury to people or property resulting from any ideas, methods, instructions or products referred to in the content. |
© 2024 by the authors. Licensee MDPI, Basel, Switzerland. This article is an open access article distributed under the terms and conditions of the Creative Commons Attribution (CC BY) license (https://creativecommons.org/licenses/by/4.0/).
Share and Cite
Shybanov, D.E.; Kukushkin, M.E.; Grishin, Y.K.; Roznyatovsky, V.A.; Tafeenko, V.A.; Abo Qoura, L.; Pokrovsky, V.S.; Yarovaya, O.I.; Belyaevskaya, S.V.; Volobueva, A.S.; et al. 1,3-Dipolar Cycloaddition of Nitrile Oxides and Nitrilimines to (−)-β-Caryophyllene: Stereoselective Synthesis of Polycyclic Derivatives and Their Biological Testing. Int. J. Mol. Sci. 2024, 25, 11435. https://doi.org/10.3390/ijms252111435
Shybanov DE, Kukushkin ME, Grishin YK, Roznyatovsky VA, Tafeenko VA, Abo Qoura L, Pokrovsky VS, Yarovaya OI, Belyaevskaya SV, Volobueva AS, et al. 1,3-Dipolar Cycloaddition of Nitrile Oxides and Nitrilimines to (−)-β-Caryophyllene: Stereoselective Synthesis of Polycyclic Derivatives and Their Biological Testing. International Journal of Molecular Sciences. 2024; 25(21):11435. https://doi.org/10.3390/ijms252111435
Chicago/Turabian StyleShybanov, Dmitry E., Maxim E. Kukushkin, Yuri K. Grishin, Vitaly A. Roznyatovsky, Viktor A. Tafeenko, Louay Abo Qoura, Vadim S. Pokrovsky, Olga I. Yarovaya, Svetlana V. Belyaevskaya, Alexandrina S. Volobueva, and et al. 2024. "1,3-Dipolar Cycloaddition of Nitrile Oxides and Nitrilimines to (−)-β-Caryophyllene: Stereoselective Synthesis of Polycyclic Derivatives and Their Biological Testing" International Journal of Molecular Sciences 25, no. 21: 11435. https://doi.org/10.3390/ijms252111435
APA StyleShybanov, D. E., Kukushkin, M. E., Grishin, Y. K., Roznyatovsky, V. A., Tafeenko, V. A., Abo Qoura, L., Pokrovsky, V. S., Yarovaya, O. I., Belyaevskaya, S. V., Volobueva, A. S., Esaulkova, I. L., Zarubaev, V. V., & Beloglazkina, E. K. (2024). 1,3-Dipolar Cycloaddition of Nitrile Oxides and Nitrilimines to (−)-β-Caryophyllene: Stereoselective Synthesis of Polycyclic Derivatives and Their Biological Testing. International Journal of Molecular Sciences, 25(21), 11435. https://doi.org/10.3390/ijms252111435

