Study on Removal Mechanism for Copper Cyanide Complex Ions in Water: Ion Species Differences and Evolution Process
Abstract
1. Introduction
2. Results and Discussion
2.1. Geometrical Configuration of Copper Cyanide Complex Ions
2.2. Electrostatic Potential (ESP) Analysis
2.3. Interaction Region Indicator Analysis
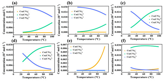
2.4. Thermodynamic Calculations
2.5. The OLI Simulation Predicts the Distribution of Species in an Actual Solution Environment
2.6. Analysis of the Optimal Process Parameters of Cu(CN)43− Using Response Surface Methodology
3. Materials and Methods
3.1. Computational Details
3.2. Simulation Details
4. Conclusions
Supplementary Materials
Author Contributions
Funding
Institutional Review Board Statement
Informed Consent Statement
Data Availability Statement
Conflicts of Interest
References
- Senthilkumar, S.T.; Abirami, M.; Kim, J.; Go, W.; Hwang, S.M.; Kim, Y. Sodium-ion hybrid electrolyte battery for sustainable energy storage applications. J. Power Sources 2017, 341, 404–410. [Google Scholar] [CrossRef]
- Wang, P.; Xu, J.; Xu, F.; Zhao, W.; Sun, P.; Zhang, Z.; Qian, M.; Huang, F. Constructing hierarchical porous carbon via tin punching for efficient electrochemical energy storage. Carbon 2018, 134, 391–397. [Google Scholar] [CrossRef]
- Xia, L.; Yu, L.; Hu, D.; Chen, G.Z. Electrolytes for electrochemical energy storage. Mater. Chem. Front. 2017, 1, 584–618. [Google Scholar] [CrossRef]
- Castilla-Acevedo, S.F.; Betancourt-Buitrago, L.A.; Dionysiou, D.D.; Machuca-Martinez, F. Ultraviolet light-mediated activation of persulfate for the degradation of cobalt cyanocomplexes. J. Hazard Mater. 2020, 392, 122389. [Google Scholar] [CrossRef]
- Li, X.; Huang, Z.; Shuck, C.E.; Liang, G.; Gogotsi, Y.; Zhi, C. MXene chemistry, electrochemistry and energy storage applications. Nat. Rev. Chem. 2022, 6, 389–404. [Google Scholar] [CrossRef]
- Huang, X.; Luo, B.; Chen, P.; Searles, D.J.; Wang, D.; Wang, L. Sulfur-based redox chemistry for electrochemical energy storage. Coord. Chem. Rev. 2020, 422, 213445. [Google Scholar] [CrossRef]
- Maddukuri, S.; Malka, D.; Chae, M.S.; Elias, Y.; Luski, S.; Aurbach, D. On the challenge of large energy storage by electrochemical devices. Electrochim. Acta 2020, 354, 136771. [Google Scholar] [CrossRef]
- Lv, J.; Xie, J.; Mohamed, A.G.A.; Zhang, X.; Wang, Y. Photoelectrochemical energy storage materials: Design principles and functional devices towards direct solar to electrochemical energy storage. Chem. Soc. Rev. 2022, 51, 1511–1528. [Google Scholar] [CrossRef]
- Liu, X.; He, H.; Zhang, T.C.; Ouyang, L.; Zhang, Y.-X.; Yuan, S. Superhydrophobic and self-healing dual-function coatings based on mercaptabenzimidazole inhibitor-loaded magnesium silicate nanotubes for corrosion protection of AZ31B magnesium alloys. Chem. Eng. J. 2021, 404, 127106. [Google Scholar] [CrossRef]
- Wang, Y.; Xiao, J.; Wang, H.; Zhang, T.C.; Yuan, S. Binary doping of nitrogen and phosphorus into porous carbon: A novel di-functional material for enhancing CO2 capture and super-capacitance. J. Mater. Sci. Technol. 2022, 99, 73–81. [Google Scholar] [CrossRef]
- Gu, X.; Deng, Y.; Wang, C. Fabrication of Anion-Exchange Polymer Layered Graphene–Melamine Electrodes for Membrane Capacitive Deionization. ACS Sustain. Chem. Eng. 2016, 5, 325–333. [Google Scholar] [CrossRef]
- Chen, K.; Xue, D. Materials chemistry toward electrochemical energy storage. J. Mater. Chem. A 2016, 4, 7522–7537. [Google Scholar] [CrossRef]
- Wang, N.; He, J.; Wang, K.; Zhao, Y.; Jiu, T.; Huang, C.; Li, Y. Graphdiyne-Based Materials: Preparation and Application for Electrochemical Energy Storage. Adv. Mater. 2019, 31, e1803202. [Google Scholar] [CrossRef] [PubMed]
- Marschilok, A.; Lee, C.-Y.; Subramanian, A.; Takeuchi, K.J.; Takeuchi, E.S. Carbon nanotube substrate electrodes for lightweight, long-life rechargeable batteries. Energy Environ. Sci. 2011, 4, 2943–2951. [Google Scholar] [CrossRef]
- Wang, H.; Yang, Y.; Guo, L. Nature-Inspired Electrochemical Energy-Storage Materials and Devices. Adv. Energy Mater. 2017, 7, 1601709. [Google Scholar] [CrossRef]
- Ye, C.; Yu, X.; Li, W.; He, L.; Hao, G.; Lu, A. Engineering of Bifunctional Nickel Phosphide@Ni-N-C Catalysts for Selective Electroreduction of CO2-H2O to Syngas. Acta Phys. Chim. Sin. 2020, 38, 20040540. [Google Scholar] [CrossRef]
- He, G.; Ciez, R.; Moutis, P.; Kar, S.; Whitacre, J.F. The economic end of life of electrochemical energy storage. Appl. Energy 2020, 273, 115151. [Google Scholar] [CrossRef]
- Satpathy, B.; Jena, S.; Das, S.; Das, K. A comprehensive review of various non-cyanide electroplating baths for the production of silver and gold coatings. Int. Mater. Rev. 2022, 1–37. [Google Scholar] [CrossRef]
- Jiang, L.; Kirihara, K.; Nandal, V.; Seki, K.; Mukaida, M.; Horike, S.; Wei, Q. Thermoelectrochemical Cells Based on Ferricyanide/Ferrocyanide/Guanidinium: Application and Challenges. ACS Appl. Mater. Interfaces 2022, 14, 22921–22928. [Google Scholar] [CrossRef]
- Bruger, A.; Fafilek, G.; Restrepo, B.O.; Rojas-Mendoza, L. On the volatilisation and decomposition of cyanide contaminations from gold mining. Sci. Total Environ. 2018, 627, 1167–1173. [Google Scholar] [CrossRef]
- Wei, Y.; Wang, F.; Liu, X.; Fu, P.; Yao, R.; Ren, T.; Shi, D.; Li, Y. Thermal remediation of cyanide-contaminated soils: Process optimization and mechanistic study. Chemosphere 2020, 239, 124707. [Google Scholar] [CrossRef] [PubMed]
- Zhang, J.; Dong, L.; Yu, S.-H. A selective sensor for cyanide ion (CN−) based on the inner filter effect of metal nanoparticles with photoluminescent carbon dots as the fluorophore. Sci. Bull. 2015, 60, 785–791. [Google Scholar] [CrossRef]
- Golbaz, S.; Jafari, A.J.; Rafiee, M.; Kalantary, R.R. Separate and simultaneous removal of phenol, chromium, and cyanide from aqueous solution by coagulation/precipitation: Mechanisms and theory. Chem. Eng. J. 2014, 253, 251–257. [Google Scholar] [CrossRef]
- Lei, S.; Song, Y. Comparative Study on Electrochemical Treatment of Cyanide Wastewater. Front Chem. 2021, 9, 598228. [Google Scholar] [CrossRef]
- Gan, S.; Zeng, Y.; Lu, C.; Ma, C.; Wang, F.; Yang, G.; Zhang, Y.; Nie, J. Rationally designed conjugated microporous polymers for efficient photocatalytic chemical transformations of isocyanides. Catal. Sci. Technol. 2022, 12, 6548–6555. [Google Scholar] [CrossRef]
- Razanamahandry, L.C.; Onwordi, C.T.; Saban, W.; Bashir, A.K.H.; Mekuto, L.; Malenga, E.; Manikandan, E.; Fosso-Kankeu, E.; Maaza, M.; Ntwampe, S.K.O. Performance of various cyanide degrading bacteria on the biodegradation of free cyanide in water. J. Hazard Mater. 2019, 380, 120900. [Google Scholar] [CrossRef]
- Alvillo-Rivera, A.; Garrido-Hoyos, S.; Buitrón, G.; Thangarasu-Sarasvathi, P.; Rosano-Ortega, G. Biological treatment for the degradation of cyanide: A review. J. Mater. Res. Technol. 2021, 12, 1418–1433. [Google Scholar] [CrossRef]
- Luque-Almagro, V.M.; Moreno-Vivian, C.; Roldan, M.D. Biodegradation of cyanide wastes from mining and jewellery industries. Curr. Opin. Biotechnol. 2016, 38, 9–13. [Google Scholar] [CrossRef]
- Ye, Y.; Shan, C.; Zhang, X.; Liu, H.; Wang, D.; Lv, L.; Pan, B. Water Decontamination from Cr(III)–Organic Complexes Based on Pyrite/H2O2: Performance, Mechanism, and Validation. Environ. Sci. Technol. 2018, 52, 10657–10664. [Google Scholar] [CrossRef]
- Yuan, L.; Wen, J.; Ning, P.; Yang, H.; Sun, Z.; Cao, H. Inhibition Role of Solvation on the Selective Extraction of Co(II): Toward Eco-Friendly Separation of Ni and Co. ACS Sustain. Chem. Eng. 2022, 10, 1160–1171. [Google Scholar] [CrossRef]
- Routledge, J.D.; Zhang, X.; Connolly, M.; Tropiano, M.; Blackburn, O.A.; Kenwright, A.M.; Beer, P.D.; Aldridge, S.; Faulkner, S. Lanthanide Complexes that Respond to Changes in Cyanide Concentration in Water. Angew. Chem. Int. Ed. Engl. 2017, 56, 7783–7786. [Google Scholar] [CrossRef] [PubMed]
- Chen, X.; Xiong, Z.; Andrews, L.; Gong, Y. End-On Cyanogen Complexes of Iridium, Palladium, and Platinum. Inorg. Chem. 2020, 59, 6489–6495. [Google Scholar] [CrossRef] [PubMed]
- Kurashova, I.; Kamyshny, A. Kinetics of Thiocyanate Formation by Reaction of Cyanide and Its Iron Complexes with Thiosulfate. Aquat. Geochem. 2019, 25, 219–236. [Google Scholar] [CrossRef]
- Andrews, L.; Cho, H.G. Cyanides and Isocyanides of Zinc, Cadmium and Mercury: Matrix Infrared Spectra and Electronic Structure Calculations for the Linear MNC, NCMCN, CNMNC, NCMMCN, and CNMMNC Molecules. Chemphyschem 2021, 22, 204–220. [Google Scholar] [CrossRef]
- Al-Jibori, S.A.; Al-Janabi, A.S.; Irzoqi, A.A.; Abdullah, A.I.A.; Basak-Modi, S.; Orton, G.R.F.; Ghosh, S.; Wagner, C.; Hogarth, G. Palladium(II) ortho-cyano-aminothiophenolate (ocap) complexes. Dalton Trans. 2022, 51, 18136–18142. [Google Scholar] [CrossRef] [PubMed]
- Xu, Z.; Shan, C.; Xie, B.; Liu, Y.; Pan, B. Decomplexation of Cu(II)-EDTA by UV/persulfate and UV/H2O2: Efficiency and mechanism. Appl. Catal. B Environ. 2017, 200, 439–447. [Google Scholar] [CrossRef]
- Betancourt-Buitrago, L.A.; Hernandez-Ramirez, A.; Colina-Marquez, J.A.; Bustillo-Lecompte, C.F.; Rehmann, L.; Machuca-Martinez, F. Recent Developments in the Photocatalytic Treatment of Cyanide Wastewater: An Approach to Remediation and Recovery of Metals. Processes 2019, 7, 225. [Google Scholar] [CrossRef]
- Ghasemi, S.; Mohammadnejad, S.; Khalesi, M.R. A DFT study on the speciation of aqueous gold and copper cyanide complexes. Comput. Theor. Chem. 2018, 1124, 23–31. [Google Scholar] [CrossRef]
- Souto, R.M.; Ricci, F.; Szpyrkowicz, L.; Rodríguez, J.L.; Pastor, E. FTIR Characterization of Surface Interactions of Cyanide and Copper Cyanide with a Platinum Electrode in Alkaline Solution. J. Phys. Chem. C 2011, 115, 3671–3677. [Google Scholar] [CrossRef]
- Dai, X.; Simons, A.; Breuer, P. A review of copper cyanide recovery technologies for the cyanidation of copper containing gold ores. Miner. Eng. 2012, 25, 1–13. [Google Scholar] [CrossRef]
- Kyle, J.H.; Hefter, G. A critical review of the thermodynamics of hydrogen cyanide and copper(I)–cyanide complexes in aqueous solution. Hydrometallurgy 2015, 154, 78–87. [Google Scholar] [CrossRef]
- Gour, N.K.; Deka, R.C.; Paul, S. Atmospheric oxidation of 2-fluoropropene (CH3CFCH2) with Cl atom and aerial degradation of its product radicals by computational study. New J. Chem. 2020, 44, 3434–3444. [Google Scholar] [CrossRef]
- Lai, W.; Zhang, K.; Shao, P.; Yang, L.; Ding, L.; Pavlostathis, S.G.; Shi, H.; Zou, L.; Liang, D.; Luo, X. Optimization of adsorption configuration by DFT calculation for design of adsorbent: A case study of palladium ion-imprinted polymers. J. Hazard Mater. 2019, 379, 120791. [Google Scholar] [CrossRef]
- Anusha, C.; De, S.; Parameswaran, P. Ring contraction of metallabenzooxirene to metal carbonyl complexes—A comparative study with the Wolff rearrangement of oxirene and benzooxirene. Dalton Trans. 2017, 46, 13974–13982. [Google Scholar] [CrossRef] [PubMed]
- Barwa, E.; Oncak, M.; Pascher, T.F.; Taxer, T.; van der Linde, C.; Beyer, M.K. CO2/O2 Exchange in Magnesium-Water Clusters Mg+(H2O)n. J. Phys. Chem. A 2019, 123, 73–81. [Google Scholar] [CrossRef]
- Grimme, S.; Antony, J.; Ehrlich, S.; Krieg, H. A consistent and accurate ab initio parametrization of density functional dispersion correction (DFT-D) for the 94 elements H-Pu. J. Chem. Phys. 2010, 132, 154104. [Google Scholar] [CrossRef]
- Lan, J.H.; Shi, W.Q.; Yuan, L.Y.; Zhao, Y.L.; Li, J.; Chai, Z.F. Trivalent actinide and lanthanide separations by tetradentate nitrogen ligands: A quantum chemistry study. Inorg. Chem. 2011, 50, 9230–9237. [Google Scholar] [CrossRef] [PubMed]
- Lu, T.; Chen, F. Multiwfn: A multifunctional wavefunction analyzer. J. Comput. Chem. 2012, 33, 580–592. [Google Scholar] [CrossRef]
- Lu, T.; Chen, Q. Interaction Region Indicator: A Simple Real Space Function Clearly Revealing Both Chemical Bonds and Weak Interactions**. Chem. Methods 2021, 1, 231–239. [Google Scholar] [CrossRef]
- Niepotter, B.; Herbst-Irmer, R.; Kratzert, D.; Samuel, P.P.; Mondal, K.C.; Roesky, H.W.; Jerabek, P.; Frenking, G.; Stalke, D. Experimental charge density study of a silylone. Angew. Chem. Int. Ed. Engl. 2014, 53, 2766–2770. [Google Scholar] [CrossRef]








| Serial Number | Test Items | Test Results | Unit |
|---|---|---|---|
| 1 | As | 12.8 | μg/L |
| 2 | Cd | 0.10 | μg/L |
| 3 | COD | 5.10 | μg/L |
| 4 | Cr | 34.9 | μg/L |
| 5 | Cr6+ | μg/L | |
| 6 | Cu | 37.0 | μg/L |
| 7 | Hg | 28.7 | μg/L |
| 8 | Mn | μg/L | |
| 9 | Ni | 32.4 | μg/L |
| 10 | Pb | 6.72 | μg/L |
| 11 | Ph value | 8.69 | μg/L |
| 12 | Ti | 0.19 | μg/L |
| 13 | Zn | 8.93 | μg/L |
| 14 | cyanide | 281.12 | μg/L |
Disclaimer/Publisher’s Note: The statements, opinions and data contained in all publications are solely those of the individual author(s) and contributor(s) and not of MDPI and/or the editor(s). MDPI and/or the editor(s) disclaim responsibility for any injury to people or property resulting from any ideas, methods, instructions or products referred to in the content. |
© 2023 by the authors. Licensee MDPI, Basel, Switzerland. This article is an open access article distributed under the terms and conditions of the Creative Commons Attribution (CC BY) license (https://creativecommons.org/licenses/by/4.0/).
Share and Cite
Liu, Y.; Sun, B.; Jia, W.; Wang, Y.; Huang, L.; Ning, P.; Yuan, S. Study on Removal Mechanism for Copper Cyanide Complex Ions in Water: Ion Species Differences and Evolution Process. Int. J. Mol. Sci. 2023, 24, 5066. https://doi.org/10.3390/ijms24065066
Liu Y, Sun B, Jia W, Wang Y, Huang L, Ning P, Yuan S. Study on Removal Mechanism for Copper Cyanide Complex Ions in Water: Ion Species Differences and Evolution Process. International Journal of Molecular Sciences. 2023; 24(6):5066. https://doi.org/10.3390/ijms24065066
Chicago/Turabian StyleLiu, Ying, Baogang Sun, Wenting Jia, Yuan Wang, Lijia Huang, Pengge Ning, and Shaojun Yuan. 2023. "Study on Removal Mechanism for Copper Cyanide Complex Ions in Water: Ion Species Differences and Evolution Process" International Journal of Molecular Sciences 24, no. 6: 5066. https://doi.org/10.3390/ijms24065066
APA StyleLiu, Y., Sun, B., Jia, W., Wang, Y., Huang, L., Ning, P., & Yuan, S. (2023). Study on Removal Mechanism for Copper Cyanide Complex Ions in Water: Ion Species Differences and Evolution Process. International Journal of Molecular Sciences, 24(6), 5066. https://doi.org/10.3390/ijms24065066

