Molecular Evolution of SNAREs in Vitis vinifera and Expression Analysis under Phytohormones and Abiotic Stress
Abstract
1. Introduction
2. Results
2.1. Identification and Physicochemical Property Analysis SNARE Gene Family in Grapevine
2.2. Evolutionary Tree, Secondary Structure, and Subcellular Localization of the VvSNARE Gene Family in Grapevine
2.3. Gene Structure, Motif, and Promoter Cis-Acting Elements
2.4. Collinearity Analysis, Codon Preference, and Selection Pressure Analysis
2.5. Expression Pattern Analysis and Protein Interaction Prediction
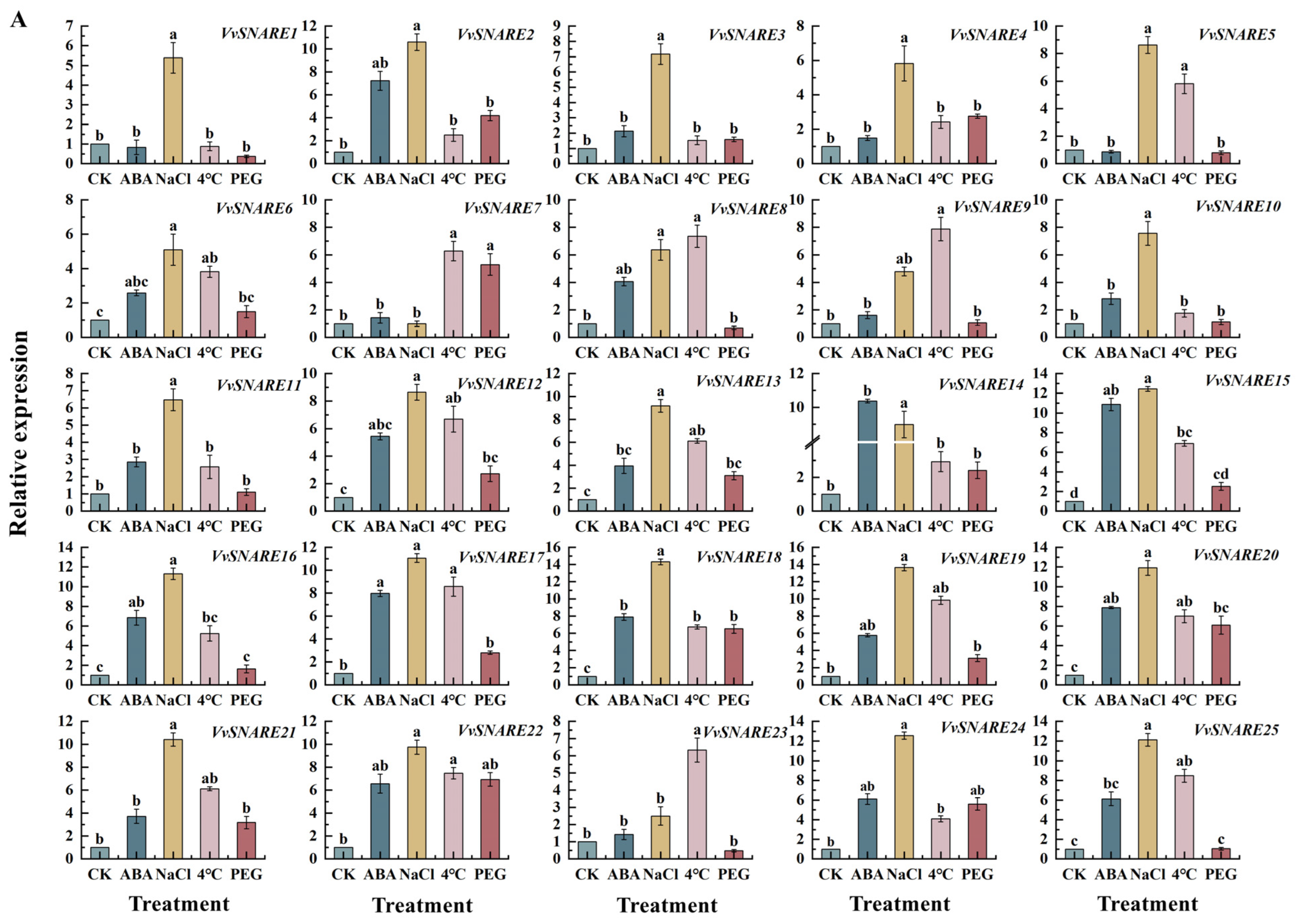
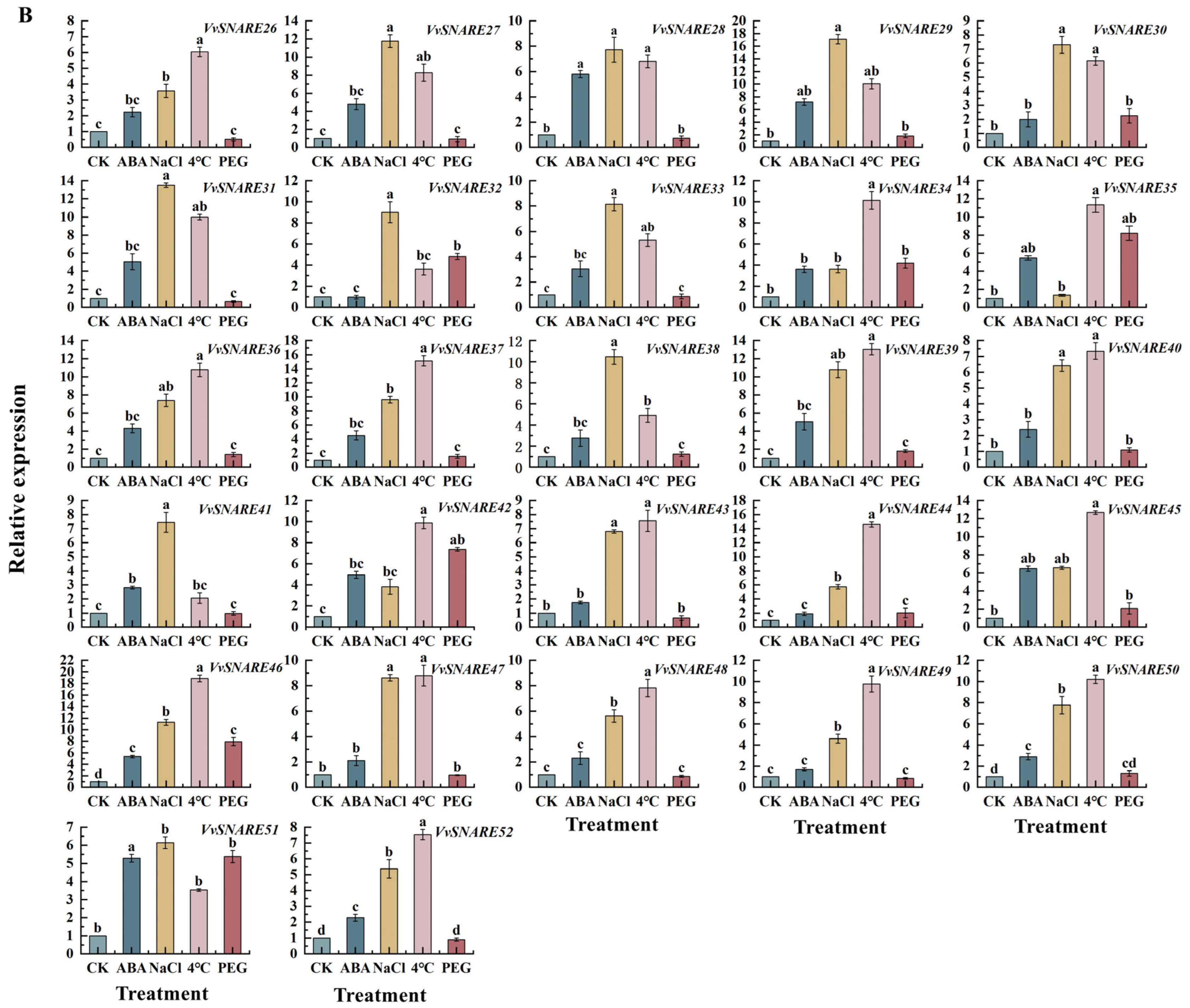
2.6. Quantitative Real-Time Fluorescence Analysis of the SNARE Genes in Grapevine
2.7. Subcellular Localization Assay of the SNARE in Grapevine
3. Discussion
4. Materials and Methods
4.1. Plant Materials and Treatment
4.2. Identification of the SNARE Gene Family in Grapevines
4.3. Phylogenetic Evolution, Secondary Structure and Subcellular Localization
4.4. Analysis of Gene Structure, Motif, Domain, and Cis-Acting Elements
4.5. Gene Location and Synteny Analysis
4.6. Codon Bias and Selective Pressure Analysis
4.7. Expression Pattern and Protein Interaction Analysis of SNARE Gene Family in Grapevines
4.8. qRT-PCR Analysis
4.9. Cloning of the VvSNARE Gene and Transient Transformation of Nicotiana Benthamiana
4.10. Subcellular Localization of VvSNARE in the Lower Epidermis Cells of Nicotiana Benthamiana
4.11. Statistical Analysis and Data Processing
5. Conclusions
Supplementary Materials
Author Contributions
Funding
Institutional Review Board Statement
Informed Consent Statement
Data Availability Statement
Conflicts of Interest
Abbreviations
References
- Lippincott-Schwartz, J.; Phair, R.D. Lipids and cholesterol as regulators of traffic in the endomembrane system. Annu. Rev. Biophys. 2010, 39, 559–578. [Google Scholar] [CrossRef] [PubMed]
- Seiichi, K.; Reinhard, J. SNARE proteins: Zip codes in vesicle targeting? Biochem. J. 2022, 479, 273–288. [Google Scholar]
- Chian, K.; Jae-Hoon, L.; Sup, H.Y. SNAREs in Plant Biotic and Abiotic Stress Responses. Mol. Cells 2020, 43, 501–508. [Google Scholar]
- Luo, C.X.; Shi, Y.M.; Xiang, Y. SNAREs regulate vesicle trafficking during root growth and development. Front. Plant Sci. 2022, 13, 853251. [Google Scholar] [CrossRef] [PubMed]
- Guo, B.B.; Li, J.M.; Xing, L.I.; Xin, Q.I.; Musana, R.F.; Peng, W.A.; Zhang, S.L.; Wu, J.Y. Identification and expression analysis of the PbrMLO gene family in pear, and functional verification of PbrMLO23. J. Integr. Agric. 2021, 20, 2410–2423. [Google Scholar] [CrossRef]
- Tang, L.P.; Yang, Y.; Wang, H.; Li, L.X.; Liu, L.; Liu, Y.; Yuan, J.F.; Zhao, X.Y.; Palme, K.; Su, Y.H.; et al. AtNSF regulates leaf serration by modulating intracellular trafficking of PIN1 in Arabidopsis thaliana. J. Integr. Plant Biol. 2021, 63, 737–755. [Google Scholar] [CrossRef] [PubMed]
- Novick, P.; Field, C.; Schekman, R. Identification of 23 Complementation Groups Required for Post-translational Events in the Yeast Secretory Pathway. Cell 1980, 21, 205–215. [Google Scholar] [CrossRef]
- Kloepper, T.H.; Kienle, C.N.; Fasshauer, D. An elaborate classification of SNARE proteins sheds light on the conservation of the eukaryotic endomembrane system. Mol. Biol. Cell 2007, 18, 3463–3471. [Google Scholar] [CrossRef]
- Hong, W.J. SNAREs and traffic. BBA Mol. Cell Res. 2005, 1744, 120–144. [Google Scholar] [CrossRef] [PubMed]
- Huan, B.; Debasis, D.; Courtney Nicholas, A.; Jiang, Y.H.; Briguglio Joseph, S.; Lou, X.C.; Daniel, R.; Qiang, C.; Baron, C.; Chapman Edwin, R. Dynamics and number of trans-SNARE complexes determine nascent fusion pore properties. Nature 2018, 554, 260–263. [Google Scholar]
- Xiang, H.; Zhou, M.; Li, Y.; Zhou, L.; Wang, R. Drug discovery by targeting the protein-protein interactions involved in autophagy. Acta Pharm. Sin. B 2023, 13, 4373–4390. [Google Scholar] [CrossRef] [PubMed]
- Ben, Z.; Hui, W.; Ya, X.Z. SNARE proteins and their role in plant ion channel regulation. Plant Growth Regul. 2020, 92, 443–453. [Google Scholar]
- Lipka, V.; Kwon, C.; Panstruga, R. SNARE-ware: The role of SNARE-domain proteins in plant biology. Annu. Rev. Cell Dev. Biol. 2007, 23, 147–174. [Google Scholar] [CrossRef]
- Wang, P.; Sun, Y.; Pei, Y.; Li, X.; Zhang, X.; Li, F.; Hou, Y. GhSNAP33, a t-SNARE protein from Gossypium hirsutum, mediates resistance to Verticillium dahliae infection and tolerance to drought stress. Front. Plant Sci. 2018, 9, 896. [Google Scholar] [CrossRef] [PubMed]
- Oeckinghaus, A.; Hayden, M.S.; Ghosh, S. Crosstalk in NF-κB signaling pathways. Nat. Immunol. 2011, 12, 695–708. [Google Scholar] [CrossRef] [PubMed]
- Niyikiza, D.; Piya, S.; Routray, P.; Miao, L.; Kim, W.S.; Burch-Smith, T.; Gill, T.; Sams, C.; Arelli, P.R. Interactions of gene expression, alternative splicing, and DNA methylation in determining nodule identity. Plant J. 2020, 103, 1744–1766. [Google Scholar] [CrossRef] [PubMed]
- Jahn, R.; Cafiso, D.C.; Tamm, L.K. Mechanisms of SNARE proteins in membrane fusion. Nat. Rev. Mol. Cell Biol. 2024, 25, 101–118. [Google Scholar] [CrossRef] [PubMed]
- Gao, J.; Hirata, M.; Mizokami, A.; Zhao, J.; Takahashi, I.; Takeuchi, H.; Hirata, M. Differential role of SNAP-25 phosphorylation by protein kinases A and C in the regulation of SNARE complex formation and exocytosis in PC12 cells. Cell Signal. 2016, 28, 425–437. [Google Scholar] [CrossRef] [PubMed]
- Ohtomo, I.; Ueda, H.; Shimada, T.; Nishiyama, C.; Komoto, Y.; Hara-Nishimura, I.; Takahashi, T. Identification of an allele of VAM3/SYP22 that confers a semi-dwarf phenotype in Arabidopsis thaliana. Plant Cell Physiol. 2005, 46, 1358–1365. [Google Scholar] [CrossRef] [PubMed]
- Ebine, K.; Okatani, Y.; Uemura, T.; Goh, T.; Shoda, K.; Niihama, M.; Morita, T.M.; Spitzer, C.; Otegui, M.S.; Nakano, A.; et al. A SNARE complex unique to seed plants is required for protein storage vacuole biogenesis and seed development of Arabidopsis thaliana. Plant Cell 2008, 20, 3006–3021. [Google Scholar] [CrossRef] [PubMed]
- Xu, J.; Zhao, X.; Bao, J.D.; Shan, Y.N.; Zhang, M.J.; Shen, Y.N.; Abubakar, Y.S.; Lu, G.D.; Wang, Z.H.; Wang, A. Genome-wide identification and expression analysis of SNARE genes in Brassica napus. Plants 2022, 11, 711. [Google Scholar] [CrossRef] [PubMed]
- Bao, Y.M.; Sun, S.J.; Li, M.; Li, L.; Cao, W.L.; Luo, J.; Tang, H.J.; Huang, J.; Wang, Z.F.; Wang, J.F.; et al. Overexpression of the Qc-SNARE gene OsSYP71 enhances tolerance to oxidative stress and resistance to rice blast in rice (Oryza sativa, L.). Gene 2012, 504, 238–244. [Google Scholar] [CrossRef] [PubMed]
- Jahn, R.; Scheller, R.H. SNAREs—Engines for membrane fusion. Nat. Rev. Mol. Cell Biol. 2006, 7, 631–643. [Google Scholar] [CrossRef] [PubMed]
- Kanazawa, T.; Era, A.; Minamino, N.; Shikano, Y.; Fujimot, M.; Uemura, T.; Nishihama, R.; Yamato, K.T.; Ishizaki, K.; Nishiyama, T.; et al. SNARE molecules in marchantia polymorpha: Unique and conserved features of the membrane fusion machinery. Plant Cell Physiol. 2016, 57, 307–324. [Google Scholar] [CrossRef] [PubMed]
- Kim, S.-J.; Brandizzi, F. News and Views into the SNARE Complexity in Arabidopsis. Front. Plant Sci. 2012, 3, 28. [Google Scholar] [CrossRef] [PubMed]
- Sanderfoot, A.A.; Assaad, F.F.; Raikhel, N.V. The Arabidopsis genome. An abundance of soluble N-ethylmaleimide-sensitive factor adaptor protein receptors. Plant Physiol. 2000, 124, 1558–1569. [Google Scholar] [CrossRef] [PubMed]
- Sanderfoot, A. Increases in the number of SNARE genes parallels the rise of multicellularity among the green plants. Plant Physiol. 2007, 144, 6–17. [Google Scholar] [CrossRef] [PubMed]
- Aniento, F.; Sánchez de Medina Hernández, V.; Dagdas, Y.; Rojas-Pierce, M.; Russinova, E. Molecular mechanisms of endomembrane trafficking in plants. Plant Cell 2022, 34, 146–173. [Google Scholar] [CrossRef] [PubMed]
- Sun, X.L.; Ji, W.; Ding, X.D.; Bai, X.; Cai, H.; Yang, S.S.; Qian, X.; Sun, M.Z.; Zhu, Y.M. GsVAMP72, a novel Glycine soja R-SNARE protein, is involved in regulating plant salt tolerance and ABA sensitivity. Plant Cell Tissue Organ Cult. 2013, 113, 199–215. [Google Scholar] [CrossRef]
- Santos, J.A.; Fraga, H.; Malheiro, A.C.; Moutinho-Pereira, J.; Dinis, L.T.; Correia, C.; Moriondo, M.; Leolini, L.; Dibari, C.; Costafreda-Aumedes, S.; et al. A review of the potential climate change impacts and adaptation options for European viticulture. Appl. Sci. 2020, 10, 3092. [Google Scholar] [CrossRef]
- Sanderfoot, A.A.; Raikhel, N.V. The specificity of vesicle trafficking: Coat proteins and SNAREs. Plant Cell 1999, 11, 629–641. [Google Scholar] [CrossRef] [PubMed]
- Adnan, M.; Islam, W.; Zhang, J.; Zheng, W.H.; Lu, G.D. Diverse role of SNARE protein Sec22 in vesicle trafficking, membrane fusion, and autophagy. Cells 2019, 8, 337. [Google Scholar] [CrossRef] [PubMed]
- Cowles, K.N.; Gitai, Z. Surface association and the MreB cytoskeleton regulate pilus production, localization and function in Pseudomonas aeruginosa. Mol. Microbiol. 2010, 76, 1411–1426. [Google Scholar] [CrossRef] [PubMed]
- Uemura, T.; Ueda, T.; Ohniwa, R.L.; Nakano, A.; Takeyasu, K.; Sato, M.H. Systematic analysis of SNARE molecules in Arabidopsis: Dissection of the post-Golgi network in plant cells. Cell Struct. Funct. 2004, 29, 49–65. [Google Scholar] [CrossRef] [PubMed]
- Lam, S.K.; Siu, C.L.; Hillmer, S.; Jang, S.; An, G.; Robinson, D.G.; Jiang, L.W. Rice SCAMP1 defines clathrin-coated, trans-golgi–located tubular-vesicular structures as an early endosome in tobacco BY-2 cells. Plant Cell 2007, 19, 296–319. [Google Scholar] [CrossRef]
- Pawson, T.; Nash, P. Protein-protein interactions define specificity in signal transduction. Gene Dev. 2000, 14, 1027–1047. [Google Scholar] [CrossRef] [PubMed]
- Fujiwara, M.; Uemura, T.; Ebine, K.; Nishimori, Y.; Ueda, T.; Nakano, A.; Sato, M.H.; Fukao, Y. Interactomics of Qa-SNARE in Arabidopsis thaliana. Plant Cell Physiol. 2014, 55, 781–789. [Google Scholar] [CrossRef] [PubMed]
- Wang, G.H.; Long, D.Y.; Yu, F.G.; Zhang, H.; Chen, C.H.; Wang, Y.J.; Ji, W.Q. Genome-wide identification, evolution, and expression of the SNARE gene family in wheat resistance to powdery mildew. PeerJ 2021, 9, e10788. [Google Scholar] [CrossRef] [PubMed]
- Bekal, S.; Domier, L.L.; Gonfa, B.; Lakhssassi, N.; Meksem, K.; Lambert, K.N. A SNARE-like protein and biotin are implicated in soybean cyst nematode virulence. PLoS ONE 2015, 10, e0145601. [Google Scholar] [CrossRef] [PubMed]
- Khan, A.; Pan, X.; Najeeb, U.; Tan, D.K.Y.; Fahad, S.; Zahoor, R.; Luo, H.H. Coping with drought: Stress and adaptive mechanisms, and management through cultural and molecular alternatives in cotton as vital constituents for plant stress resilience and fitness. Biol. Res. 2018, 51, 47. [Google Scholar] [CrossRef] [PubMed]
- Bao, Y.M.; Wang, J.F.; Huang, J.; Zhang, H.S. Cloning and characterization of three genes encoding Qb-SNARE proteins in rice. Mol. Genet. Genom. 2008, 279, 291–301. [Google Scholar] [CrossRef] [PubMed]
- Seifikalhor, M.; Aliniaeifard, S.; Shomali, A.; Azad, N.; Hassani, B.; Lastochkina, O.; Li, T. Calcium signaling and salt tolerance are diversely entwined in plants. Plant Signal Behav. 2019, 14, 1665455. [Google Scholar] [CrossRef] [PubMed]
- Wei, J.; Zheng, G.; Dong, X.; Li, H.; Liu, S.S.; Wang, Y.; Liu, Z.G. Integration of transcriptome and proteome analysis reveals the mechanism of freezing tolerance in winter rapeseed. Plant Growth Regul. 2022, 96, 103–118. [Google Scholar] [CrossRef]








Disclaimer/Publisher’s Note: The statements, opinions and data contained in all publications are solely those of the individual author(s) and contributor(s) and not of MDPI and/or the editor(s). MDPI and/or the editor(s) disclaim responsibility for any injury to people or property resulting from any ideas, methods, instructions or products referred to in the content. |
© 2024 by the authors. Licensee MDPI, Basel, Switzerland. This article is an open access article distributed under the terms and conditions of the Creative Commons Attribution (CC BY) license (https://creativecommons.org/licenses/by/4.0/).
Share and Cite
Zeng, B.-z.; Zhou, X.-t.; Gou, H.-m.; Che, L.-l.; Lu, S.-x.; Yang, J.-b.; Cheng, Y.-j.; Liang, G.-p.; Mao, J. Molecular Evolution of SNAREs in Vitis vinifera and Expression Analysis under Phytohormones and Abiotic Stress. Int. J. Mol. Sci. 2024, 25, 5984. https://doi.org/10.3390/ijms25115984
Zeng B-z, Zhou X-t, Gou H-m, Che L-l, Lu S-x, Yang J-b, Cheng Y-j, Liang G-p, Mao J. Molecular Evolution of SNAREs in Vitis vinifera and Expression Analysis under Phytohormones and Abiotic Stress. International Journal of Molecular Sciences. 2024; 25(11):5984. https://doi.org/10.3390/ijms25115984
Chicago/Turabian StyleZeng, Bao-zhen, Xue-ting Zhou, Hui-min Gou, Li-li Che, Shi-xiong Lu, Juan-bo Yang, Yong-juan Cheng, Guo-ping Liang, and Juan Mao. 2024. "Molecular Evolution of SNAREs in Vitis vinifera and Expression Analysis under Phytohormones and Abiotic Stress" International Journal of Molecular Sciences 25, no. 11: 5984. https://doi.org/10.3390/ijms25115984
APA StyleZeng, B.-z., Zhou, X.-t., Gou, H.-m., Che, L.-l., Lu, S.-x., Yang, J.-b., Cheng, Y.-j., Liang, G.-p., & Mao, J. (2024). Molecular Evolution of SNAREs in Vitis vinifera and Expression Analysis under Phytohormones and Abiotic Stress. International Journal of Molecular Sciences, 25(11), 5984. https://doi.org/10.3390/ijms25115984

