Development and Evaluation of the Magnetic Properties of a New Manganese (II) Complex: A Potential MRI Contrast Agent
Abstract
1. Introduction
2. Results and Discussion
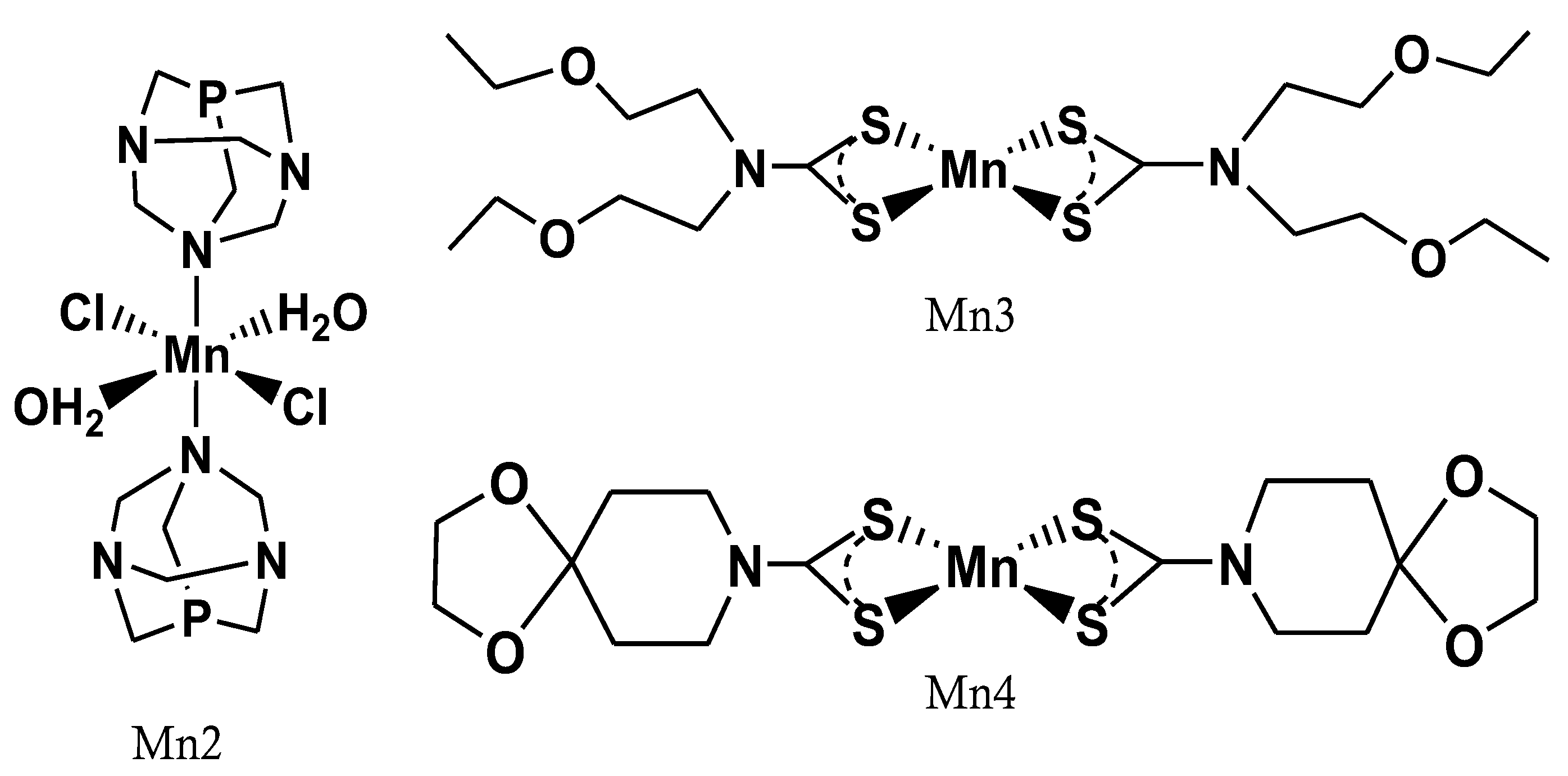
2.1. Synthesis and Characterization of Mn Complexes
2.2. Phantom Studies
3. Materials and Methods
3.1. Synthesis and Characterization of [Mn(II)(L’)2] × 2H2O (Mn4)
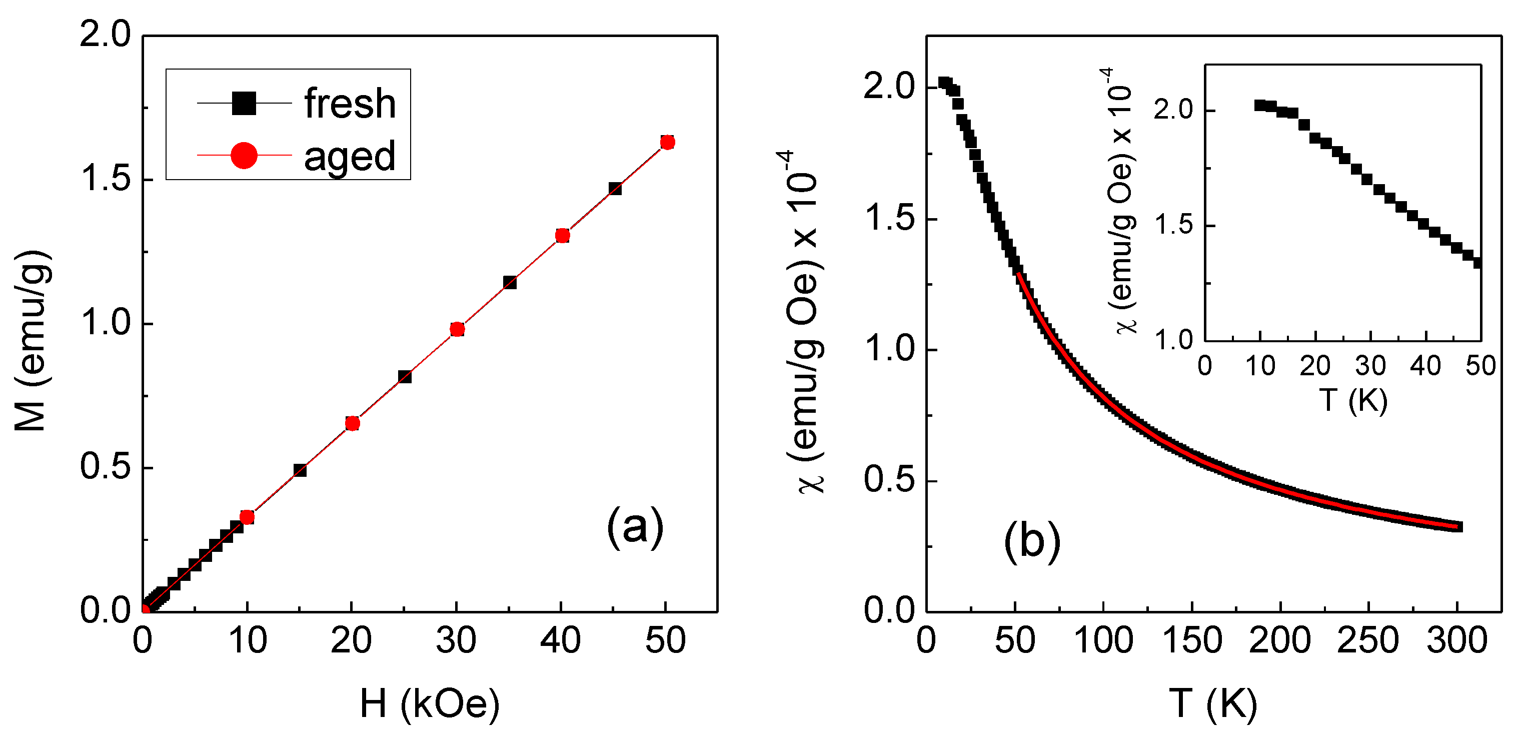
3.2. Magnetic Measurement
3.3. Relaxometric Investigations
3.4. Phantom Studies
- The first part of the protocol was a modified version of the protocol described by Rohrer et al. [24] Coronal T1 IR TSE and T2 ME-SE were obtained. T1 IR TSE parameters were TR = 3000 ms, TE = 7.3 ms, TI = 30-60-90-120-150-180-210-250-400-600-800-1000-1600-2000 ms, ETL = 3, FA = 180, voxel = 1.2 mm × 1.2 mm × 3.0 mm, FOV = 300 mm, matrix = 256 × 256. T2 ME-SE parameters were TR = 3000 ms, echo spacing = 7.6 ms, ETL = 32, FA = 180, voxel = 0.8 mm × 0.8 mm × 3.0 mm, FOV = 300 mm, matrix = 384 × 384;
- The second part of the protocol included sequences routinely used for abdominal contrast-enhanced MRI studies in diagnostic radiology. Manganese is an excellent contrast agent for MR imaging of the liver and similar mitochondria-rich organs such as the pancreas and kidneys, as reported by Pan et al. [1]. On the other hand, Gadobenate dimeglumine (also known as MultiHanceTM) is an extracellular intravenous contrast agent used in clinical MRI, and it can be useful in a wide range of MRI applications, including hepatic imaging, pelvic imaging and it can also be used as a hepatobiliary phase agent [25]. Given these two main considerations, it was therefore decided to complete the phantom study with this clinically oriented section, inspired by a standard abdominal protocol. Coronal T1 VIBE, T2 TSE, and TRUE FISP with default vendors parameters were obtained. T1 VIBE parameters were TR = 5.06 ms, TE = 2.43 ms, ETL = 1, FA = 10, voxel = 1.2 mm × 1.2 mm × 3.0 mm, FOV = 300 mm, matrix = 256 × 256. T2 TSE parameters were TR = 3890 ms, TE = 112 ms, ETL = 29, FA = 180, voxel = 1.2 mm × 1.3 mm × 3.0 mm, FOV = 320 mm, matrix = 224 × 256. TRUE FISP parameters were TR = 1077.36 ms, TE = 2.29 ms, ETL = 1, FA = 60, voxel = 0.7 mm × 0.7 mm × 3.0 mm, FOV = 300 mm, matrix = 448 × 448.
4. Conclusions
Supplementary Materials
Author Contributions
Funding
Institutional Review Board Statement
Data Availability Statement
Acknowledgments
Conflicts of Interest
References
- Pan, D.; Schmieder, A.H.; Wickline, S.A.; Lanza, G.M. Manganese-Based MRI Contrast Agents: Past, Present, and Future. Tetrahedron 2011, 67, 8431–8444. [Google Scholar] [CrossRef] [PubMed]
- Mathur, M.; Jones, J.R.; Weinreb, J.C. Gadolinium Deposition and Nephrogenic Systemic Fibrosis: A Radiologist’s Primer. RadioGraphics 2020, 40, 153–162. [Google Scholar] [CrossRef] [PubMed]
- Gulani, V.; Calamante, F.; Shellock, F.G.; Kanal, E.; Reeder, S.B. Gadolinium Deposition in the Brain: Summary of Evidence and Recommendations. Lancet Neurol. 2017, 16, 564–570. [Google Scholar] [CrossRef] [PubMed]
- Guo, B.J.; Yang, Z.L.; Zhang, L.J. Gadolinium Deposition in Brain: Current Scientific Evidence and Future Perspectives. Front. Mol. Neurosci. 2018, 11, 335. [Google Scholar] [CrossRef] [PubMed]
- Mallio, C.A.; Rovira, À.; Parizel, P.M.; Quattrocchi, C.C. Exposure to Gadolinium and Neurotoxicity: Current Status of Preclinical and Clinical Studies. Neuroradiology 2020, 62, 925–934. [Google Scholar] [CrossRef] [PubMed]
- Broome, D.R.; Girguis, M.S.; Baron, P.W.; Cottrell, A.C.; Kjellin, I.; Kirk, G.A. Gadodiamide-Associated Nephrogenic Systemic Fibrosis: Why Radiologists Should Be Concerned. Am. J. Roentgenol. 2007, 188, 586–592. [Google Scholar] [CrossRef] [PubMed]
- Wayne, F. Might Manganese Make Gadolinium Obsolete for MRI Scans? Available online: https://www.auntminnie.com/index.aspx?sec=prtf&sub=def&pag=dis&itemId=127806&printpage=true&fsec=ser&fsub=def (accessed on 23 December 2022).
- Rocklage, S.M.; Cacheris, W.P.; Quay, S.C.; Hahn, F.E.; Raymond, K.N. Manganese(II) N,N’-Dipyridoxylethylenediamine-N,N’-Diacetate 5,5’-Bis(Phosphate). Synthesis and Characterization of a Paramagnetic Chelate for Magnetic Resonance Imaging Enhancement. Inorg. Chem. 1989, 28, 477–485. [Google Scholar] [CrossRef]
- Available online: https://www.ema.europa.eu/en/medicines/human/EPAR/teslascan (accessed on 23 December 2022).
- Daksh, S.; Kaul, A.; Deep, S.; Datta, A. Current Advancement in the Development of Manganese Complexes as Magnetic Resonance Imaging Probes. J. Inorg. Biochem. 2022, 237, 112018. [Google Scholar] [CrossRef] [PubMed]
- Zheng, R.; Guo, J.; Cai, X.; Bin, L.; Lu, C.; Singh, A.; Trivedi, M.; Kumar, A.; Liu, J. Manganese Complexes and Manganese-Based Metal-Organic Frameworks as Contrast Agents in MRI and Chemotherapeutics Agents: Applications and Prospects. Colloids Surf. B Biointerfaces 2022, 213, 112432. [Google Scholar] [CrossRef] [PubMed]
- Hogarth, G. Transition Metal Dithiocarbamates: 1978–2003. In Progress in Inorganic Chemistry; Karlin, K.D., Ed.; John Wiley & Sons, Inc.: Hoboken, NJ, USA, 2005; ISBN 978-0-471-46370-2. [Google Scholar]
- Boschi, A.; Uccelli, L.; Martini, P. A Picture of Modern Tc-99m Radiopharmaceuticals: Production, Chemistry, and Applications in Molecular Imaging. Appl. Sci. 2019, 9, 2526. [Google Scholar] [CrossRef]
- Boschi, A.; Martini, P.; Uccelli, L. 188Re(V) Nitrido Radiopharmaceuticals for Radionuclide Therapy. Pharmaceuticals 2017, 10, 12. [Google Scholar] [CrossRef] [PubMed]
- Martini, P.; Boschi, A.; Marvelli, L.; Uccelli, L.; Carli, S.; Cruciani, G.; Marzola, E.; Fantinati, A.; Esposito, J.; Duatti, A. Synthesis and Characterization of Manganese Dithiocarbamate Complexes: New Evidence of Dioxygen Activation. Molecules 2021, 26, 5954. [Google Scholar] [CrossRef] [PubMed]
- Frost, B.J.; Bautista, C.M.; Huang, R.; Shearer, J. Manganese Complexes of 1,3,5-Triaza-7-Phosphaadamantane (PTA): The First Nitrogen-Bound Transition-Metal Complex of PTA. Inorg. Chem. 2006, 45, 3481–3483. [Google Scholar] [CrossRef] [PubMed]
- Sguizzato, M.; Martini, P.; Marvelli, L.; Pula, W.; Drechsler, M.; Capozza, M.; Terreno, E.; Del Bianco, L.; Spizzo, F.; Cortesi, R.; et al. Synthetic and Nanotechnological Approaches for a Diagnostic Use of Manganese. Molecules 2022, 27, 3124. [Google Scholar] [CrossRef] [PubMed]
- Siddiqi, K.S.; Nami, S.A.A.; Lutfullah; Chebude, Y. Template Synthesis of Symmetrical Transition Metal Dithiocarbamates. J. Braz. Chem. Soc. 2006, 17, 107–112. [Google Scholar] [CrossRef]
- Cullity, B.D.; Graham, C.D. Introduction to Magnetic Materials, 2nd ed.; IEEE Press: Piscataway, NJ, USA; Wiley: Hoboken, NJ, USA, 2009. [Google Scholar]
- Hagberg, G.E.; Scheffler, K. Effect of r 1 and r 2 Relaxivity of Gadolinium-Based Contrast Agents on the T 1 -Weighted MR Signal at Increasing Magnetic Field Strengths: High-Field Contrast Enhanced MRI. Contrast Media Mol. Imaging 2013, 8, 456–465. [Google Scholar] [CrossRef] [PubMed]
- Nofiele, J.T.; Cheng, H.-L.M. Ultrashort Echo Time for Improved Positive-Contrast Manganese-Enhanced MRI of Cancer. PLoS ONE 2013, 8, e58617. [Google Scholar] [CrossRef] [PubMed]
- Silva, A.C.; Lee, J.H.; Aoki, I.; Koretsky, A.P. Manganese-Enhanced Magnetic Resonance Imaging (MEMRI): Methodological and Practical Considerations. NMR Biomed. 2004, 17, 532–543. [Google Scholar] [CrossRef] [PubMed]
- Cicolari, D.; Lizio, D.; Pedrotti, P.; Moioli, M.T.; Lascialfari, A.; Mariani, M.; Torresin, A. A Method for T1 and T2 Relaxation Times Validation and Harmonization as a Support to MRI Mapping. J. Magn. Reson. 2022, 334, 107110. [Google Scholar] [CrossRef]
- Rohrer, M.; Bauer, H.; Mintorovitch, J.; Requardt, M.; Weinmann, H.-J. Comparison of Magnetic Properties of MRI Contrast Media Solutions at Different Magnetic Field Strengths. Investig. Radiol. 2005, 40, 715–724. [Google Scholar] [CrossRef] [PubMed]
- Foster, T.; Morgan, M. Gadobenate Dimeglumine. 2015. Available online: https://doi.org/10.53347/rID-33809 (accessed on 23 December 2022).
- Brown, R.W.; Cheng, Y.-C.N.; Haacke, E.M.; Thompson, M.R.; Venkatesan, R. Magnetic Resonance Imaging: Physical Principles and Sequence Design, 2nd ed.; John Wiley & Sons, Inc.: Hoboken, NJ, USA, 2014; ISBN 978-1-118-63395-3. [Google Scholar]






| Compound | r1 (mM−1·s−1) | r2 (mM−1·s−1) | ||
|---|---|---|---|---|
| 20 MHz | 60 MHz | 20 MHz | 60 MHz | |
| Mn2 | 4.86 ± 0.07 | 2.40 ± 0.05 | - | - |
| Mn3 | 2.55 ± 0.05 | 2.35 ± 0.03 | 11.01 ± 0.78 | 22.55 ± 0.48 |
| Mn4 | 9.63 ± 0.04 | 7.91 ± 0.07 | 31.15 ± 0.12 | 48.31 ± 0.05 |
| Compound | r1 (mM−1·s−1) | R2 | r2 (mM−1·s−1) | R2 | r2/r1 |
|---|---|---|---|---|---|
| Gd-BOPTA | 4.0 ± 0.1 | 0.999 | 5.8 ± 0.1 | 0.999 | 1.5 |
| Mn1 | 4.5 ± 0.1 | 0.999 | 62.6 ± 1.0 | 0.994 | 13.9 |
| Mn2 | 4.4 ± 0.1 | 0.999 | 63.3 ± 0.8 | 0.996 | 14.4 |
| Mn4 | 4.9 ± 0.2 | 0.998 | 34.5 ± 0.4 | 0.999 | 7.0 |
| Mn3 | 1.2 ± 0.1 | 0.998 | 5.9 ± 0.7 | 0.971 | 4.9 |
| VIBE | |||||||||||||||
|---|---|---|---|---|---|---|---|---|---|---|---|---|---|---|---|
| Gd-BOPTA | Mn1 | Mn2 | Mn4 | ||||||||||||
| 5.0 | 2.5 | 1.0 | 0.5 | 5.0 | 2.5 | 1.0 | 0.5 | 5.0 | 2.5 | 1.0 | 0.5 | 5.0 | 2.5 | 1.0 | 0.5 |
| T2 TSE | |||||||||||||||
| Gd-BOPTA | Mn1 | Mn2 | Mn4 | ||||||||||||
| 5.0 | 2.5 | 1.0 | 0.5 | 5.0 | 2.5 | 1.0 | 0.5 | 5.0 | 2.5 | 1.0 | 0.5 | 5.0 | 2.5 | 1.0 | 0.5 |
| TRUE FISP | |||||||||||||||
| Gd-BOPTA | Mn1 | Mn2 | Mn4 | ||||||||||||
| 5.0 | 2.5 | 1.0 | 0.5 | 5.0 | 2.5 | 1.0 | 0.5 | 5.0 | 2.5 | 1.0 | 0.5 | 5.0 | 2.5 | 1.0 | 0.5 |
Disclaimer/Publisher’s Note: The statements, opinions and data contained in all publications are solely those of the individual author(s) and contributor(s) and not of MDPI and/or the editor(s). MDPI and/or the editor(s) disclaim responsibility for any injury to people or property resulting from any ideas, methods, instructions or products referred to in the content. |
© 2023 by the authors. Licensee MDPI, Basel, Switzerland. This article is an open access article distributed under the terms and conditions of the Creative Commons Attribution (CC BY) license (https://creativecommons.org/licenses/by/4.0/).
Share and Cite
Reale, G.; Calderoni, F.; Ghirardi, T.; Porto, F.; Illuminati, F.; Marvelli, L.; Martini, P.; Uccelli, L.; Tonini, E.; Del Bianco, L.; et al. Development and Evaluation of the Magnetic Properties of a New Manganese (II) Complex: A Potential MRI Contrast Agent. Int. J. Mol. Sci. 2023, 24, 3461. https://doi.org/10.3390/ijms24043461
Reale G, Calderoni F, Ghirardi T, Porto F, Illuminati F, Marvelli L, Martini P, Uccelli L, Tonini E, Del Bianco L, et al. Development and Evaluation of the Magnetic Properties of a New Manganese (II) Complex: A Potential MRI Contrast Agent. International Journal of Molecular Sciences. 2023; 24(4):3461. https://doi.org/10.3390/ijms24043461
Chicago/Turabian StyleReale, Giovanni, Francesca Calderoni, Teresa Ghirardi, Francesca Porto, Federica Illuminati, Lorenza Marvelli, Petra Martini, Licia Uccelli, Eugenia Tonini, Lucia Del Bianco, and et al. 2023. "Development and Evaluation of the Magnetic Properties of a New Manganese (II) Complex: A Potential MRI Contrast Agent" International Journal of Molecular Sciences 24, no. 4: 3461. https://doi.org/10.3390/ijms24043461
APA StyleReale, G., Calderoni, F., Ghirardi, T., Porto, F., Illuminati, F., Marvelli, L., Martini, P., Uccelli, L., Tonini, E., Del Bianco, L., Spizzo, F., Capozza, M., Cazzola, E., Carnevale, A., Giganti, M., Turra, A., Esposito, J., & Boschi, A. (2023). Development and Evaluation of the Magnetic Properties of a New Manganese (II) Complex: A Potential MRI Contrast Agent. International Journal of Molecular Sciences, 24(4), 3461. https://doi.org/10.3390/ijms24043461

