Abstract
An optimized synthetic protocol toward the assembly of Kuhn verdazyls based on an azo coupling of arenediazonium salts with readily available hydrazones followed by the base-mediated cyclization of in situ formed formazans with formalin was developed. The scope and limitations of the presented method were revealed. Some new mechanistic insights on the formation of Kuhn verdazyls were also conducted. It was found that in contradiction with previously assumed hypotheses, the synthesis of verdazyls was accomplished via an intermediate formation of verdazylium cations which were in situ reduced to leucoverdazyls. The latter underwent deprotonation under basic conditions to generate corresponding anions which coproportionate with verdazylium cations to furnish the formation of Kuhn verdazyls. The spectroscopic and electrochemical behavior of the synthesized verdazyls was also studied. Overall, our results may serve as a reliable basis for further investigation in the chemistry and applications of verdazyls.
1. Introduction
A creation of novel functional organic materials remains one of the urgent goals in modern chemistry and materials science [1,2,3,4]. Such materials constitute a large variety of usually conjugated organic compounds with different chemical and physical properties. Recent achievements of numerous research groups worldwide confirmed that an incorporation of a nitrogen heteroaromatic motif usually enhances the quality of materials compared to their carbocyclic analogues [5,6,7]. Nitrogen heterocycles are often incorporated in a preparation of novel pharmacologically active drug candidates and therapeutic agents [8,9,10]. Polynitrogen heterocyclic scaffolds are also valuable structural subunits in a construction of functional materials for various energetic applications [11,12,13,14,15].
Among promising functional organic materials, stable organic radicals have long been of fundamental interest and now are employed as spin labels [16,17] in supramolecular chemistry and as components of magnetic and conducting organic materials [18]. From the synthetic point of view, stable radicals possess unique traits and participate in uncommon reactions providing different exotic structures which could not be obtained through other synthetic strategies. In a series of stable radicals, nitrogen heterocyclic radicals usually possess optimized functional properties and may be incorporated in a number of devices [19,20,21,22]. In this regard, verdazyls are one of the known stable heterocycle-based nitrogen-centered organic radicals incorporating a partially saturated tetrazine ring. The first representatives of verdazyls were synthesized by Richard Kuhn in the 1960s [23]. Nowadays, two main types of verdazyl derivatives—Kuhn verdazyls and oxoverdazyls—are known (Figure 1).
Figure 1.
Structures of two types of verdazyls.
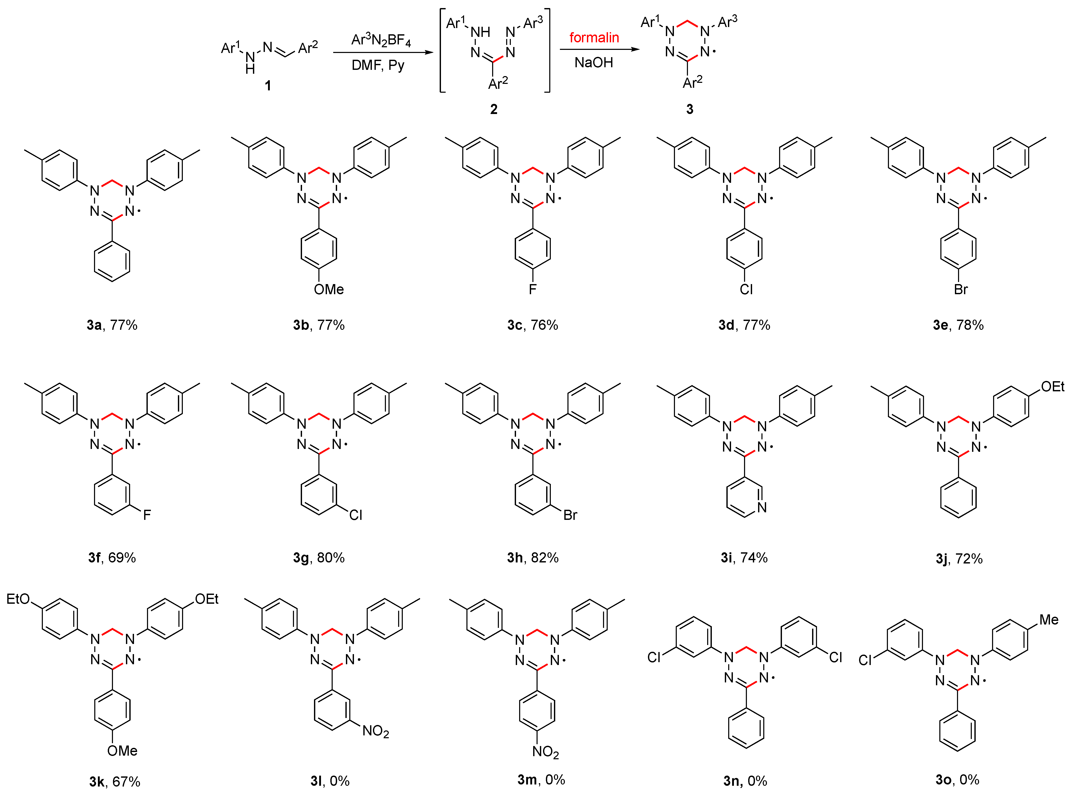
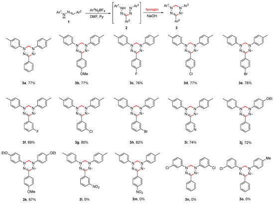
The synthesis and reactivity of oxoverdazyls along with their practicability were well established in recent years [24,25,26,27]. On the other hand, investigations regarding Kuhn verdazyls are substantially rare. Kuhn verdazyls may serve as ligands in a preparation of metal–organic complexes [28] or as substrates for the electrochemical generation of carbon-centered radicals [29,30]. Recent in-depth studies revealed the utility of Kuhn verdazyls as donor molecules in electron transfer reactions and their capacity for weak antiferromagnetic coupling [31] as well as their application as components of redox flow batteries [32]. A common method for the preparation of Kuhn verdazyls is based on the methylation of the tailor-made formazans followed by aerial oxidation (Scheme 1a) [33,34,35]. However, this method has a number of limitations including narrow substrate scope and requires a necessary isolation of formazans which are well-known inconveniently isolable dyes. Moreover, the mechanism of the verdazyl formation is still not well understood; commonly, it is assumed that the main reaction step is carried out by the oxidation of intermediate leucoverdazyls with oxygen. Hence, we were interested in the development of an optimized synthetic protocol toward the assembly of Kuhn verdazyls based on an azo coupling of arenediazonium salts with readily available hydrazones followed by the base-mediated cyclization of in situ formed formazans with formalin (Scheme 1b). Some new mechanistic insights on the formation of Kuhn verdazyls were also conducted.
Scheme 1.
Methods for the construction of Kuhn verdazyls: (a) known method and (b) method described in this manuscript.
2. Results and Discussion
Our investigations toward the desired synthetic protocol started from the optimization of reaction conditions. Hydrazone 1a and p-tolyl diazonium salt were used as model substrates (Table 1). Initially, we tried to employ a known approach for the synthesis of formazan precursors using in situ generated diazonium salt; however, some test reactions leading to arylformazan 2a formation suffered from low yields (entries 1–3). In addition, we failed to perform the cyclization of thus obtained formazan 2a either with paraform or formalin to the target verdazyl 3a. A replacement of DMF with DMSO was also ineffective (entry 4). Next, preliminary isolated diazonium salt was used instead of it being generated in situ, albeit no formazan formation was observed without base (entry 5), so NaOH and pyridine were applied (entries 6, 7). Inspired by these results, methylation was conducted with formaline as formaldehyde source without formazan isolation, since it was assumed that the main loss of substance occurred upon isolation. This attempt resulted in a formation of the desired verdazyl 3a in a good yield (entry 9). Several control experiments were conducted to ensure the role of NaOH on the methylation step (entry 10) and preliminary isolated diazonium salt (entry 11), and no verdazyl formation was detected as expected.
Table 1.
Optimization of the reaction conditions.
With optimized conditions in hand, we applied our method on a series of hydrazones and diazonium salts, and a scope of Kuhn verdazyls was obtained (Scheme 2). The developed synthetic protocol well tolerated various substituents onto aromatic rings in both substrates. In general, diverse verdazyls 3a-k bearing various alkyl-, alkoxy- and halogen substituents onto the phenyl ring were obtained in high yields (67–82%). However, our approach had some limitations: we failed to synthesize verdazyls 3l,m bearing a high electron-withdrawing nitro group and verdazyls 3n,o incorporating 3-chlorophenyl moiety at the nitrogen atom. For comparison, the same motif at the carbon atom in starting hydrazone well tolerated the investigated protocol, and the corresponding verdazyl 3g was obtained in a good yield. Interestingly, an incorporation of the 3-pyridyl subunit also resulted in a formation of verdazyl 3i, which additionally confirms the versatility of our approach. In addition, our method was found to be scalable, which was proven by the Gram-scale synthesis of representative verdazyl 3a (yield 5.12 g, 75%). The structure and composition of verdazyls 3a-k were confirmed by IR and EPR spectroscopy, high-resolution mass spectrometry and elemental analysis. The structure of compound 3a was unambiguously confirmed by single crystal X-ray diffraction data (Figure 2). It should be emphasized that our newly developed approach has a number of advantages in comparison with the known protocols [33,34,35] for the assembly of Kuhn verdazyls, including a one-pot procedure which does not require preliminary isolation of the intermediate formazans, mild reaction conditions and good scalability.
Scheme 2.
Substrate scope for the synthesis of verdazyls 3.
Figure 2.
The crystal structure of compound 3a. All atoms are shown as probability ellipsoids of atomic displacements (p = 50%).
To obtain insight into the mechanism of verdazyl formation, several analytical studies and control experiments were conducted. As it was mentioned above, conventionally verdazyls are produced via the aerial oxidation of leucoverdazyls (LVZ) [33,34,35] (Scheme 3a). However, our findings and further experiments (see below) suggested a more complex mechanistic pathway. The base-mediated deprotonation of formazan 2 followed by the addition of formaldehyde provided N-hydroxymethylformazan, which is prone to cyclization to verdazylium cation (VDC). The latter could be reduced by formaldehyde in an alkaline environment to provide leucoverdazyl (LVZ). Thus, the formed LVZ could be deprotonated to provide a corresponding anion (dpLVZ), which is prone to coproportionation with verdazylium cation (VDC) producing verdazyl 3 (Scheme 3b).
Scheme 3.
Plausible mechanism for the formation of verdazyls 3.
To prove this point, we conducted the reaction under argon atmosphere (Scheme 4), and verdazyl 3a was obtained in an 80% yield, which is almost the same in comparison to the reaction performed under aerial conditions. Therefore, the impact of oxygen on the verdazyl formation can be completely neglected. This experiment also confirms that aerial oxidation is not a necessary reaction step in this process.
Scheme 4.
Synthesis of verdazyl 3a under inert atmosphere.
Moreover, according to the previously studied electrochemical properties of verdazyls, they endure both electrochemically reversible oxidation and reduction processes [36]. It was shown that the oxidation of model verdazyl 3a to the corresponding cation VDC occurred at −0.29 V (vs Fc/Fc+), while reduction appeared at −1.27 V (vs. Fc/Fc+) (half-reaction potentials are given) and verdazyl 3a was stable in the potentials between. These data also prove that in situ formed VDC species can act as oxidizing agent for the corresponding anion dpLVZ, which leads to the coproportionation to verdazyl (Scheme 5). These findings are in agreement with a recently reported application of Kuhn verdazyls as components of redox flow batteries based on the same electrochemicaly induced redox processes [32].
Scheme 5.
Redox potentials and interconversions of verdazyl 3a.
We also conducted spectroscopic analytical studies of the synthesized verdazyls under range of pH (5.21–7.00) using UV-Vis spectroscopy. So, in a neutral solution of model verdazyl 3a, two absorption maxima were observed at 440 nm and 728 nm (Figure 3). The appearance of a new band at 560 nm indicated the formation of a protonated verdazyl derivative raised from the protonation of the nitrogen atom adjacent to the radical center. At lower pH values achieved via the addition of concentrated sulfuric acid, peaks of verdazyl 3a decreased and a peak at 560 nm increased, confirming the observed changes.
Figure 3.
UV-Vis spectra of 3a in different concentrations.
3. Materials and Methods
3.1. General
All reactions were carried out in well-cleaned oven-dried glassware with magnetic stirring. The IR spectra were recorded on a Bruker “Alpha” spectrometer in the range 400–4000 cm−1 (resolution 2 cm−1). Elemental analyses were performed by the CHN Analyzer Perkin-Elmer 2400. High-resolution mass spectra were recorded on a Bruker microTOF spectrometer with electrospray ionization (ESI). All measurements were performed in a positive (+MS) ion mode (interface capillary voltage: 4500 V) with a scan range m/z: 50–3000. External calibration of the mass spectrometer was performed with Electrospray Calibrant Solution (Fluka). A direct syringe injection was used for all analyzed solutions in MeCN (flow rate: 3 μL min−1). Nitrogen was used as the nebulizer gas (0.4 bar) and dry gas (4.0 L min−1); the interface temperature was set at 180 °C. All spectra were processed by using the Bruker DataAnalysis 4.0 software package. Analytical thin-layer chromatography (TLC) was carried out on Merck 25 TLC silica gel 60 F254 aluminum sheets. The visualization of the TLC plates was accomplished with a UV light. All solvents were purified and dried using standard methods prior to use. All standard reagents were purchased from Aldrich or Acros Organics and used without further purification.
3.2. X-ray Crystallographic Data and Refinement Details
X-ray diffraction data were collected at 100 K on a four-circle Rigaku Synergy S diffractometer equipped with a HyPix600HE area-detector (kappa geometry, shutterless ω-scan technique), using graphite monochromatized Cu Kα-radiation. The intensity data were integrated and corrected for absorption and decay by the CrysAlisPro program [37]. The structure was solved by direct methods using SHELXT [38] and refined on F2 using SHELXL-2018 [39] in the OLEX2 program [40]. All non-hydrogen atoms were refined with individual anisotropic displacement parameters. All hydrogen atoms were placed in ideal calculated positions and refined as riding atoms with relative isotropic displacement parameters (for details, see Supplementary Materials). The Mercury program suite [41] was used for molecular graphics. Deposition number 2,233,690 contains the supplementary crystallographic data. These data are provided free of charge by the joint Cambridge Crystallographic Data Centre.
3.3. Synthesis of Verdazyls 3 (General Procedure)
Hydrazone (2 mmol) was dissolved in a mixture of DMF (2 mL) and pyridine (1 mL); then, the reaction mixture was cooled to −5 °C, and diazonium salt (2.2 mmol) was added portionwise. The reaction mixture was stirred at 20 °C for 4 h following by dilution with DMF (23 mL) and addition of the solution of NaOH (0.28 g) in H2O (4.5 mL) and 40% formalin solution (2 mL). The reaction was left and stirred overnight; then, Et2O (75 mL) was added. The organic phase was separated, washed with H2O (9 × 75 mL) and dried over MgSO4. Filtration of the drying agent and evaporation of the solvent afforded crude verdazyls 3, which were purified by recrystallization from MeOH.
1,5-Di-p-tolyl-3-phenylverdazyl (3a)
Green solid, yield 525 mg (77%). Mp. 108–110 °C. Rf 0.70 (CHCl3). IR (KBr): 2923, 2854, 1656, 1514, 1180, 1146, 816, 694 cm−1. EPR (toluene): g = 2.0030. HRMS (ESI) Calcd. for C22H21N4 [M]+: 341.1761, found: 341.1764. Anal. calcd. for C22H21N4 (%): C, 77.39; H, 6.20; N, 16.41. Found (%): C, 77.45; H, 6.07; N, 16.55.
1,5-Di-p-tolyl-3-(p-methoxyphenyl)verdazyl (3b)
Green solid, yield 571 mg (77%). Mp. 107–109 °C (dec.). Rf 0.75 (CHCl3). IR (KBr): 3030 (m), 2922 (s), 2862 (m), 2838 (m), 1899 (w), 1680 (s), 1610 (s), 1515 (s), 1466 (m), 1250 (s), 1172 (s), 1031 (s), 929 (w), 818 (s) cm−1. EPR (toluene): g = 2.0035. HRMS (ESI) Calcd. for C23H23N4O [M]+: 371.1866, found: 371.1856. Anal. calcd. for C23H23N4O (%): C, 74.37; H, 6.24; N, 15.08. Found (%): C, 74.51; H, 6.09; N, 15.21.
1,5-Di-p-tolyl-3-(p-fluorophenyl)verdazyl (3c)
Green solid, yield 546 mg (76%). Mp. 102–104 °C (dec.). Rf 0.72 (CHCl3). IR (KBr): 3031 (s), 2922 (s), 2864 (m), 1901 (w), 1679 (s), 1610 (s), 1516 (s), 1421 (s), 1156 (s), 1016 (m), 967 (w), 844 (s), 816 (s) cm−1. EPR (toluene): g = 2.0040. HRMS (ESI) Calcd. for C22H20FN4 [M]+: 359.1667, found: 359.1665. Anal. calcd. for C22H20FN4 (%): C, 73.52; H, 5.61; N, 15.59. Found (%): C, 73.39; H, 5.74; N, 15.50.
1,5-Di-p-tolyl-3-(p-chlorophenyl)verdazyl (3d)
Green solid, yield 578 mg (77%). Mp. 103–105 °C. Rf 0.73 (CHCl3). IR (KBr): 3018 (m), 2919 (s), 2860 (m), 1899 (w), 1678 (s), 1610 (s), 1512 (s), 1488 (s), 1249 (m), 1090 (m), 816 (s) cm−1. EPR (toluene): g = 2.0040. HRMS (ESI) Calcd. for C22H2035ClN4 [M]+: 375.1371, found: 375.1359. Anal. calcd. for C22H20ClN4 (%): C, 70.30; H, 5.36; N, 14.91. Found (%): C, 70.14; H, 5.22; N, 15.00.
1,5-Di-p-tolyl-3-(p-bromophenyl)verdazyl (3e)
Green solid, yield 655 mg (78%). Mp. 112–114 °C. Rf 0.73 (CHCl3). IR (KBr): 3029 (m), 2921 (s), 2861 (m), 1906 (w), 1686 (s), 1608 (s), 1511 (s), 1179 (m), 1072 (m), 1011 (m), 816 (s) cm−1. EPR (toluene): g = 2.0030. HRMS (ESI) Calcd. for C22H2079BrN4 [M]+: 419.0866, found: 419.0868. Anal. calcd. for C22H20BrN4 (%): C, 62.86; H, 4.80; N, 13.33. Found (%): C, 62.99; H, 4.95; N, 13.07.
1,5-Di-p-tolyl-3-(m-fluorophenyl)verdazyl (3f)
Green solid, yield 495 mg (69%). Mp. 100–102 °C (dec.). Rf 0.78 (CHCl3). IR (KBr): 3031 (w), 2922 (m), 2864 (w), 1882 (w), 1683 (m), 1612 (s), 1515 (s), 1456 (m), 1252 (m), 991 (w), 818 (s) cm−1. EPR (toluene): g = 2.0035. HRMS (ESI) Calcd. for C22H20FN4 [M]+: 359.1667, found: 359.1659. Anal. calcd. for C22H20FN4 (%): C, 73.52; H, 5.61; N, 15.59. Found (%): C, 73.66; H, 5.79; N, 15.44.
1,5-Di-p-tolyl-3-(m-chlorophenyl)verdazyl (3g)
Green solid, yield 600 mg (80%). Mp. 106–108 °C (dec.). Rf 0.75 (CHCl3). IR (KBr): 3028 (m), 2921 (s), 2863 (m), 1881 (w), 1679 (s), 1611 (s), 1569 (s), 1250 (s), 1179 (m), 1077 (m), 990 (w), 816 (s) cm−1. EPR (toluene): g = 2.0040. HRMS (ESI) Calcd. for C22H2035ClN4 [M]+: 375.1371, found: 375.1377. Anal. calcd. for C22H20ClN4 (%): C, 70.30; H, 5.36; N, 14.91. Found (%): C, 70.37; H, 5.18; N, 15.09.
1,5-Di-p-tolyl-3-(m-bromophenyl)verdazyl (3h)
Green solid, yield 689 mg (82%). Mp. 107–109 °C (dec.). Rf 0.74 (CHCl3). IR (KBr): 3029 (m), 2920 (s), 2863 (m), 1883 (m), 1679 (s), 1611 (s), 1568 (s), 1516 (s), 1250 (s), 1179 (m), 992 (m), 816 (s) cm−1. EPR (toluene): g = 2.0030. HRMS (ESI) Calcd. for C22H2079BrN4 [M]+: 419.0866, found: 419.0852. Anal. calcd. for C22H20BrN4 (%): C, 62.86; H, 4.80; N, 13.33. Found (%): C, 62.67; H, 4.52; N, 13.50.
1,5-Di-p-tolyl-3-(3-pyridyl)verdazyl (3i)
Green solid, yield 506 mg (74%). Mp. 124–126 °C. Rf 0.47 (CHCl3). IR (KBr): 2922 (s), 2853 (m), 1684 (m), 1609 (m), 1512 (s), 1383 (m), 1180 (s), 1077 (s), 816 (m) cm−1. EPR (toluene): g = 2.0035. HRMS (ESI) Calcd. for C21H20N5 [M]+: 342.1713, found: 342.1717. Anal. calcd. for C21H20N5 (%): C, 73.66; H, 5.89; N, 20.45. Found (%): C, 73.50; H, 6.01; N, 20.62.
1-(p-Tolyl)-3-phenyl-5-(ethoxyphenyl)verdazyl (3j)
Brown solid, yield 527 mg (71%). Mp. 110–112 °C (dec.). Rf 0.75 (CHCl3). IR (KBr): 2956 (m), 2920 (s), 2851 (m), 1682 (w), 1610 (m), 1513 (s), 1258 (m), 1179 (m), 1078 (m), 814 (m) cm−1. EPR (toluene): g = 2.0040. HRMS (ESI) Calcd. for C23H23N4O [M]+: 371.1866, found: 371.1872. Anal. calcd. for C23H23N4O (%): C, 74.37; H, 6.24; N, 15.08. Found (%): C, 74.22; H, 6.13; N, 14.84.
1,5-Di-(p-ethoxyphenyl)-3-(p-methoxyphenyl)verdazyl (3k)
Brown solid, yield 578 mg (67%). Mp. 106–108 °C (dec.). Rf 0.72 (CHCl3). IR (KBr): 2979 (s), 2934 (s), 2839 (m), 1682 (s), 1605 (s), 1512 (s), 1393 (m), 1251 (s), 1172 (s), 1046 (s), 923 (m), 837 (s) cm−1. EPR (toluene): g = 2.0040. HRMS (ESI) Calcd. for C25H27N4O3 [M]+: 431.2078, found: 431.2073. Anal. calcd. for C25H27N4O3 (%): C, 69.59; H, 6.31; N, 12.98. Found (%): C, 69.77; H, 6.41; N, 12.72.
Gram-scale procedure for the synthesis of verdazyl 3a
1-(4-chlorobenzylidene)-2-(p-tolyl)hydrazine (4.88 g, 20 mmol) was dissolved in a mixture of DMF (20 mL) and pyridine (10 mL); then, the reaction mixture was cooled to −5 °C and p-tolyldiazonium tetrafluoroborate (4.53 g, 22 mmol) was added portionwise. The reaction mixture was stirred at 20 °C for 4 h, which was followed by dilution with DMF (150 mL) and addition of the solution of NaOH (2.8 g) in H2O (45 mL) and 40% formalin solution (20 mL). The reaction was left stirred overnight; then, Et2O (450 mL) was added. Organic phase was separated, washed with H2O (9 × 500 mL) and dried over MgSO4. Filtration of the drying agent and evaporation of the solvent afforded verdazyl 3a, which was recrystallized from MeOH. Yield 5.12 g (75%).
Synthesis of verdazyl 3a under argon atmosphere
1-(4-chlorobenzylidene)-2-(p-tolyl)hydrazine (488 mg, 2 mmol) was dissolved in the degassed and argonized mixture of DMF (2 mL) and pyridine (1 mL); then, the reaction mixture was cooled to −5 °C and p-tolyldiazonium tetrafluoroborate (453 mg, 2.2 mmol) was added portionwise. The reaction mixture was stirred at 20 °C for 4 h, which was followed by dilution with degassed and argonized DMF (23 mL) and addition of the solution of NaOH (0.28 g) in H2O (4.5 mL) and 40% formalin solution (2 mL). The reaction was left stirred overnight; then, Et2O (75 mL) was added. The organic phase was separated, washed with H2O (9 × 75 mL) and dried over MgSO4. Filtration of the drying agent and evaporation of the solvent afforded verdazyl 3a, which was recrystallized from MeOH. Yield 546 mg (80%).
4. Conclusions
In summary, a new synthetically useful approach toward the assembly of Kuhn verdazyls was developed. This approach includes an interaction of readily available hydrazones with arenediazonium salts with a subsequent base-mediated cyclization of in situ formed formazans with formalin. It was shown that a utilization of isolated diazonium salts is required to achieve high yields of target Kuhn verdazyls. Mechanistic investigations demonstrated that an interaction of in situ generated formazans with formalin resulted in a cyclization into verdazylium cations which underwent subsequent reduction to leucoverdazyls. Under basic conditions, leucoverdazyls are easily deprotonated to the corresponding anions which coproportionate with verdazylium cations to furnish the formation of Kuhn verdazyls. The spectroscopic and electrochemical behavior of the synthesized verdazyls revealed the presence of verdazylium cations as key intermediates of the studied process. Overall, our results may serve as a reliable foundation for further investigation in the chemistry and applications of verdazyls.
Supplementary Materials
The following supporting information can be downloaded at: https://www.mdpi.com/article/10.3390/ijms24032693/s1, crystallographic data, copies of EPR, UV-Vis and IR spectra.
Author Contributions
Conceptualization, L.L.F.; methodology, F.E.T.; investigation, F.E.T.; resources, L.L.F.; data curation, L.L.F.; writing—original draft preparation, F.E.T. and L.L.F.; writing—review and editing, L.L.F.; supervision, L.L.F.; project administration, L.L.F.; funding acquisition, L.L.F. All authors have read and agreed to the published version of the manuscript.
Funding
This work was carried out with the financial support of the Russian Foundation for Basic Research and the Moscow City Government within the framework of the scientific project No. 21-33-70056.
Institutional Review Board Statement
Not applicable.
Informed Consent Statement
Not applicable.
Data Availability Statement
Data obtained in this project are contained within this article and available upon request from the authors.
Acknowledgments
The authors are grateful to Kseniia Titenkova for her kind assistance in the preparation of this manuscript. Crystal structure determination was performed in the Department of Structural Studies of Zelinsky Institute of Organic Chemistry, Moscow.
Conflicts of Interest
The authors declare no conflict of interest.
References
- Li, D.; Yu, G. Innovation of Materials, Devices, and Functionalized Interfaces in Organic Spintronics. Adv. Funct. Mater. 2021, 31, 2100550. [Google Scholar] [CrossRef]
- Liu, C.-Y.; Lin, P.-H.; Lee, K.-M. Development of Step-Saving Alternative Synthetic Pathways for Functional π-Conjugated Materials. Chem. Rec. 2021, 21, 3498–3508. [Google Scholar] [CrossRef] [PubMed]
- Sathiyan, G.; Wang, H.; Chen, C.; Miao, Y.; Zhai, M.; Cheng, M. Impact of fluorine substitution in organic functional materials for perovskite solar cell. Dyes Pigm. 2022, 198, 110029. [Google Scholar] [CrossRef]
- Yang, X.-D.; Tan, L.; Sun, J.-K. Encapsulation of Metal Clusters within Porous Organic Materials: From Synthesis to Catalysis Applications. Chem. Asian J. 2022, 17, e202101289. [Google Scholar] [CrossRef] [PubMed]
- Roy, S.; Das, S.K.; Khatua, H.; Das, S.; Chattopadhyay, B. Road Map for the Construction of High-Valued N-Heterocycles via Denitrogenative Annulation. Acc. Chem. Res. 2021, 54, 4395–4409. [Google Scholar] [CrossRef]
- Odom, A.L.; McDaniel, T.J. Titanium-Catalyzed Multicomponent Couplings: Efficient One-Pot Syntheses of Nitrogen Heterocycles. Acc. Chem. Res. 2015, 48, 2822–2833. [Google Scholar] [CrossRef]
- Makhova, N.N.; Belen’kii, L.I.; Gazieva, G.A.; Dalinger, I.L.; Konstantinova, L.S.; Kuznetsov, V.V.; Kravchenko, A.N.; Krayushkin, M.M.; Rakitin, O.A.; Starosotnikov, A.M.; et al. Progress in the chemistry of nitrogen-, oxygen- and sulfur-containing heterocyclic systems. Russ. Chem. Rev. 2020, 89, 55–124. [Google Scholar] [CrossRef]
- Abas, M.; Bahadur, A.; Ashraf, Z.; Iqbal, S.; Rajoka, M.S.R.; Rashid, S.G.; Jabeen, E.; Iqbal, Z.; Abbas, Q.; Bais, A.; et al. Designing novel anticancer sulfonamide based 2,5-disubstituted-1,3,4-thiadiazole derivatives as potential carbonic anhydrase inhibitor. J. Mol. Struct. 2021, 1246, 131145. [Google Scholar] [CrossRef]
- Hussain, R.; Shah, M.; Iqbal, S.; Rehman, W.; Khan, S.; Rasheed, L.; Naz, H.; Al-ghulikah, H.A.; Elkaeed, E.B.; Pashameah, R.A.; et al. Molecular iodine-promoted oxidative cyclization for the synthesis of 1,3,4-thiadiazole-fused-[1,2,4]-thiadiazole incorporating 1,4-benzodioxine moiety as potent inhibitors of α-amylase and α-glucosidase: In vitro and in silico study. Front. Chem. 2022, 10, 1023316. [Google Scholar] [CrossRef]
- Fershtat, L.L.; Zhilin, E.S. Recent Advances in the Synthesis and Biomedical Applications of Heterocyclic NO-Donors. Molecules 2021, 26, 5705. [Google Scholar] [CrossRef]
- Fershtat, L.L. Recent advances in the synthesis and performance of 1,2,4,5-tetrazine-based energetic materials. FirePhysChem 2023, in press. [Google Scholar] [CrossRef]
- Bystrov, D.M.; Pivkina, A.N.; Fershtat, L.L. An Alliance of Polynitrogen Heterocycles: Novel Energetic Tetrazinedioxide-Hydroxytetrazole-Based Materials. Molecules 2022, 27, 5891. [Google Scholar] [CrossRef]
- Rudakov, G.F.; Sinditskii, V.P.; Andreeva, I.A.; Botnikova, A.I.; Veselkina, P.R.; Kostanyan, S.K.; Yudin, N.V.; Serushkin, V.V.; Cherkaev, G.V.; Dorofeeva, O.V. Energetic compounds based on a new fused Bis [1,2,4]Triazolo [1,5-b;5′,1′-f]-1,2,4,5-Tetrazine. Chem. Eng. J. 2022, 450 Pt 3, 138073. [Google Scholar] [CrossRef]
- Zhou, J.; Zhang, J.; Wang, B.; Qiu, L.; Xu, R.; Sheremetev, A.B. Recent synthetic efforts towards high energy density materials: How to design high-performance energetic structures? FirePhysChem 2022, 2, 83–139. [Google Scholar] [CrossRef]
- Zhang, Z.; Chen, X.; Chen, Y.; Li, Y.; Nan, H.; Ma, H. Synthesis and properties of a promising high energy and low impact sensitivity explosive: Hydroxylammonium 3-hydrazino-6-(1H-1,2,3,4-tetrazol-5-ylimino)-s-tetrazine. FirePhysChem 2023, in press. [Google Scholar] [CrossRef]
- Mezzina, E.; Manoni, R.; Romano, F.; Lucarini, M. Spin-Labelling of Host-Guest Assemblies with Nitroxide Radicals. Asian J. Org. Chem. 2015, 4, 296–310. [Google Scholar] [CrossRef]
- Haugland, M.M.; Anderson, E.A.; Lovett, J.E. Tuning the properties of nitroxide spin labels for use in electron paramagnetic resonance spectroscopy through chemical modification of the nitroxide framework. Electron Paramagn. Reson. 2017, 25, 1–34. [Google Scholar] [CrossRef]
- Hu, X.; Wang, W.; Wang, D.; Zheng, Y. The electronic applications of stable diradicaloids: Present and future. J. Mater. Chem. C 2018, 6, 11232–11242. [Google Scholar] [CrossRef]
- Constantinides, C.P.; Koutentis, P.A. Stable N- and N/S-Rich Heterocyclic Radicals: Synthesis and Applications. Adv. Heterocycl. Chem. 2016, 119, 173–207. [Google Scholar] [CrossRef]
- Fershtat, L.L. Synthesis of 1,4-dihydro-1,2,4-benzotriazin-4-yl radicals (microreview). Chem. Heterocycl. Compd. 2022, 58, 196–198. [Google Scholar] [CrossRef]
- Epishina, M.A.; Kulikov, A.S.; Fershtat, L.L. Revisiting the Synthesis of Functionally Substituted 1,4-Dihydrobenzo[e][1,2,4]triazines. Molecules 2022, 27, 2575. [Google Scholar] [CrossRef] [PubMed]
- Ovcharenko, V.I.; Terent’ev, A.O.; Tretyakov, E.V.; Krylov, I.B. From the chemistry of radicals to molecular spin devices. Russ. Chem. Rev. 2022, 91, RCR5043. [Google Scholar] [CrossRef]
- Kuhn, R.; Trischmann, H. Über Verdazyle, eine neue Klasse cyclischer N-haltiger Radikale. Monat. Chem. 1964, 95, 457–479. [Google Scholar] [CrossRef]
- Tretyakov, E.V.; Petunin, P.V.; Zhivetyeva, S.I.; Gorbunov, D.E.; Gritsan, N.P.; Fedin, M.V.; Stass, D.V.; Samoilova, R.I.; Bagryanskaya, I.Y.; Shundrina, I.K.; et al. Platform for High-Spin Molecules: A Verdazyl-Nitronyl Nitroxide Triradical with Quartet Ground State. J. Am. Chem. Soc. 2021, 143, 8164–8176. [Google Scholar] [CrossRef] [PubMed]
- Fuller, R.O.; Taylor, M.R.; Duggin, M.; Bissember, A.C.; Canty, A.J.; Judd, M.M.; Cox, N.; Moggach, S.A.; Turner, G.F. Enhanced synthesis of oxo-verdazyl radicals bearing sterically-and electronically-diverse C3-substituents. Org. Biomol. Chem. 2021, 19, 10120–10138. [Google Scholar] [CrossRef] [PubMed]
- Fleming, C.; Chung, D.; Ponce, S.; Brook, D.J.R.; DaRos, J.; Das, R.; Ozarowski, A.; Stoian, S.A. Valence tautomerism in a cobalt-verdazyl coordination compound. Chem. Commun. 2020, 56, 4400–4403. [Google Scholar] [CrossRef]
- Tretyakov, E.V.; Zhivetyeva, S.I.; Petunin, P.V.; Gorbunov, D.E.; Gritsan, N.P.; Bagryanskaya, I.Y.; Bogomyakov, A.S.; Postnikov, P.S.; Kazantsev, M.S.; Trusova, M.E.; et al. Ferromagnetically Coupled S = 1 Chains in Crystals of Verdazyl-Nitronyl Nitroxide Diradicals. Angew. Chem. Int. Ed. 2020, 59, 20704–20710. [Google Scholar] [CrossRef]
- Johnston, C.W.; McKinnon, S.D.J.; Patrick, B.O.; Hicks, R.G. The first “Kuhn verdazyl” ligand and comparative studies of its PdCl2 complex with analogous 6-oxoverdazyl ligands. Dalton Trans. 2013, 42, 16829–16836. [Google Scholar] [CrossRef]
- Rogers, F.J.M.; Coote, M.L. Computational Assessment of Verdazyl Derivatives for Electrochemical Generation of Carbon-Centered Radicals. J. Phys. Chem. C 2019, 123, 20174–20180. [Google Scholar] [CrossRef]
- Valiev, R.R.; Drozdova, A.K.; Petunin, P.V.; Postnikov, P.S.; Trusova, M.E.; Cherepanov, V.N.; Sundholm, D. The aromaticity of verdazyl radicals and their closed-shell charged species. New J. Chem. 2018, 42, 19987–19994. [Google Scholar] [CrossRef]
- Jobelius, H.; Wagner, N.; Schnakenburg, G.; Meyer, A. Verdazyls as Possible Building Blocks for Multifunctional Molecular Materials: A Case Study on 1,5-Diphenyl-3-(p-iodophenyl)-verdazyl Focusing on Magnetism, Electron Transfer and the Applicability of the Sonogashira-Hagihara Reaction. Molecules 2018, 23, 1758. [Google Scholar] [CrossRef] [PubMed]
- Steen, J.S.; de Vries, F.; Hjelm, J.; Otten, E. Bipolar Verdazyl Radicals for Symmetrical Batteries: Properties and Stability in All States of Charge. ChemPhysChem 2023, in press. [Google Scholar] [CrossRef] [PubMed]
- Petunin, P.V.; Martynko, E.A.; Trusova, M.E.; Kazantsev, M.S.; Rybalova, T.V.; Valiev, R.R.; Uvarov, M.N.; Mostovich, E.A.; Postnikov, P.S. Verdazyl Radical Building Blocks: Synthesis, Structure, and Sonogashira Cross-Coupling Reactions. Eur. J. Org. Chem. 2018, 2018, 4802–4811. [Google Scholar] [CrossRef]
- Votkina, D.E.; Petunin, P.V.; Zhivetyeva, S.I.; Bagryanskaya, I.Y.; Uvarov, M.N.; Kazantsev, M.S.; Trusova, M.E.; Tretyakov, E.V.; Postnikov, P.S. Preparation of Multi-Spin Systems: A Case Study of Tolane-Bridged Verdazyl-Based Hetero-Diradicals. Eur. J. Org. Chem. 2020, 2020, 1996–2004. [Google Scholar] [CrossRef]
- Fedorchenko, T.G.; Lipunova, G.N.; Shchepochkin, A.V.; Tsmokalyuk, A.N.; Slepukhin, P.A.; Chupakhin, O.N. Synthesis and properties of 1,3-diphenyl-5-(benzothiazol-2-yl)-6-R-verdazyls. Mendeleev Commun. 2018, 28, 297–299. [Google Scholar] [CrossRef]
- Gilroy, G.B.; McKinnon, S.D.J.; Koivisto, B.D.; Hicks, R.G. Electrochemical Studies of Verdazyl Radicals. Org. Lett. 2007, 9, 4837–4840. [Google Scholar] [CrossRef] [PubMed]
- CrysAlisPro. Version 1.171.41.106a. In Rigaku Oxford Diffraction; Rigaku Corporation: Oxford, UK, 2021. [Google Scholar]
- Sheldrick, G.M. SHELXT—Integrated space-group and crystal-structure determination. Acta Crystallogr. Sect. A 2015, 71, 3–8. [Google Scholar] [CrossRef]
- Sheldrick, G.M. Crystal structure refinement with SHELXL. Acta Crystallogr. Sect. C 2015, 71, 3–8. [Google Scholar] [CrossRef]
- Dolomanov, O.V.; Bourhis, L.J.; Gildea, R.J.; Howard, J.A.K.; Puschmann, H. OLEX2: A complete structure solution, refinement and analysis program. J. Appl. Cryst. 2009, 42, 229–341. [Google Scholar] [CrossRef]
- Macrae, C.F.; Edgington, P.R.; McCabe, P.; Pidcock, E.; Shields, G.P.; Taylor, R.; Towler, M.; van de Streek, J. Mercury: Visualization and Analysis of Crystal Structures. J. Appl. Cryst. 2006, 39, 453–457. [Google Scholar] [CrossRef]
Disclaimer/Publisher’s Note: The statements, opinions and data contained in all publications are solely those of the individual author(s) and contributor(s) and not of MDPI and/or the editor(s). MDPI and/or the editor(s) disclaim responsibility for any injury to people or property resulting from any ideas, methods, instructions or products referred to in the content. |
© 2023 by the authors. Licensee MDPI, Basel, Switzerland. This article is an open access article distributed under the terms and conditions of the Creative Commons Attribution (CC BY) license (https://creativecommons.org/licenses/by/4.0/).








