Sign in to use this feature.

Years

Between: -

Subjects

remove_circle_outline
remove_circle_outline
remove_circle_outline
remove_circle_outline
remove_circle_outline
remove_circle_outline
remove_circle_outline
remove_circle_outline
remove_circle_outline

Journals

remove_circle_outline
remove_circle_outline
remove_circle_outline
remove_circle_outline
remove_circle_outline
remove_circle_outline
remove_circle_outline

Article Types

Countries / Regions

remove_circle_outline
remove_circle_outline
remove_circle_outline
remove_circle_outline
remove_circle_outline
remove_circle_outline

Search Results (693)

Search Parameters:
Keywords = naringenin

Order results
Result details
Results per page
Select all
Export citation of selected articles as:
16 pages, 1145 KB  
Article
Untargeted Metabolomics Unravel the Effect of SlPBB2 on Tomato Fruit Quality and Associated Plant Metabolism
by Cuicui Wang, Lihua Jin, Daqi Fu and Weina Tian
Metabolites 2026, 16(1), 68; https://doi.org/10.3390/metabo16010068 - 12 Jan 2026
Viewed by 74
Abstract
Background: Proteasomes are protein complexes that mediate proteolysis to degrade unneeded or damaged proteins, and they play an indispensable role in plant growth and development. However, their regulatory effects on tomato fruit quality and the underlying metabolic mechanisms remain largely elusive. This study [...] Read more.
Background: Proteasomes are protein complexes that mediate proteolysis to degrade unneeded or damaged proteins, and they play an indispensable role in plant growth and development. However, their regulatory effects on tomato fruit quality and the underlying metabolic mechanisms remain largely elusive. This study aimed to elucidate the metabolic regulatory mechanisms of proteasomes in tomato fruits through untargeted metabolome analysis. Methods: An untargeted metabolomics approach was employed to profile the metabolic changes in tomato fruits. Metabolites were detected and identified under both positive and negative ion modes. Metabolic profiles were compared between wild-type (WT) tomato fruits and SlPBB2 RNA interference (SlPBB2-RNAi) lines. Specifically, the SlPBB2-RNAi line refers to a transgenic tomato line constructed via Agrobacterium-mediated transformation, where the expression of the proteasome component gene SlPBB2 was stably downregulated by RNA interference technology to clarify its regulatory role in fruit metabolism. KEGG enrichment analysis was performed to annotate the functions of differential metabolites. Results: A total of 568 and 333 metabolites were identified in positive and negative ion modes, respectively. Comparative analysis revealed 43 differentially abundant metabolites between WT and SlPBB2-RNAi fruits, including D-glucose, pyruvic acid, leucine, and naringenin. KEGG enrichment analysis further identified key metabolites involved in the carbon fixation pathway of photosynthetic organisms, with L-malic acid being a prominent representative. Reduced accumulation of D-glucose and pyruvic acid in SlPBB2-RNAi fruits suggested the inhibition of the citrate cycle, a core pathway in cellular energy metabolism. This metabolic perturbation was associated with decreased chlorophyll content in SlPBB2-RNAi plants, implying impaired photosynthetic carbon fixation and energy metabolism. Conclusions: This study uncovers the metabolic regulatory role of SlPBB2-mediated proteasome function in tomato fruits, providing novel insights into the link between proteasomal activity and fruit metabolic homeostasis from a metabolomic perspective. These findings offer new theoretical foundations for developing strategies to improve tomato nutritional quality. Full article
15 pages, 3291 KB  
Article
Investigating the Therapeutic Effects of Naringenin and Oleuropein on Prostate Cancer Cell Mat-LyLu via miR-155-5p: A Bioinformatics and Molecular Docking Analysis of KRAS and CDK2 Networks
by Cigdem Gungormez
Genes 2026, 17(1), 79; https://doi.org/10.3390/genes17010079 - 9 Jan 2026
Viewed by 195
Abstract
Background: This study systematically investigates the therapeutic effects of naringenin (NAR) and oleuropein (OLE) on prostate cancer through miR-155-5p regulation. Methods: Experimental studies conducted on MAT-LyLu prostate cancer cell lines revealed that the application of NAR (50 μM) and OLE (75 μM) significantly [...] Read more.
Background: This study systematically investigates the therapeutic effects of naringenin (NAR) and oleuropein (OLE) on prostate cancer through miR-155-5p regulation. Methods: Experimental studies conducted on MAT-LyLu prostate cancer cell lines revealed that the application of NAR (50 μM) and OLE (75 μM) significantly increased miR-155-5p expression by 2.89-fold and 1.74-fold, respectively (p < 0.05). Bioinformatics analyses have indicated that miR-155-5p interacts with critical oncogenic pathways such as KRAS, CDK2, NF-κB, and TGF-β/Smad2. Computational analyses have revealed that miR-155-5p interacts with 16 critical oncogenic targets, including KRAS and CDK2. Molecular docking studies showed that NAR binds to the Switch I/II region of KRAS with a binding energy of −8.2 kcal/mol, while OLE binds to the ATP-binding pocket of CDK2 with an affinity of −9.1 kcal/mol. Pharmacokinetic evaluations revealed that NAR indicated high oral bioavailability (93.763% HIA) and full compliance with Lipinski’s rules, while OLE required advanced formulation strategies due to its high polarity. Network pharmacology analyses have shown that NAR affects lysosomal functions and enzyme regulation, while OLE affects G protein-coupled receptors and oxidoreductase activity. Results: Results indicate that NAR and OLE exhibit antitumor effects through multiple mechanisms by increasing miR-155-5p expression and inhibiting critical oncogenic targets in prostate cancer. Conclusion: Findings suggest that the dietary intake of these natural compounds (citrus and olive products) should be considered in prostate cancer prevention strategies, shedding light on the epigenetic mechanisms of polyphenols in cancer treatment and contributing to the development of new therapeutic strategies. Full article
(This article belongs to the Section Bioinformatics)
30 pages, 4357 KB  
Article
Development of a pH-Responsive Delivery System Suitable for Naringenin and Other Hydrophobic Flavonoids Using the Interactions Between Basil Seed Gum and Milk Protein Complexes
by Ruwanthi Premathilaka, Matt Golding, Jaspreet Singh and Ali Rashidinejad
Foods 2026, 15(2), 201; https://doi.org/10.3390/foods15020201 - 7 Jan 2026
Viewed by 170
Abstract
Incorporating hydrophobic flavonoids such as naringenin into food systems is challenging due to their poor water solubility and instability. Effective delivery systems are essential to improve solubility, dispersibility, and controlled release during digestion. This study developed a food-grade encapsulation system using basil seed [...] Read more.
Incorporating hydrophobic flavonoids such as naringenin into food systems is challenging due to their poor water solubility and instability. Effective delivery systems are essential to improve solubility, dispersibility, and controlled release during digestion. This study developed a food-grade encapsulation system using basil seed gum water-soluble extract (BSG-WSE) combined with proteins, sodium caseinate (NaCas) and whey protein isolate (WPI), via pH-driven and mild heat treatments in aqueous media, without the use of organic solvents, to ensure safety and sustainability. BSG-WSE and NaCas were tested at mass ratios of 1:1, 1:3, and 1:5 under pH conditions of 4, 5, and 7, followed by heat treatments at 60 °C or 80 °C for 30 min. The total biopolymer concentrations were 0.15%, 0.3%, and 0.45% (w/v). The most stable colloidal system was obtained at a 1:1 ratio, pH 4, and 60 °C, which was further evaluated for two additional flavonoids (rutin and quercetin) and with WPI as an alternative protein source. The highest loading capacity (11.18 ± 0.17%) and encapsulation efficiency (72.50 ± 0.85%) were achieved for naringenin under these conditions. Quercetin exhibited superior performance, with a loading capacity of 14.1 ± 3.12% and an encapsulation efficiency of 94.36 ± 5.81%, indicating a stronger affinity for the delivery system. WPI showed lower encapsulation efficiency than NaCas. Ternary systems (BSG-WSE, NaCas, and naringenin) formed under different pH and heat treatments displayed distinct morphologies and interactions. The pH 4 system demonstrated good dispersion and pH-responsive release of naringenin, highlighting its potential as a delivery vehicle for hydrophobic flavonoids. BSG-WSE significantly improved the stability of protein-based complexes formed via pH-driven assembly. Physicochemical characterization, rheological analysis, and release studies suggest that this system is particularly suitable for semi-solid food products such as yogurt or emulsions, supporting its application in functional food development. Full article
Show Figures

Figure 1

24 pages, 2995 KB  
Article
Modified Flavonoids with Diamines and Polyamines Provide Enhanced Fluorescence and Antimicrobial Activity
by Sevasti Matsia and Athanasios Salifoglou
Int. J. Mol. Sci. 2026, 27(1), 253; https://doi.org/10.3390/ijms27010253 - 25 Dec 2025
Viewed by 223
Abstract
Development of new biologically active materials based on natural products has, over the years, attracted considerable attention due to their effectiveness in human health and disease. Polyphenolic compounds, particularly flavonoids, provide a wide range of health benefits, including antioxidant, anti-inflammatory, anticancer, and antibacterial [...] Read more.
Development of new biologically active materials based on natural products has, over the years, attracted considerable attention due to their effectiveness in human health and disease. Polyphenolic compounds, particularly flavonoids, provide a wide range of health benefits, including antioxidant, anti-inflammatory, anticancer, and antibacterial properties. A series of novel Schiff base derivatives of flavonoids with amino-containing linkers was successfully designed and synthesized through condensation reactions. Naringin and naringenin derivatives with diamines, including ethylenediamine (EDA), 1,3-diamino-2-propanol (DA-2-PrOH), tetramethylenediamine (TMEDA), pentamethylenediamine (PMEDA), as well as polyamines spermidine (SPD) and spermine (SPM), were synthesized and well-characterized through FT-IR, UV–Visible, ESI–MS, 1H and 13C NMR spectroscopy, and elemental analysis. The so confirmed and well-characterized derivatives were subjected to photoluminescence studies, exhibiting enhanced activity, especially for naringin-based derivatives, and quenching in some others, thus verifying the significance of chemically modifying the conjugated systems of these molecules. Their biological activity was examined in the case of their antimicrobial efficacy against two Gram (+) (Staphylococcus aureus and Bacillus cereus) and two Gram (−) (Escherichia coli and Xanthomonas campestris) bacterial strains. Antibacterial screening projected selectivity of modified flavonoids against E. coli, proposing new “dense” flavonoid-(poly)amine materials as multifunctional antimicrobial agents and fluorescent probes. Full article
(This article belongs to the Section Molecular Pharmacology)
Show Figures

Graphical abstract

19 pages, 7490 KB  
Article
Bioactive Ingredient Profiling of Dendrobium officinale: Plant-Part-Specific Distribution of Key Metabolites and Their Multi-Disease Therapeutic Potential
by Yue Yang, Yongxin Guan, Shasha Li and Yingchao Xu
Metabolites 2026, 16(1), 10; https://doi.org/10.3390/metabo16010010 - 22 Dec 2025
Viewed by 436
Abstract
Background/Objectives: Dendrobium officinale is a valuable medicinal orchid. However, the metabolic profiles of its leaves and flowers remain poorly characterized. This highlights the need for comprehensive analysis of stems, leaves, and flowers to reveal plant-part-specific bioactive compounds and expand whole-plant utilization. Methods: [...] Read more.
Background/Objectives: Dendrobium officinale is a valuable medicinal orchid. However, the metabolic profiles of its leaves and flowers remain poorly characterized. This highlights the need for comprehensive analysis of stems, leaves, and flowers to reveal plant-part-specific bioactive compounds and expand whole-plant utilization. Methods: An integrative metabolomic approach based on UHPLC–MS/MS was employed to systematically characterize secondary metabolite profiles in different parts of D. officinale, including stems (DOS), leaves (DOL), and flowers (DOF). Results: A total of 761 metabolites, predominantly flavonoids (30.6%), alkaloids (20.2%), phenolic acids (12.2%), and terpenoids (9.3%), were identified. The most abundant metabolites were detected in DOF (634), followed by DOL (598) and DOS (586). Total flavonoid and alkaloid contents were the highest in DOF, reaching 0.86 and 0.62 mg·g−1 DW, respectively. Screening identified 74 key active ingredients (KAI) and 83 active pharmaceutical ingredients (API) and demonstrated potential efficacy against six major human diseases. Among these, gardenoside and phloroglucinol were uniquely present in leaves, whereas 12 KAIs and 16 APIs were specific to DOF. Quercetin, a compound associated with more than 90 disease-related entries, was exclusively detected in DOF. Multivariate analyses revealed clear separation among the three plant parts. Furthermore, 15 metabolites with VIP > 1, including pinobanksin and naringenin, exhibited distinct plant-part-specific accumulation patterns. Additionally, potential plant-part-specific biomarkers were identified. Conclusions: This study presents a comprehensive plant-part-specific metabolomic profile of D. officinale, revealing that its flowers and leaves are particularly enriched in bioactive flavonoids and alkaloids. The findings reveal the remarkable metabolic diversity and functional potential of D. officinale, providing essential chemical insights that support the whole plant’s broader medicinal and biotechnological applications. Full article
(This article belongs to the Section Pharmacology and Drug Metabolism)
Show Figures

Figure 1

12 pages, 1286 KB  
Article
Study on the Competitive Substitution of Four Polyphenolic Compounds on the HSA-Bound α-Zearalenol In Vitro Simulated Modeling
by Cheng Chen, Lu Chen, Hongyuan Zhou, Xiao Li Shen and Liang Ma
Toxins 2026, 18(1), 7; https://doi.org/10.3390/toxins18010007 - 22 Dec 2025
Viewed by 263
Abstract
α-Zearalenol (α-ZOL), the primary metabolite of zearalenone (ZEN), is a prevalent mycotoxin in agricultural products (e.g., corn, wheat) and poses health risks due to its toxicity. However, strategies to mitigate its toxicity are needed. Therefore, this study aims to determine whether selected polyphenols [...] Read more.
α-Zearalenol (α-ZOL), the primary metabolite of zearalenone (ZEN), is a prevalent mycotoxin in agricultural products (e.g., corn, wheat) and poses health risks due to its toxicity. However, strategies to mitigate its toxicity are needed. Therefore, this study aims to determine whether selected polyphenols (quercetin, baicalin, rosmarinic acid, naringenin) can competitively displace α-ZOL from human serum albumin (HSA) and to clarify the interaction mechanisms. The results showed that competitive interactions between α-ZOL, HSA, and the polyphenols were observed. The polyphenols bound HSA more tightly than α-ZOL (higher Ka) and significantly reduced α-ZOL’s Ka, indicating direct competition. Moreover, as evidenced by synchronous fluorescence, the polyphenols altered the microenvironments of tyrosine and tryptophan residues, directly impacting α-ZOL binding. The HPLC-ultrafiltration results revealed that the polyphenols tested competitively displaced α-ZOL from HSA, with the relative potency of quercetin ≈ baicalin > rosmarinic acid > naringenin. Collectively, our competitive binding assays demonstrate that quercetin, baicalin, rosmarinic acid, and naringenin competitively displace α-ZOL from its binding site(s) on HSA. Thus, our study not only suggests a novel mechanism to alleviate the toxicity of ZEN and α-ZOL but also provides a scientific basis for developing dietary interventions against these mycotoxins. Full article
Show Figures

Figure 1

15 pages, 8303 KB  
Article
Screening of Characteristic Metabolites in Bee Pollen from Different Floral Sources Based on High-Resolution Mass Spectrometry
by Lanhua Liu, Zhiwei Sun, Aiyuan Liang, Run Zhang, Siqi He, Yaling He, Min Zhang, Xingjiang Li and Xuefeng Wu
Foods 2025, 14(24), 4305; https://doi.org/10.3390/foods14244305 - 14 Dec 2025
Viewed by 349
Abstract
Bee pollen is a natural nutrient substance collected by bees from plants. Its metabolites have been extensively studied, yet the characteristic metabolites of bee pollen from different floral sources have not been clearly identified. In this study, we collected four types of bee [...] Read more.
Bee pollen is a natural nutrient substance collected by bees from plants. Its metabolites have been extensively studied, yet the characteristic metabolites of bee pollen from different floral sources have not been clearly identified. In this study, we collected four types of bee pollen (tea, rose, rapeseed, and corn pollen) from across China and analyzed their volatile and non-volatile metabolites using liquid chromatography-high-resolution mass spectrometry (LC-HRMS) and gas chromatography-mass spectrometry (GC-MS). At the same time, the nutritional substances (Including polyphenols, organic acids, and sugars) were precisely quantified. The results showed that the total phenols (5 mg GAE/g) and total flavonoids (0.27 mg RE/g) content of corn pollen were significantly higher (p < 0.05) than those of other pollens, and the contents of polyphenols such as naringenin were relatively high, indicating strong antioxidant potential. Rose pollen was rich in protein (0.04 g/g) and flavonoid glycosides. Tea pollen was prominent in the content of polyphenol glycosides and amino acid derivatives, while rapeseed pollen performed well in phenolic acids (Ferulic acid), as well as specific sugar (Mannose). We identified the differential metabolites of these bee pollen through orthogonal partial least squares discriminant analysis (OPLS-DA) (VIP > 1). It was also stipulated that metabolites with a VIP value greater than 1.5 showed significant differences and could be used as characteristic metabolites for differentiating pollen (p < 0.05). The representative metabolites of bee pollen were as follows: rapeseed pollen—ferulic acid; tea pollen—malic acid; corn pollen—epicatechin; and rose pollen—fumaric acid. This study provides a research basis for evaluating the quality, traceability, and metabolite exploration of bee pollen. Full article
(This article belongs to the Section Food Analytical Methods)
Show Figures

Figure 1

25 pages, 5324 KB  
Article
Aqueous Extract of Bacopa procumbens and the NAPEL Formulation Mitigate MPTP-Induced Neurotoxicity via Nrf2/HSF1/HIF-1α Signaling in a Parkinson’s Disease Model
by Maribel Pérez-Rodríguez, Salvador Pérez-Mora, Marvin A. Soriano-Ursúa, María del Consuelo Gómez-García, Yazmin Montserrat Flores-Martinez, Juan Ocampo-López, Absalom Zamorano-Carrillo, José Manuel Viveros-Bartolomé and David Guillermo Pérez-Ishiwara
Int. J. Mol. Sci. 2025, 26(24), 11914; https://doi.org/10.3390/ijms262411914 - 10 Dec 2025
Viewed by 846
Abstract
Parkinson’s disease (PD) is a progressive neurodegenerative disorder characterized by dopaminergic neuron degeneration in the substantia nigra and striatum. Current treatments are largely palliative and frequently associated with adverse effects. This study aimed to evaluate the neuroprotective potential of an aqueous extract of [...] Read more.
Parkinson’s disease (PD) is a progressive neurodegenerative disorder characterized by dopaminergic neuron degeneration in the substantia nigra and striatum. Current treatments are largely palliative and frequently associated with adverse effects. This study aimed to evaluate the neuroprotective potential of an aqueous extract of Bacopa procumbens (B. procumbens) and the NAPEL formulation—composed of five neuroactive compounds (Naringenin, Apigenin, Paeoniflorin, (−)-Epicatechin, and Lupeol)—in a murine model of MPTP-induced parkinsonism. Behavioral, histological, and molecular parameters were examined to elucidate underlying mechanisms of neuroprotection. Male mice received MPTP to induce parkinsonism, followed by oral administration of B. procumbens extract or NAPEL. Motor function was assessed through open-field-related parameters. Substantia nigra neuronal morphology was analyzed histologically. Molecular analyses focused on the Keap1/Nrf2/ARE pathway, HSF1, HIF-1α, antioxidant enzymes, and lipid peroxidation. Additionally, in silico analyses (GeneMANIA, STRING) were performed to explore regulatory networks associated with Nrf2, HSF1, and HIF-1α. The aqueous extract significantly improved motor performance, increased rearing events, enhanced central exploration, and increased total distance traveled. It preserved neuronal number and soma diameter in the substantia nigra. Molecularly, the extract activated the Keap1/Nrf2/ARE axis and induced HSF1 and HIF-1α, accompanied by increased SOD-1, CAT, and GSR expression and reduced lipid peroxidation. NAPEL also produced behavioral and histological improvements but did not activate Nrf2, HSF1, or HIF-1α nor notably elevate antioxidant enzymes, except for CAT in the striatum. In silico analyses identified Nrf2, HSF1, and HIF-1α as central nodes integrating oxidative stress, proteostasis, hypoxia, inflammation, and apoptotic responses. These findings support the neuroprotective potential of both B. procumbens aqueous extract and the NAPEL formulation, highlighting their value as promising therapeutic candidates for Parkinson’s disease. Full article
(This article belongs to the Section Molecular Pharmacology)
Show Figures

Figure 1

21 pages, 1046 KB  
Article
Aqueous Leaf Extracts of Bauhinia cheilantha (Bong.) Steud.: Phytochemical Profile, Antioxidant Activity and In Vitro Safety Evaluation
by Palloma Lima de Oliveira, José Rafael da Silva Araújo, Camila Marinho da Silva, Kyria Cilene de Andrade Bortoleti, Silvany de Sousa Araújo, Márcia Vanusa da Silva, Dráulio Costa da Silva, Marcos dos Santos Lima, Ana Paula de Oliveira and Ana Christina Brasileiro-Vidal
Drugs Drug Candidates 2025, 4(4), 54; https://doi.org/10.3390/ddc4040054 - 8 Dec 2025
Viewed by 226
Abstract
Background/Objectives: Bauhinia cheilantha Bong. Steud. (Leguminosae; “pata-de-vaca”) is traditionally used in folk medicine for its antidiabetic, anti-inflammatory, and sedative properties. This study aimed to evaluate aqueous leaf extracts of B. cheilantha, non-delipidated and delipidated, regarding their phytochemical composition, phenolic profile, antioxidant potential, [...] Read more.
Background/Objectives: Bauhinia cheilantha Bong. Steud. (Leguminosae; “pata-de-vaca”) is traditionally used in folk medicine for its antidiabetic, anti-inflammatory, and sedative properties. This study aimed to evaluate aqueous leaf extracts of B. cheilantha, non-delipidated and delipidated, regarding their phytochemical composition, phenolic profile, antioxidant potential, and cytotoxic, genotoxic, and antigenotoxic effects. Methods: Phytochemical screening was performed by TLC, and phenolic compounds were determined by HPLC. Antioxidant activity was assessed using DPPH, ABTS, and phosphomolybdenum assays. Cytotoxicity, genotoxicity, and antigenotoxicity were evaluated in L929 murine fibroblast cells using MTT and cytokinesis-block micronucleus (CBMN) assays. Results: Both extracts contained anthocyanins, phenolics, lignans, saponins, and hydrolyzable tannins. The delipidated extract showed higher total phenolic content (17.54 mg/kg) than the non-delipidated (13.76 mg/kg). Major constituents included kaempferol 3-glucoside, quercetin, hesperidin, naringenin, and t-cinnamic acid. Antioxidant assays revealed EC50 values of 25.84, 13.60, and 66.09 µg/mL for the non-delipidated extract, and 26.19, 16.34, and 52.78 µg/mL for the delipidated extract in the DPPH, ABTS, and phosphomolybdenum assays, respectively. No cytotoxicity was observed, except at 1600 µg/mL for the non-delipidated extract and 800–1600 µg/mL for the delipidated extract. Genotoxicity occurred only at 400 µg/mL. Antigenotoxic evaluation showed that the non-delipidated extract (100 µg/mL) reduced methyl methanesulfonate-induced chromosomal damage in simultaneous and post-treatment conditions, while the delipidated extract was only effective for post-treatment. Conclusions: Aqueous extracts of B. cheilantha exhibit antioxidant and antigenotoxic properties. At active concentrations, they were non-cytotoxic and non-genotoxic. The non-delipidated extract, in particular, showed the strongest genome-protective potential, supporting its traditional use and highlighting its relevance in the development of natural therapeutic agents. Full article
(This article belongs to the Section Drug Candidates from Natural Sources)
Show Figures

Figure 1

30 pages, 9345 KB  
Article
Naringin and Naringenin Functionalized Silver Nanoparticles: Synthesis, Characterization and Biological Evaluation
by Ozana-Andreea Măriuț, Cornelia Mircea, Bianca Ivănescu, Irina Macovei, Adrian Fifere, Irina Roșca, Ioana-Andreea Turin-Moleavin, Ana Flavia Burlec, Monica Hăncianu and Andreia Corciovă
Pharmaceutics 2025, 17(12), 1569; https://doi.org/10.3390/pharmaceutics17121569 - 5 Dec 2025
Viewed by 562
Abstract
Background/Objectives: Flavonoids have been extensively investigated as reducing and stabilizing agents in the green synthesis of metallic nanoparticles. However, studies specifically employing pure naringin (NG) and naringenin (NGN) remain relatively scarce. Methods: In the present work, silver nanoparticles (AgNPs) were synthesized [...] Read more.
Background/Objectives: Flavonoids have been extensively investigated as reducing and stabilizing agents in the green synthesis of metallic nanoparticles. However, studies specifically employing pure naringin (NG) and naringenin (NGN) remain relatively scarce. Methods: In the present work, silver nanoparticles (AgNPs) were synthesized under controlled laboratory conditions using NG and NGN as bioreductants, and critical parameters governing nanoparticle formation were optimized. The synthesized AgNPs were comprehensively characterized using ultraviolet–visible (UV–Vis) spectroscopy, dynamic light scattering (DLS), scanning transmission electron microscopy (STEM), energy-dispersive X-ray spectroscopy (EDX), and Fourier-transform infrared spectroscopy (FTIR). Results: The characterization analyses confirmed the successful formation of predominantly spherical AgNPs with average particle sizes of 17 nm (AgNG) and 20.4 nm (AgNGN). DLS analysis indicated zeta potentials of approximately −30 mV and PDIs of 0.45 (AgNG) and 0.29 (AgNGN), consistent with stable colloidal dispersions. Biological evaluations revealed that both AgNP systems exhibited notable antioxidant and antimicrobial activities. Furthermore, cytogenetic assessment using the Allium cepa assay demonstrated concentration-dependent alterations in mitotic index and chromosomal integrity, indicating biological activity at cellular level. Conclusions: Collectively, these results underscore the potential of flavonoid-mediated synthesis as an eco-friendly and effective approach for generating stable, bioactive nanomaterials with promising biological applications. Full article
Show Figures

Figure 1

16 pages, 740 KB  
Article
A 100 mg/kg Dose of Naringenin as an Anti-Obesity Agent for Eight Weeks Exerts No Apparent Hepatotoxic or Nephrotoxic Effects in Wistar Rats
by Gabriela López-Almada, J. Abraham Domínguez-Avila, Gustavo A. González-Aguilar, Rosario Maribel Robles-Sánchez and Norma Julieta Salazar-López
Foods 2025, 14(23), 4083; https://doi.org/10.3390/foods14234083 - 28 Nov 2025
Viewed by 527
Abstract
Naringenin (NAR) is a naturally occurring flavanone characteristic of citrus fruits and other foods whose anti-obesity effects have been reported. As a dietary xenobiotic, it is metabolized and excreted mainly by the liver and kidneys, respectively. Since an organism does not normally consume [...] Read more.
Naringenin (NAR) is a naturally occurring flavanone characteristic of citrus fruits and other foods whose anti-obesity effects have been reported. As a dietary xenobiotic, it is metabolized and excreted mainly by the liver and kidneys, respectively. Since an organism does not normally consume pure phenolic compounds, there are concerns about its safety when administered as such. The present work reports an analysis on the safety of consuming NAR as an anti-obesity agent (100 mg/kg body weight) alongside a Western diet (WD) during an eight-week period, according to various serum biochemical markers of liver and kidney function in Wistar rats. Blood samples were analyzed to determine liver function, including enzyme activity (ALT, AST, GGT, and ALP), bilirubin, and albumin. Biochemical markers of kidney function were urea, blood urea nitrogen (BUN), creatinine, uric acid, and electrolytes. Results show that a 100 mg/kg oral dose of NAR for eight weeks exerted no apparent hepato- or nephrotoxicity, suggesting a suitable safety profile at said dose, since all variables analyzed remained within normal reference limits in NAR-treated animals. Urea, BUN, and ALP showed significant differences between the WD and the control group fed a basal diet (BD), although this was independent of NAR (p < 0.05, WD and WD + NAR vs. BD and BD + NAR), suggesting that diet played a role. The data support the previously reported hepatoprotective effects of NAR and suggest a favorable safety profile. Altogether, the findings indicate that pure NAR may be safe at the dose employed and during the analyzed time period, which further supports the need for clinical studies to validate its application in human consumers. Full article
Show Figures

Figure 1

14 pages, 3963 KB  
Article
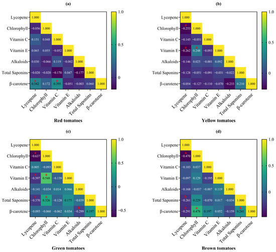
Metabolic Profiling and Functional Metabolite Distribution in Colored Tomatoes
by Ao Su, Chunxin Liu, Yurong Yang, Xudong Wang, Chengyu Wu, Dalong Li, He Zhang, Dong Liu, Xiangyang Xu and Tingting Zhao
Foods 2025, 14(23), 4044; https://doi.org/10.3390/foods14234044 - 25 Nov 2025
Viewed by 314
Abstract
Tomato (Solanum lycopersicum L.) is valued for its versatile consumption and rich nutrients. Current research on functional metabolite distribution in tomatoes mostly focuses on a few varieties, limiting comprehensive understanding across different colored types. This study investigated metabolic characteristics and functional metabolite [...] Read more.
Tomato (Solanum lycopersicum L.) is valued for its versatile consumption and rich nutrients. Current research on functional metabolite distribution in tomatoes mostly focuses on a few varieties, limiting comprehensive understanding across different colored types. This study investigated metabolic characteristics and functional metabolite distribution in colored tomatoes via metabolomic analysis and functional metabolite quantification across diverse germplasm resources. Metabolomic analysis identified 910 metabolites from four colored cherry tomato varieties. Significantly differential metabolite analysis revealed most were flavonoids (27 in total) and alkaloids (14 in total). Additionally, KEGG enrichment analysis identified 4 significantly enriched pathways, mainly related to amino acid biosynthesis, degradation, and metabolism. Quantification across 113 tomato germplasm resources revealed that red tomatoes had higher lycopene; brown tomatoes were rich in lycopene, chlorophyll, and β-carotene; green tomatoes contained higher chlorophyll, saponin, vitamin E, and naringenin. This study provides an important reference for consumers to select colored tomatoes and for breeders to conduct targeted genetic improvement. Full article
(This article belongs to the Section Food Analytical Methods)
Show Figures

Figure 1

24 pages, 387 KB  
Article
Phytochemical Composition and Antimicrobial and Antioxidant Activity of Hedysarum semenowii (Fabaceae)
by Anel Keleke, Magdalena Maciejewska-Turska, Martyna Kasela, Tomasz Baj, Liliya Ibragimova, Zuriyadda Sakipova, Olga Sermukhamedova and Agnieszka Ludwiczuk
Molecules 2025, 30(23), 4503; https://doi.org/10.3390/molecules30234503 - 21 Nov 2025
Viewed by 491
Abstract
This paper provides a comprehensive phytochemical analysis of extracts obtained from the leaves and roots of Hedysarum semenowii using HPLC/PDA-ESI-QToF/MS-MS techniques. The study identified 53 compounds, with flavones and isoflavones as the primary polyphenols. Notably, flavones were predominant in the leaves, while isoflavones [...] Read more.
This paper provides a comprehensive phytochemical analysis of extracts obtained from the leaves and roots of Hedysarum semenowii using HPLC/PDA-ESI-QToF/MS-MS techniques. The study identified 53 compounds, with flavones and isoflavones as the primary polyphenols. Notably, flavones were predominant in the leaves, while isoflavones were found mainly in the roots, potentially serving as chemotaxonomic markers. Medicarpin and its glucoside were confirmed in the roots, while mangiferin and its derivatives were identified for the first time in both the roots and leaves. Isoflavones like formononetin, calycosin, and afrormosin, along with their glucosides, were exclusive to the roots. Flavonols such as quercetin and its glycosides were abundant in the aboveground parts. Our study also identified flavones like luteolin, flavanones (naringenin), and chalcones (liquiritigenin) in various parts. Additionally, the phenolic acids gallic and ferulic acids, as well as the organic acids malic and citric acid, were also detected. The extracts demonstrated differential antimicrobial and antifungal activities in a microbroth dilution assay, with the aerial part extracts showing superior efficacy, particularly against Staphylococcus epidermidis and Pseudomonas aeruginosa. Both aerial and underground parts exhibited comparable antifungal activity against Candida species. Antioxidant activity in the 1,1-diphenyl-2-picrylhydrazyl (DPPH) radical scavenging test varied significantly, with ethanolic extracts from the aerial parts showing the highest potential (Antioxidant Activity Index (AAI) 2.07 ± 0.13). In contrast, root extracts had consistently low antioxidant activity. The results highlight the aerial parts of H. semenowii as a more promising source of biologically active compounds with antimicrobial and antioxidant properties compared to the roots. Full article
(This article belongs to the Special Issue Biological Evaluation of Plant Extracts)
Show Figures

Graphical abstract

19 pages, 3694 KB  
Article
The Ionic and Metabolic Response Mechanisms of Kochia scoparia in Response to Saline–Alkaline Stress
by Xueyan Lu, Hui Fang, Qi Chen and Ying Zhang
Plants 2025, 14(22), 3540; https://doi.org/10.3390/plants14223540 - 20 Nov 2025
Viewed by 496
Abstract
Saline–alkaline stress is a critical environmental issue that limits plant growth and crop production. With the expansion of salinized land, investigating the response mechanisms of plants to salt–alkali stress is crucial. Integrated ionomic and metabolomic analyses were employed to investigate the response mechanisms [...] Read more.
Saline–alkaline stress is a critical environmental issue that limits plant growth and crop production. With the expansion of salinized land, investigating the response mechanisms of plants to salt–alkali stress is crucial. Integrated ionomic and metabolomic analyses were employed to investigate the response mechanisms of Kochia scoparia in our studies. Compared with the halophyte Suaeda salsa, K. scoparia exhibits distinct ionic and metabolic strategies for coping with saline–alkaline stress. Ca, Mg, and B were significantly accumulated in K. scoparia to alleviate ion toxicity and oxidative damage and to maintain cellular stability at the ionic element level. Sugars, alcohols, esters, and phenolic compounds were found to play key roles in resisting saline–alkaline stress at the metabolic level. Among these, sugars, alcohols, and esters were mainly involved in mitigating salt stress. Targeted metabolomic analysis indicated that certain phenolic compounds—namely C6C1-compounds (p-hydroxybenzoic, gallic, vanillic, salicylic, and syringic acids), C6C3 (caffeic acid, p-coumaric, p-hydroxycinnamic, cinnamic, and ferulic acids), and C6C3C6 (naringenin, quercetin, genistein, petunidin, and luteolin)—were significantly accumulated in K. scoparia. These compounds help mitigate saline–alkaline stress by enhancing reactive oxygen species (ROS) scavenging, modulating signaling pathways, reprogramming the osmoprotectant metabolism, and remodeling cell wall defense. This study elucidates the advantages and mechanistic of K. scoparia’s tolerance to saline–alkaline stress, providing a theoretical foundation for the repair and utilization of saline–alkaline soils. Full article
(This article belongs to the Special Issue Plant Functioning Under Abiotic Stress)
Show Figures

Figure 1

23 pages, 1468 KB  
Article
Siberian Tarragon: A Promising Source of Flavone O-Glycosides and Methylated Flavanone Aglycones in North Asian Accessions of Artemisia dracunculus
by Daniil N. Olennikov, Nina I. Kashchenko and Nadezhda K. Chirikova
Horticulturae 2025, 11(11), 1393; https://doi.org/10.3390/horticulturae11111393 - 18 Nov 2025
Viewed by 580
Abstract
Artemisia dracunculus L., commonly known as tarragon, is a popular culinary herb and a valuable source of bioactive extracts and phytocompounds. Its wide distribution across regions of the Northern Hemisphere demonstrates the species’ high adaptability to diverse growing conditions and has led to [...] Read more.
Artemisia dracunculus L., commonly known as tarragon, is a popular culinary herb and a valuable source of bioactive extracts and phytocompounds. Its wide distribution across regions of the Northern Hemisphere demonstrates the species’ high adaptability to diverse growing conditions and has led to the development of chemoraces that differ in chemical composition. North Asian populations of A. dracunculus remain poorly studied, and plants growing in Siberia have not yet been examined. Given the vast areas occupied by tarragon, the species is a promising candidate for industrial use. Liquid chromatography–mass spectrometry (LC–MS) profiling identified 80 compounds in Siberian tarragon samples, including hydroxycinnamates (HCys), coumarins, flavonoid aglycones (FlAs), and glycosides (FlGs). Among these, 62 phenolics were reported for the first time as A. dracunculus metabolites, highlighting the uniqueness of the North Asian accessions, particularly in their diversity of flavone O-glycosides and methylated flavanone aglycones. The highest levels of HCy, FlA, and FlG were 21.84, 52.53, and 54.44 mg/g, respectively, yielding a total phenolic content of 128.81 mg/g in the dry plant material—a high value. The concentrations of certain compounds exceeded 1%, making tarragon a noteworthy source of rare metabolites, including naringenin 7-O-methyl ester, thermopsoside, tilianin, and naringenin 7,4′-di-O-methyl ester. Thus, the existing knowledge of the chemical profile of tarragon has been expanded by new data on phenolic compounds from the North Asian populations of the species, which may be used to develop new A. dracunculus varieties with improved metabolic profiles and bioactive properties. Full article
Show Figures

Figure 1

Back to TopTop