The Preliminary Analysis of Flavonoids in the Petals of Rhododendron delavayi, Rhododendron agastum and Rhododendron irroratum Infected with Neopestalotiopsis clavispora
Abstract
1. Introduction
2. Results
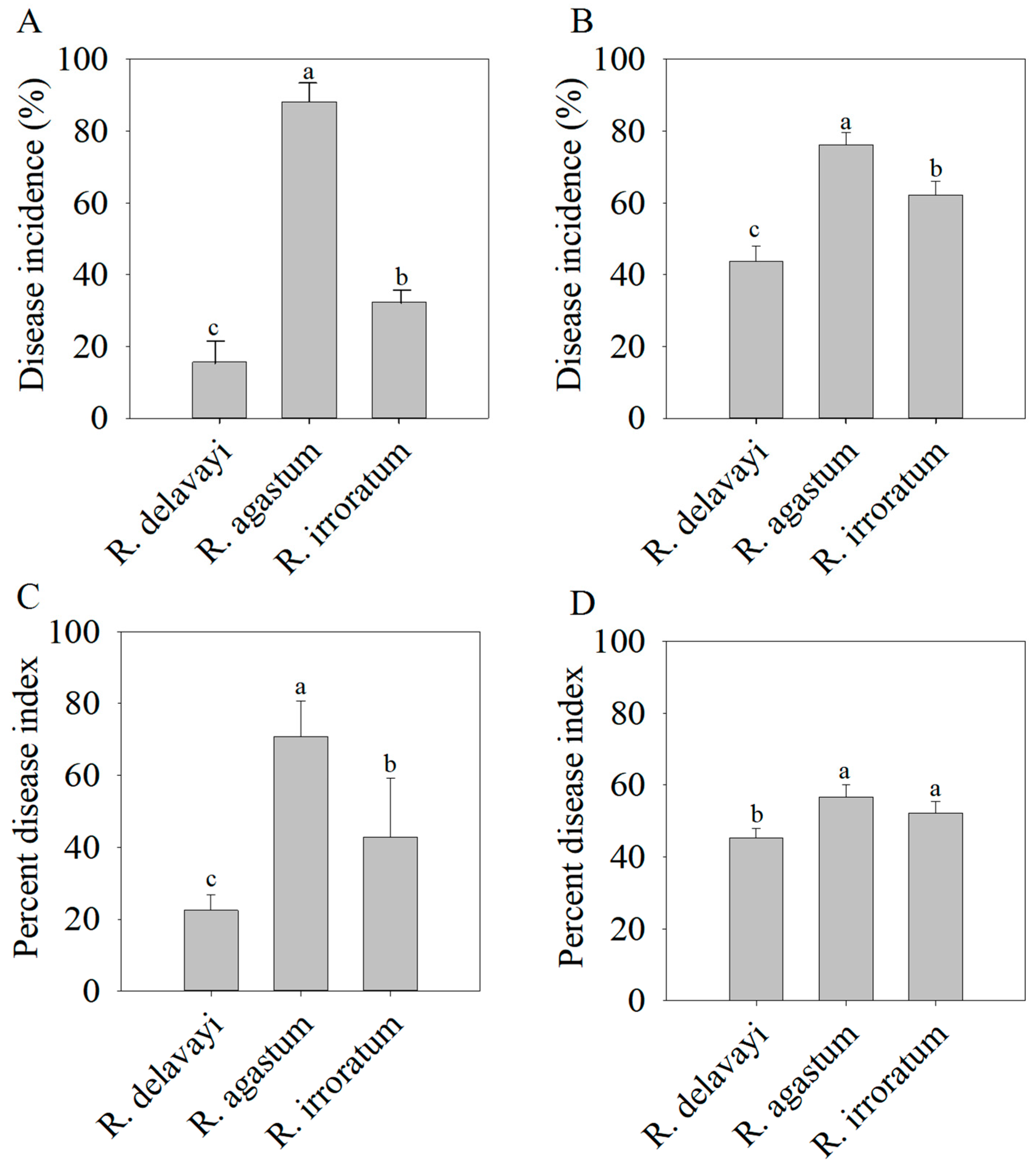
2.1. Analysis of Disease Severity in Three Alpine Rhododendron Petals
2.2. Detection and Identification of Metabolites in the Petals of Three Alpine Rhododendrons
2.3. Principal Component Analysis (PCA) and Orthogonal Projections to Latent Structure-Discriminant Analysis (OPLS-DA) of Metabolites in Three Alpine Rhododendron Petals
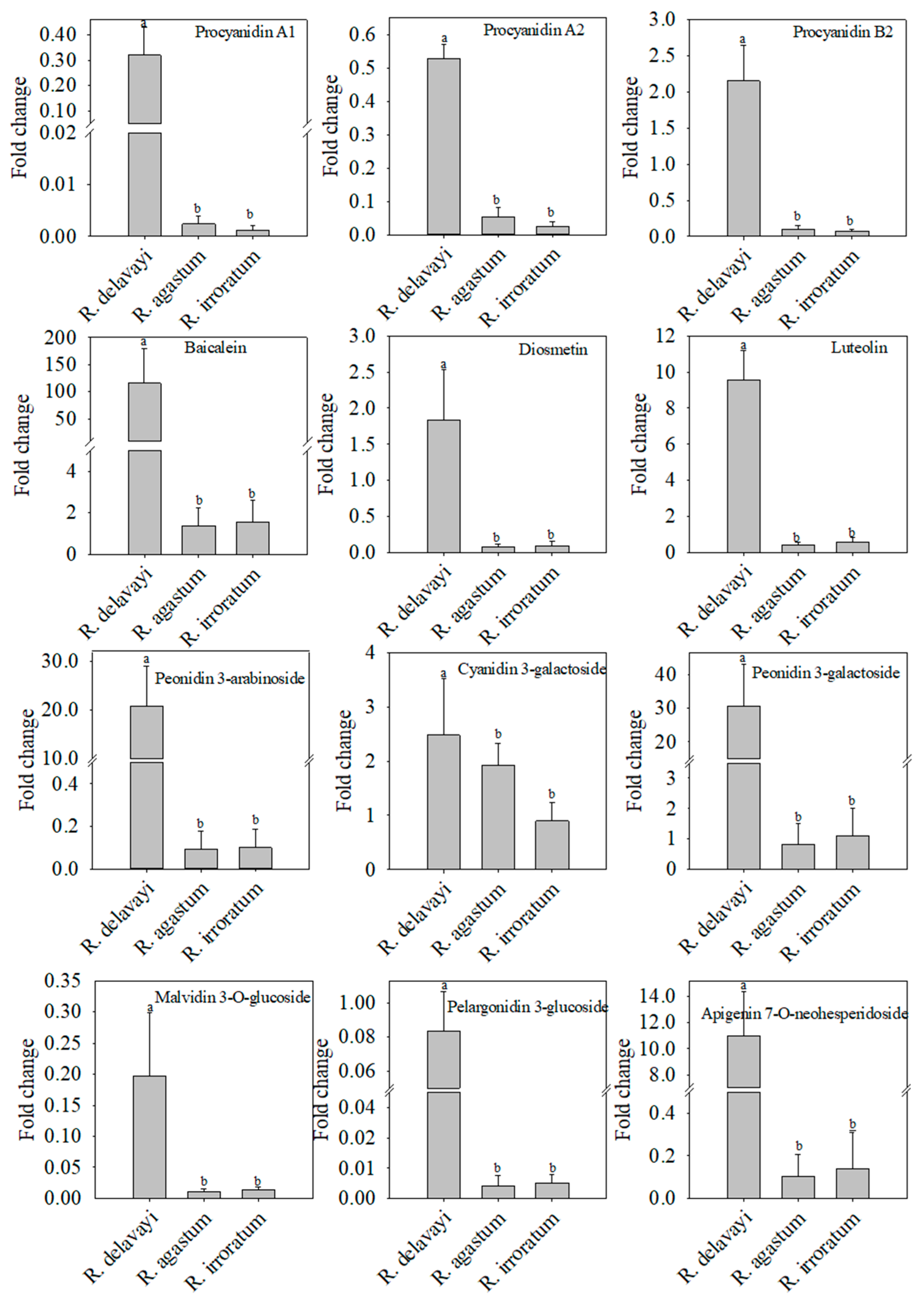
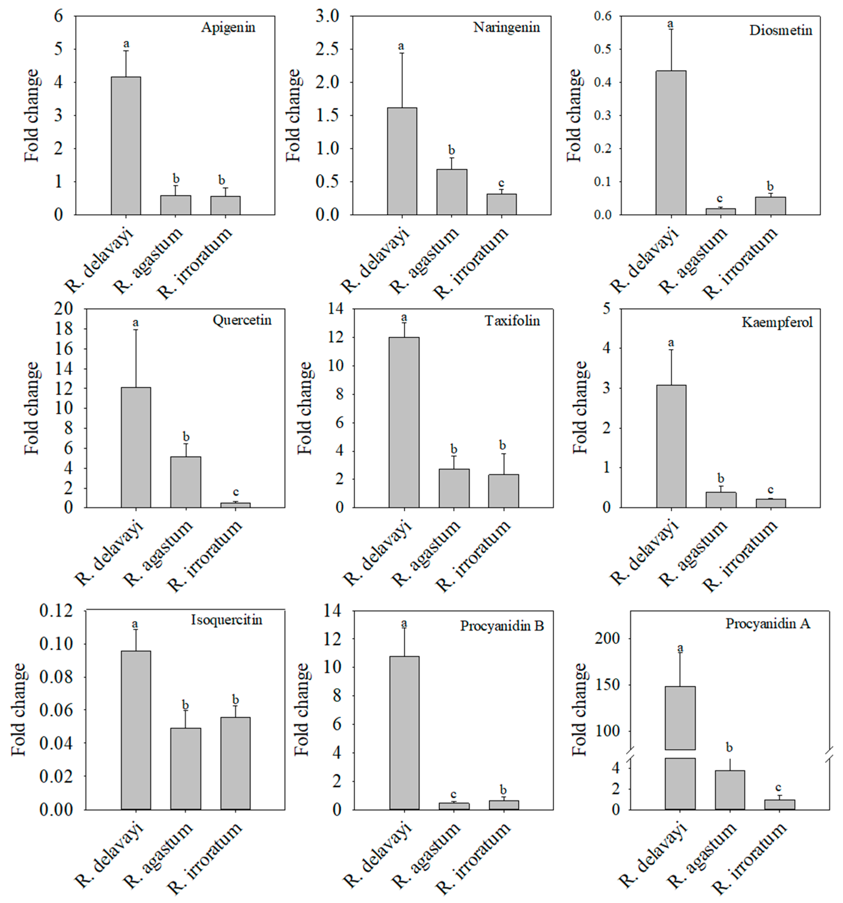
2.4. Differentially Abundant Metabolite Analysis
2.5. Screening of Flavonoid Metabolites with Potential Antifungal Effects
2.6. Inhibitory Concentrations of Exogenous Metabolites on the Mycelial Growth of N. clavispora
2.7. Inhibitory Effects of Baicalein, Diosmetin, and Naringenin on Petal Blight in Alpine Rhododendron
3. Discussion
3.1. Evaluation of Disease Resistance in Wild Trees and Flowers Can Be Conducted by Counting the Number of Diseased Flowers
3.2. Significant Differences in Endogenous Flavonoids Exist among Three Alpine Rhododendrons
3.3. Antifungal Effects of Baicalein, Diosmetin, and Naringenin on N. clavispora
4. Materials and Methods
4.1. Plant Materials and N. clavispora
4.2. Cultivation of Pathogenic Fungi
4.3. Fungal Infection and Disease Analysis
4.4. Determination of the Inhibitory Rate of Flavonoids on the Mycelial Growth of N. clavispora
4.5. Inhibition of Petal Blight by Metabolites in Rhododendron Species
4.6. Detection and Identification of Metabolites in the Petals of Alpine Rhododendrons
4.7. Data Preprocessing and Annotation
4.8. Principal Component Analysis (PCA) and Orthogonal Projections to Latent Structure-Discriminant Analysis (OPLS-DA)
4.9. Differentially Abundant Metabolite Screening
4.10. Statistical Analysis
5. Conclusions
Supplementary Materials
Author Contributions
Funding
Institutional Review Board Statement
Informed Consent Statement
Data Availability Statement
Acknowledgments
Conflicts of Interest
References
- Dong, J.; Bai, T.; Gao, Z.; Yang, S.; Zhang, J.; Wu, Y. Prediction of potential habitat areas of Rhododendron delavayi in China based on maximum entropy model MaxEnt. Front. For. Glob. Chang. 2024, 7, 1360823. [Google Scholar] [CrossRef]
- Pan, Y.; Quan, W.; Li, C.; Hao, J.; Gao, Y. Analysis of allelochemicals in the leaves of four alpine Rhododendrons by gas chromatography-mass spectrometry. BioResources 2021, 16, 3096–3102. [Google Scholar] [CrossRef]
- Jia, Z.; Li, W.; Tian, A.; Wang, J. Ecological influence of tourism disturbance on the characteristics of different communities in Baili Rhododendron forest. Acta Ecol. Sin. 2021, 41, 4641–4649. [Google Scholar] [CrossRef]
- Zhang, Y.; Wang, J.; Wang, X.; Wang, L.; Wang, Y.; Wei, J.; Niu, Z.; Jian, L.; Jin, B.; Chen, C.; et al. Population structures and dynamics of Rhododendron communities with different stages of succession in northwest Guizhou, China. Plants 2024, 13, 946. [Google Scholar] [CrossRef]
- Lv, X.; Hao, J.; Zhao, Y.; Li, C.; Quan, W. Seasonal variations of Low-Molecular-Weight organic acids in three evergreen broadleaf Rhododendron forests. Metabolites 2023, 13, 119. [Google Scholar] [CrossRef]
- Zha, H.G.; Milne, R.I.; Sun, H. Asymmetric hybridization in Rhododendron agastum: A hybrid taxon comprising mainly F1s in Yunnan, China. Ann. Bot. 2010, 105, 89–100. [Google Scholar] [CrossRef] [PubMed]
- Zhang, J.; Ma, Y.; Wu, Z.; Dong, K.; Zheng, S.; Wang, Y. Natural hybridization and introgression among sympatrically distributed Rhododendron species in Guizhou, China. Biochem. Syst. Ecol. 2017, 70, 268–273. [Google Scholar] [CrossRef]
- Rivera, M.C.; Wright, E.R. First report of azalea petal blight caused by pestalotiopsis guepini in argentina. Plant Dis. 2000, 84, 100. [Google Scholar] [CrossRef]
- Barboza, E.A.; Cabral, C.S.; Rossato, M.; Luz, E.D.M.N.; Reis, A. Morphologic, molecular, and pathogenic characterization of phytophthora palmivora isolates causing flower rot on azalea. Braz. J. Microbiol. 2020, 51, 1493–1503. [Google Scholar] [CrossRef]
- Mierziak, J.; Wojtasik, W. Epigenetic weapons of plants against fungal pathogens. BMC Plant Biol. 2024, 24, 175. [Google Scholar] [CrossRef]
- Chen, R.; Ma, D.; Bao, Y.; Wang, W.; Du, D.; Chen, X.; Dou, D.; Liang, X. Joint application of plant immunity-inducing elicitors and fungicides to control Phytophthora diseases. Phytopathol. Res. 2024, 6, 14. [Google Scholar] [CrossRef]
- Zhou, X.; Zeng, M.; Huang, F.; Qin, G.; Song, Z.; Liu, F. The potential role of plant secondary metabolites on antifungal and immunomodulatory effect. Appl. Microbiol. Biot. 2023, 107, 4471–4492. [Google Scholar] [CrossRef] [PubMed]
- Kumar, G.A.; Kumar, S.; Bhardwaj, R.; Swapnil, P.; Meena, M.; Seth, C.S.; Yadav, A. Recent advancements in multifaceted roles of flavonoids in plant–rhizomicrobiome interactions. Front. Plant Sci. 2024, 14, 1297706. [Google Scholar] [CrossRef] [PubMed]
- Wang, M.; Li, H.; Li, J.; Zhang, W.; Zhang, J. Streptomyces strains and their metabolites for biocontrol of phytopathogens in agriculture. J. Agric. Food Chem. 2024, 72, 2077–2088. [Google Scholar] [CrossRef] [PubMed]
- Allemailem, K. Antimicrobial potential of naturally occurring bioactive secondary metabolites. J. Pharm. Bioallied Sci. 2021, 13, 155. [Google Scholar] [CrossRef]
- Li, Y.; Zhao, J.; Gao, K. Activity of flavanones isolated from Rhododendron hainanense against plant pathogenic fungi. Nat. Prod. Commun. 2016, 11, 1934578X1601100. [Google Scholar] [CrossRef]
- Zhang, D.; Zhang, X.; Ding, Y.; Feng, D.; Fan, Y.; Ye, S. Effect of ginkgo biloba leaf flavonoids on the growth and enzymatic oxidation systems of penicillium expansum. Food Bioprocess Technol. 2024, 5, 1–13. [Google Scholar] [CrossRef]
- Bartmańska, A.; Wałecka-Zacharska, E.; Tronina, T.; Popłoński, J.; Sordon, S.; Brzezowska, E.; Bania, J.; Huszcza, E. Antimicrobial properties of spent hops extracts, flavonoids isolated therefrom, and their derivatives. Molecules 2018, 23, 2059. [Google Scholar] [CrossRef]
- Al-Huqail, A.A.; Behiry, S.I.; Salem, M.Z.M.; Ali, H.M.; Siddiqui, M.H.; Salem, A.Z.M. Antifungal, antibacterial, and antioxidant activities of Acacia saligna (Labill.) H. L. Wendl. Flower extract: HPLC analysis of phenolic and flavonoid compounds. Molecules 2019, 24, 700. [Google Scholar] [CrossRef]
- Duan, S.G.; Hong, K.; Tang, M.; Tang, J.; Liu, L.X.; Gao, G.F.; Shen, Z.J.; Zhang, X.M.; Yi, Y. Untargeted metabolite profiling of petal blight in field-grown Rhododendron Agastum using GC-TOF-MS and UHPLC-QTOF-MS/MS. Phytochemistry 2021, 184, 112655. [Google Scholar] [CrossRef]
- Singh, U.P.; Pandey, V.B.; Singh, K.N.; Singh, R.D.N. Antifungal activity of some new fiavones and fiavone glycosides of Echinops echinatus. Can. J. Bot. 1988, 66, 1901–1903. [Google Scholar] [CrossRef]
- Serpa, R.; França, E.J.G.; Furlaneto-Maia, L.; Andrade, C.G.T.J.; Diniz, A.; Furlaneto, M.C. In vitro antifungal activity of the flavonoid baicalein against Candida species. J. Med. Microbiol. 2012, 61, 1704–1708. [Google Scholar] [CrossRef]
- Meng, J.C.; Zhu, Q.X.; Tan, R.X. New antimicrobial mono-and sesquiterpenes from Soroseris hookeriana subsp. erysimoides. Planta Med. 2000, 66, 541–544. [Google Scholar] [CrossRef] [PubMed]
- Rocha, M.F.G.; Sales, J.A.; Da Rocha, M.G.; Galdino, L.M.; De Aguiar, L.; Pereira-Neto, W.D.A.; de Aguiar Cordeiro, R.; Castelo-Branco, D.d.S.C.M.; Sidrim, J.J.C.; Brilhante, R.S.N. Antifungal effects of the flavonoids kaempferol and quercetin: A possible alternative for the control of fungal biofilms. Biofouling 2019, 35, 320–328. [Google Scholar] [CrossRef]
- Li, A.P.; He, Y.H.; Zhang, S.Y.; Shi, Y.P. Antibacterial activity and action mechanism of flavonoids against phytopathogenic bacteria. Pestic. Biochem. Phys. 2022, 188, 105221. [Google Scholar] [CrossRef] [PubMed]
- Alves, C.T.; Ferreira, I.C.; Barros, L.; Silva, S.; Azeredo, J.; Henriques, M. Antifungal activity of phenolic compounds identified in flowers from north eastern portugal against Candida species. Future Microbiol. 2014, 9, 139–146. [Google Scholar] [CrossRef] [PubMed]
- Candelier, K.; Jay-Allemand, C.; Dijoux, R.; Ducruet, R.; Aznar, D.; Cayzac, C.; Bidel, L.P.R.; Kieny, E. Repellent properties against four Ascomycota species and Reticulitermes flavipes of acetonic extractives from Cedrus atlantica sapwood to inner heartwood fractions. Bois. For. Trop. 2023, 355, 87–98. [Google Scholar] [CrossRef]
- Hari, S.B.; Briste, P.S.; Sumi, A.A.; Mosharaf, M.K. Endophytic bacteria isolated from medicinal plants induce plant growth promotion and southern blight disease suppression in tomato. J. Plant Pathol. 2023, 105, 197–210. [Google Scholar] [CrossRef]
- Athinuwat, D.; Ruangwong, O.-U.; Harishchandra, D.L.; Pitija, K.; Sunpapao, A. Biological control activities of rhizosphere fungus trichoderma virens T1-02 in suppressing flower blight of flamingo flower (Anthurium andraeanum Lind.). J. Fungi 2024, 10, 66. [Google Scholar] [CrossRef]
- Alchemi, P.J.K.; Jamin, S. Impact of pestalotiopsis leaf fall disease on leaf area index and rubber plant production. IOP Conf. Ser. Earth Environ. Sci. 2022, 995, 012030. [Google Scholar] [CrossRef]
- Liu, Z.; Zhang, S.; Liu, J.; Xu, B.; Jia, X.; Xue, Y. Screening of powdery mildew-resistant varieties of Cucurbita pepo and its correlation with physiological traits. J. Gansu Agric. Univ. 2023, 58, 63–68. [Google Scholar] [CrossRef]
- Sultana, S.; Adhikary, S.K.; Islam, M.M.; Rahman, S.M.M. Evaluation of pathogenic variability based on leaf blotch disease development components of bipolaris sorokiniana in triticum aestivum and agroclimatic origin. Plant Pathol. J. 2018, 34, 93–103. [Google Scholar] [CrossRef]
- Wang, P.; Gu, M.; Shao, S.; Chen, X.; Hou, B.; Ye, N.; Zhang, X. Changes in non-volatile and volatile metabolites associated with heterosis in tea plants (Camellia sinensis ). J. Agric. Food Chem. 2022, 70, 3067–3078. [Google Scholar] [CrossRef] [PubMed]
- Cheng, D.; Kirk, H.; Mulder, P.P.J.; Vrieling, K.; Klinkhamer, P.G.L. Pyrrolizidine alkaloid variation in shoots and roots of segregating hybrids between Jacobaea vulgaris and Jacobaea aquatica. New Phytol. 2011, 192, 1010–1023. [Google Scholar] [CrossRef]
- Isidorov, V.A.; Stocki, M.; Vetchinikova, L. Inheritance of specific secondary volatile metabolites in buds of white birch Betula pendula and Betula pubescens hybrids. Trees 2019, 33, 1329–1344. [Google Scholar] [CrossRef]
- Jiang, L.; Wu, P.; Yang, L.; Liu, C.; Guo, P.; Wang, H.; Wang, S.; Xu, F.; Zhuang, Q.; Tong, X.; et al. Transcriptomics and metabolomics reveal the induction of flavonoid biosynthesis pathway in the interaction of stylosanthes-colletotrichum gloeosporioides. Genomics 2021, 113, 2702–2716. [Google Scholar] [CrossRef] [PubMed]
- Salazar-Aranda, R.; Granados-Guzmán, G.; Pérez-Meseguer, J.; González, G.; De Torres, N. Activity of polyphenolic compounds against Candida glabrata. Molecules 2015, 20, 17903–17912. [Google Scholar] [CrossRef]
- Sun, M.; Li, L.; Wang, C.; Wang, L.; Lu, D.; Shen, D.; Wang, J.; Jiang, C.; Cheng, L.; Pan, X.; et al. Naringenin confers defence against Phytophthora nicotianae through antimicrobial activity and induction of pathogen resistance in tobacco. Mol. Plant Pathol. 2022, 23, 1737–1750. [Google Scholar] [CrossRef]
- Boiteux, J.; Vargas, C.S.; Pizzuolo, P.; Lucero, G.; Silva, M.F. Phenolic characterization and antimicrobial activity of folk medicinal plant extracts for their applications in olive production. Electrophoresis 2014, 35, 1709–1718. [Google Scholar] [CrossRef]
- Sherwood, P.; Bonello, P. Austrian pine phenolics are likely contributors to systemic induced resistance against diplodia pinea. Tree Physiol. 2013, 33, 845–854. [Google Scholar] [CrossRef]
- Chen, H.; Zhang, S.; He, S.; A, R.; Wang, M.; Liu, S. The necrotroph botrytis cinerea promotes disease development in panax ginseng by manipulating plant defense signals and antifungal metabolites degradation. J. Ginseng Res. 2022, 46, 790–800. [Google Scholar] [CrossRef] [PubMed]
- Abuhammour, W.; Habte-Gabr, E. Systemic antifungal agents. Indian J. Pediatr. 2001, 68, 655–688. [Google Scholar] [CrossRef] [PubMed]
- Su, X.; Shi, R.; Li, X.; Yu, Z.; Hu, L.; Hu, H.; Zhang, M.; Chang, J.; Li, C. Friend or foe? The endophytic fungus Alternaria tenuissima might be a major latent pathogen involved in ginkgo leaf blight. Forests 2023, 14, 1452. [Google Scholar] [CrossRef]
- Brunskole, M.; Zorko, K.; Kerbler, V.; Martens, S.; Stojan, J.; Gobec, S.; Lanišnik Rižner, T. Trihydroxynaphthalene reductase of Curvularia lunata—A target for flavonoid action? Chem.-Biol. Interact. 2009, 178, 259–267. [Google Scholar] [CrossRef]
- Do, H.T.T.; Nguyen, T.H.; Nghiem, T.D.; Nguyen, H.T.; Choi, G.J.; Ho, C.T.; Le Dang, Q. Phytochemical constituents and extracts of the roots of Scutellaria baicalensis exhibit in vitro and in vivo control efficacy against various phytopathogenic microorganisms. S. Afr. J. Bot. 2021, 142, 1–11. [Google Scholar] [CrossRef]
- Ali, H.S.H.M.; Anwar, Y.; Rauf, A. Isolation, characterization, and in vitro antibacterial, antifungal, cytotoxicity studies of flavonoids isolated from galls of pistacia integerrima stewart. S. Afr. J. Bot. 2022, 148, 666–671. [Google Scholar] [CrossRef]
- Li, L.; Lu, H.; Zhang, X.; Whiteway, M.; Wu, H.; Tan, S.; Zang, J.; Tian, S.; Zhen, C.; Meng, X.; et al. Baicalein acts against Candida albicans by targeting Eno1 and inhibiting glycolysis. Microbiol. Spectr. 2022, 10, e02085-22. [Google Scholar] [CrossRef]
- Cao, Y.Y.; Dai, B.D.; Wang, Y.; Huang, S.; Xu, Y.G.; Cao, Y.B.; Gao, P.H.; Zhu, Z.Y.; Jiang, Y.Y. In vitro activity of baicalein against Candida albicans biofilms. Int. J. Antimicrob. Ag. 2008, 32, 73–77. [Google Scholar] [CrossRef]
- Dai, B.D.; Cao, Y.Y.; Huang, S.; Xu, Y.G.; Gao, P.H.; Wang, Y.; Jiang, Y.Y. Baicalein induces programmed cell death in Candida albicans. J. Microbiol. Bioteshn. 2009, 19, 803–809. [Google Scholar] [CrossRef]
- Rahman, M.; Alam, A.; Naher, N.; Sharifuzzaman, S.; Uddin, M. Reaction of barley genotypes to Bipolaris Sorokiniana. Bangladesh J. Agric. Res. 1970, 36, 123–128. [Google Scholar] [CrossRef]
- Li, J. Transcriptome and Metabolome Analysis of Rhododendron Petals on Alternaria Alternaria Infection and Antibacterial Activity of Plant Derived Preparations. Master’s Thesis, Guizhou Normal University, Guiyang, China, 2023; pp. 12–17. Available online: https://www.cnki.net (accessed on 1 March 2023).
- Dunn, W.B.; Broadhurst, D.; Begley, P.; Zelena, E.; Francis-McIntyre, S.; Anderson, N.; Brown, M.; Knowles, J.D.; Halsall, A.; Haselden, J.N.; et al. Procedures for large-scale metabolic profiling of serum and plasma using gas chromatography and liquid chromatography coupled to mass spectrometry. Nat. Protoc. 2011, 6, 1060–1083. [Google Scholar] [CrossRef] [PubMed]









| Metabolites | Chemical Formula | Antifungal Activity | References |
|---|---|---|---|
| Apigenin | C15H10O5 | Alternaria tenuissima | [21] |
| Apigenin 7-O-neohesperidoside | C27H30O14 | / | / |
| Baicalein | C21H18O11 | Candida albicans, Candida tropicalis and Candida parapsilosis | [22] |
| Cyanidin 3-galactoside | C21H21O11 | / | / |
| Diosmetin | C16H12O6 | Bacillus subtilis and Trichophyton rubrum | [23] |
| Isoquercitin | C21H20O12 | / | / |
| Kaempferol | C15H10O6 | C. parapsilosis | [24] |
| Luteolin | C15H10O6 | / | / |
| Malvidin 3-O-glucoside | C23H25O12 | / | / |
| Naringenin | C15H12O5 | Phytophthora nicotianae | [25] |
| Naringenin-7-O-Glucoside | C21H22O10 | / | / |
| Pelargonidin 3-glucoside | C27H31O15 | / | / |
| Peonidin 3-arabinoside | C21H21O10 | / | / |
| Peonidin 3-galactoside | C22H23O11 | / | / |
| Procyanidin A | C30H24O12 | / | / |
| Procyanidin A1 | C30H24O12 | / | / |
| Procyanidin A2 | C30H24O12 | / | / |
| Procyanidin B | C30H26O12 | / | / |
| Procyanidin B2 | C30H26O12 | / | / |
| Quercetin | C15H10O7 | C. parapsilosis and Colletotrichum gloeosporioides | [24,26] |
| Taxifolin | C15H12O7 | Mycosphaerella graminicola | [27] |
Disclaimer/Publisher’s Note: The statements, opinions and data contained in all publications are solely those of the individual author(s) and contributor(s) and not of MDPI and/or the editor(s). MDPI and/or the editor(s) disclaim responsibility for any injury to people or property resulting from any ideas, methods, instructions or products referred to in the content. |
© 2024 by the authors. Licensee MDPI, Basel, Switzerland. This article is an open access article distributed under the terms and conditions of the Creative Commons Attribution (CC BY) license (https://creativecommons.org/licenses/by/4.0/).
Share and Cite
Shi, X.; Wang, Y.; Gong, S.; Liu, X.; Tang, M.; Tang, J.; Sun, W.; Yi, Y.; Gong, J.; Zhang, X. The Preliminary Analysis of Flavonoids in the Petals of Rhododendron delavayi, Rhododendron agastum and Rhododendron irroratum Infected with Neopestalotiopsis clavispora. Int. J. Mol. Sci. 2024, 25, 9605. https://doi.org/10.3390/ijms25179605
Shi X, Wang Y, Gong S, Liu X, Tang M, Tang J, Sun W, Yi Y, Gong J, Zhang X. The Preliminary Analysis of Flavonoids in the Petals of Rhododendron delavayi, Rhododendron agastum and Rhododendron irroratum Infected with Neopestalotiopsis clavispora. International Journal of Molecular Sciences. 2024; 25(17):9605. https://doi.org/10.3390/ijms25179605
Chicago/Turabian StyleShi, Xiaoqian, Yizhen Wang, Su Gong, Xianlun Liu, Ming Tang, Jing Tang, Wei Sun, Yin Yi, Jiyi Gong, and Ximin Zhang. 2024. "The Preliminary Analysis of Flavonoids in the Petals of Rhododendron delavayi, Rhododendron agastum and Rhododendron irroratum Infected with Neopestalotiopsis clavispora" International Journal of Molecular Sciences 25, no. 17: 9605. https://doi.org/10.3390/ijms25179605
APA StyleShi, X., Wang, Y., Gong, S., Liu, X., Tang, M., Tang, J., Sun, W., Yi, Y., Gong, J., & Zhang, X. (2024). The Preliminary Analysis of Flavonoids in the Petals of Rhododendron delavayi, Rhododendron agastum and Rhododendron irroratum Infected with Neopestalotiopsis clavispora. International Journal of Molecular Sciences, 25(17), 9605. https://doi.org/10.3390/ijms25179605

